利用统计和数据可视化技术研究单电子对Na39中性和带电团簇能量的影响。

IF 3.9 2区 综合性期刊 Q1 MULTIDISCIPLINARY SCIENCES
Seyed Mohammad Ghazi, Mohammadreza Mahmoudi
{"title":"利用统计和数据可视化技术研究单电子对Na39中性和带电团簇能量的影响。","authors":"Seyed Mohammad Ghazi, Mohammadreza Mahmoudi","doi":"10.1038/s41598-025-86141-5","DOIUrl":null,"url":null,"abstract":"<p><p>In this work, we explored the role of a single electron in the energy of neutral and charged clusters of <math> <msub><mrow><mi>Na</mi></mrow> <mn>39</mn></msub> </math> using data visualization and statistical techniques as a new insight. Initially, we studied the effects of one electron, time, and temperature on energy using multiple linear regression analysis with dummy variables, and the results demonstrated that all three predictors significantly affected the energy. Time had a positive impact (direct ratio effect) on the energy of <math> <msub> <mrow> <msup><mrow><mi>Na</mi></mrow> <mo>-</mo></msup> </mrow> <mn>39</mn></msub> </math> , and <math> <mrow> <msub><mrow><mi>Na</mi></mrow> <mn>39</mn></msub> <mo>,</mo></mrow> </math> and a negative impact (inverse ratio effect) on the energy of <math> <mrow> <msub> <mrow> <msup><mrow><mi>Na</mi></mrow> <mo>+</mo></msup> </mrow> <mn>39</mn></msub> <mo>,</mo></mrow> </math> while temperature had a positive effect on the energy of all three sodium clusters. Then, to study the thermodynamic properties of each cluster, we employed the fuzzy clustering technique. The results verified that each sodium cluster is divided into three groups based on the different temperatures used to investigate the thermodynamic properties of each cluster. Finally, time series analysis was applied to investigate the behavior of the energy in each sodium cluster and each temperature. We used the statistical software R version 4.3.3 to perform all statistical computations.</p>","PeriodicalId":21811,"journal":{"name":"Scientific Reports","volume":"15 1","pages":"1739"},"PeriodicalIF":3.9000,"publicationDate":"2025-01-11","publicationTypes":"Journal Article","fieldsOfStudy":null,"isOpenAccess":false,"openAccessPdf":"https://www.ncbi.nlm.nih.gov/pmc/articles/PMC11724881/pdf/","citationCount":"0","resultStr":"{\"title\":\"Statistical and data visualization techniques to study the role of one-electron in the energy of neutral and charged clusters of Na<sub>39</sub>.\",\"authors\":\"Seyed Mohammad Ghazi, Mohammadreza Mahmoudi\",\"doi\":\"10.1038/s41598-025-86141-5\",\"DOIUrl\":null,\"url\":null,\"abstract\":\"<p><p>In this work, we explored the role of a single electron in the energy of neutral and charged clusters of <math> <msub><mrow><mi>Na</mi></mrow> <mn>39</mn></msub> </math> using data visualization and statistical techniques as a new insight. Initially, we studied the effects of one electron, time, and temperature on energy using multiple linear regression analysis with dummy variables, and the results demonstrated that all three predictors significantly affected the energy. Time had a positive impact (direct ratio effect) on the energy of <math> <msub> <mrow> <msup><mrow><mi>Na</mi></mrow> <mo>-</mo></msup> </mrow> <mn>39</mn></msub> </math> , and <math> <mrow> <msub><mrow><mi>Na</mi></mrow> <mn>39</mn></msub> <mo>,</mo></mrow> </math> and a negative impact (inverse ratio effect) on the energy of <math> <mrow> <msub> <mrow> <msup><mrow><mi>Na</mi></mrow> <mo>+</mo></msup> </mrow> <mn>39</mn></msub> <mo>,</mo></mrow> </math> while temperature had a positive effect on the energy of all three sodium clusters. Then, to study the thermodynamic properties of each cluster, we employed the fuzzy clustering technique. The results verified that each sodium cluster is divided into three groups based on the different temperatures used to investigate the thermodynamic properties of each cluster. Finally, time series analysis was applied to investigate the behavior of the energy in each sodium cluster and each temperature. We used the statistical software R version 4.3.3 to perform all statistical computations.</p>\",\"PeriodicalId\":21811,\"journal\":{\"name\":\"Scientific Reports\",\"volume\":\"15 1\",\"pages\":\"1739\"},\"PeriodicalIF\":3.9000,\"publicationDate\":\"2025-01-11\",\"publicationTypes\":\"Journal Article\",\"fieldsOfStudy\":null,\"isOpenAccess\":false,\"openAccessPdf\":\"https://www.ncbi.nlm.nih.gov/pmc/articles/PMC11724881/pdf/\",\"citationCount\":\"0\",\"resultStr\":null,\"platform\":\"Semanticscholar\",\"paperid\":null,\"PeriodicalName\":\"Scientific Reports\",\"FirstCategoryId\":\"103\",\"ListUrlMain\":\"https://doi.org/10.1038/s41598-025-86141-5\",\"RegionNum\":2,\"RegionCategory\":\"综合性期刊\",\"ArticlePicture\":[],\"TitleCN\":null,\"AbstractTextCN\":null,\"PMCID\":null,\"EPubDate\":\"\",\"PubModel\":\"\",\"JCR\":\"Q1\",\"JCRName\":\"MULTIDISCIPLINARY SCIENCES\",\"Score\":null,\"Total\":0}","platform":"Semanticscholar","paperid":null,"PeriodicalName":"Scientific Reports","FirstCategoryId":"103","ListUrlMain":"https://doi.org/10.1038/s41598-025-86141-5","RegionNum":2,"RegionCategory":"综合性期刊","ArticlePicture":[],"TitleCN":null,"AbstractTextCN":null,"PMCID":null,"EPubDate":"","PubModel":"","JCR":"Q1","JCRName":"MULTIDISCIPLINARY SCIENCES","Score":null,"Total":0}
引用次数: 0

摘要

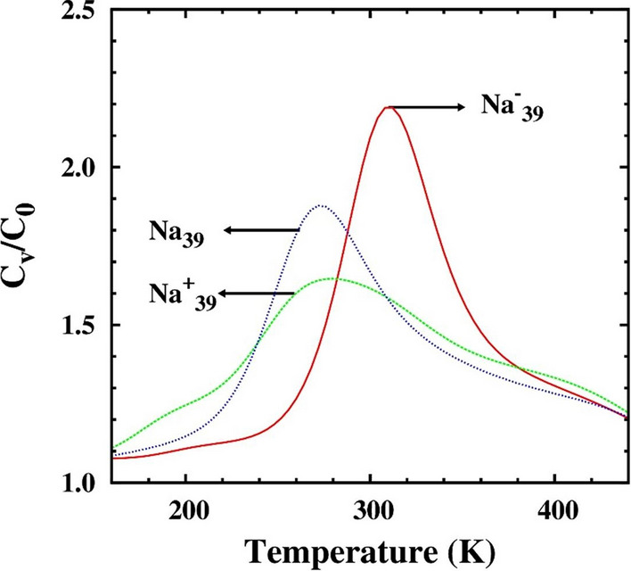
在这项工作中,我们利用数据可视化和统计技术作为一种新的见解,探索了单个电子在Na 39中性和带电团簇能量中的作用。首先,我们利用虚拟变量的多元线性回归分析研究了一个电子、时间和温度对能量的影响,结果表明这三个预测因子都对能量有显著影响。时间对Na - 39和Na 39的能量有正影响(正比效应),对Na + 39的能量有负影响(反比效应),而温度对三种钠簇的能量都有正影响。然后,我们采用模糊聚类技术来研究每个聚类的热力学性质。结果证实,每个钠团簇根据不同的温度分为三组,用于研究每个团簇的热力学性质。最后,采用时间序列分析研究了各钠簇和各温度下能量的变化规律。我们使用统计软件R 4.3.3版本进行所有统计计算。
本文章由计算机程序翻译,如有差异,请以英文原文为准。

Statistical and data visualization techniques to study the role of one-electron in the energy of neutral and charged clusters of Na<sub>39</sub>.

Statistical and data visualization techniques to study the role of one-electron in the energy of neutral and charged clusters of Na<sub>39</sub>.

Statistical and data visualization techniques to study the role of one-electron in the energy of neutral and charged clusters of Na<sub>39</sub>.

Statistical and data visualization techniques to study the role of one-electron in the energy of neutral and charged clusters of Na39.

In this work, we explored the role of a single electron in the energy of neutral and charged clusters of Na 39 using data visualization and statistical techniques as a new insight. Initially, we studied the effects of one electron, time, and temperature on energy using multiple linear regression analysis with dummy variables, and the results demonstrated that all three predictors significantly affected the energy. Time had a positive impact (direct ratio effect) on the energy of Na - 39 , and Na 39 , and a negative impact (inverse ratio effect) on the energy of Na + 39 , while temperature had a positive effect on the energy of all three sodium clusters. Then, to study the thermodynamic properties of each cluster, we employed the fuzzy clustering technique. The results verified that each sodium cluster is divided into three groups based on the different temperatures used to investigate the thermodynamic properties of each cluster. Finally, time series analysis was applied to investigate the behavior of the energy in each sodium cluster and each temperature. We used the statistical software R version 4.3.3 to perform all statistical computations.

求助全文
通过发布文献求助,成功后即可免费获取论文全文。 去求助
来源期刊
Scientific Reports
Scientific Reports Natural Science Disciplines-
CiteScore
7.50
自引率
4.30%
发文量
19567
审稿时长
3.9 months
期刊介绍: We publish original research from all areas of the natural sciences, psychology, medicine and engineering. You can learn more about what we publish by browsing our specific scientific subject areas below or explore Scientific Reports by browsing all articles and collections. Scientific Reports has a 2-year impact factor: 4.380 (2021), and is the 6th most-cited journal in the world, with more than 540,000 citations in 2020 (Clarivate Analytics, 2021). •Engineering Engineering covers all aspects of engineering, technology, and applied science. It plays a crucial role in the development of technologies to address some of the world''s biggest challenges, helping to save lives and improve the way we live. •Physical sciences Physical sciences are those academic disciplines that aim to uncover the underlying laws of nature — often written in the language of mathematics. It is a collective term for areas of study including astronomy, chemistry, materials science and physics. •Earth and environmental sciences Earth and environmental sciences cover all aspects of Earth and planetary science and broadly encompass solid Earth processes, surface and atmospheric dynamics, Earth system history, climate and climate change, marine and freshwater systems, and ecology. It also considers the interactions between humans and these systems. •Biological sciences Biological sciences encompass all the divisions of natural sciences examining various aspects of vital processes. The concept includes anatomy, physiology, cell biology, biochemistry and biophysics, and covers all organisms from microorganisms, animals to plants. •Health sciences The health sciences study health, disease and healthcare. This field of study aims to develop knowledge, interventions and technology for use in healthcare to improve the treatment of patients.
×
引用
GB/T 7714-2015
复制
MLA
复制
APA
复制
导出至
BibTeX EndNote RefMan NoteFirst NoteExpress
×
提示
您的信息不完整,为了账户安全,请先补充。
现在去补充
×
提示
您因"违规操作"
具体请查看互助需知
我知道了
×
提示
确定
请完成安全验证×
copy
已复制链接
快去分享给好友吧!
我知道了
右上角分享
点击右上角分享
0
联系我们:info@booksci.cn Book学术提供免费学术资源搜索服务,方便国内外学者检索中英文文献。致力于提供最便捷和优质的服务体验。 Copyright © 2023 布克学术 All rights reserved.
京ICP备2023020795号-1
ghs 京公网安备 11010802042870号
Book学术文献互助
Book学术文献互助群
群 号:604180095
Book学术官方微信