评估多肾动脉活体肾移植的移植物损失风险。

IF 1.4 4区 医学 Q3 SURGERY
Kuniaki Inoue, Shunta Hori, Mitsuru Tomizawa, Tatsuo Yoneda, Yasushi Nakai, Makito Miyake, Nobumichi Tanaka, Kiyohide Fujimoto
{"title":"评估多肾动脉活体肾移植的移植物损失风险。","authors":"Kuniaki Inoue, Shunta Hori, Mitsuru Tomizawa, Tatsuo Yoneda, Yasushi Nakai, Makito Miyake, Nobumichi Tanaka, Kiyohide Fujimoto","doi":"10.12659/AOT.946489","DOIUrl":null,"url":null,"abstract":"<p><p>BACKGROUND Despite its surgical complexity, kidney transplantation (KT) with multiple renal arteries (MRA) is comparable in performance to KT with a single renal artery (SRA). This study aimed to evaluate the effect of MRA and to investigate risk factors for graft loss in living-donor KT with MRA. MATERIAL AND METHODS This study included living-donor KT recipients who underwent KT in our hospital from February 2002 to March 2023. The primary outcome was whether MRA decreased the prognosis of transplanted kidneys. The secondary outcomes were the risk factors for graft loss in KT with MRA, such as recipients' characteristic. RESULTS Out of 197 recipients, 47 (23.8%) received kidneys with MRA. In inverse probability of treatment weighting, the risk of graft loss did not increase in KT with MRA, as compared to that in KT with SRA (hazard ratio [HR]: 1.46; 95% confidence interval [CI]: 0.68-3.14). MRA were associated with graft loss in ABO blood-incompatible KT (HR: 5.09, 95% CI: 1.75-14.7). CONCLUSIONS In ABO blood-incompatible KT, MRA can increase risk of graft loss.</p>","PeriodicalId":7935,"journal":{"name":"Annals of Transplantation","volume":"29 ","pages":"e946489"},"PeriodicalIF":1.4000,"publicationDate":"2024-12-31","publicationTypes":"Journal Article","fieldsOfStudy":null,"isOpenAccess":false,"openAccessPdf":"https://www.ncbi.nlm.nih.gov/pmc/articles/PMC11699694/pdf/","citationCount":"0","resultStr":"{\"title\":\"Evaluating Graft Loss Risk in Living-Donor Kidney Transplants with Multiple Renal Arteries.\",\"authors\":\"Kuniaki Inoue, Shunta Hori, Mitsuru Tomizawa, Tatsuo Yoneda, Yasushi Nakai, Makito Miyake, Nobumichi Tanaka, Kiyohide Fujimoto\",\"doi\":\"10.12659/AOT.946489\",\"DOIUrl\":null,\"url\":null,\"abstract\":\"<p><p>BACKGROUND Despite its surgical complexity, kidney transplantation (KT) with multiple renal arteries (MRA) is comparable in performance to KT with a single renal artery (SRA). This study aimed to evaluate the effect of MRA and to investigate risk factors for graft loss in living-donor KT with MRA. MATERIAL AND METHODS This study included living-donor KT recipients who underwent KT in our hospital from February 2002 to March 2023. The primary outcome was whether MRA decreased the prognosis of transplanted kidneys. The secondary outcomes were the risk factors for graft loss in KT with MRA, such as recipients' characteristic. RESULTS Out of 197 recipients, 47 (23.8%) received kidneys with MRA. In inverse probability of treatment weighting, the risk of graft loss did not increase in KT with MRA, as compared to that in KT with SRA (hazard ratio [HR]: 1.46; 95% confidence interval [CI]: 0.68-3.14). MRA were associated with graft loss in ABO blood-incompatible KT (HR: 5.09, 95% CI: 1.75-14.7). CONCLUSIONS In ABO blood-incompatible KT, MRA can increase risk of graft loss.</p>\",\"PeriodicalId\":7935,\"journal\":{\"name\":\"Annals of Transplantation\",\"volume\":\"29 \",\"pages\":\"e946489\"},\"PeriodicalIF\":1.4000,\"publicationDate\":\"2024-12-31\",\"publicationTypes\":\"Journal Article\",\"fieldsOfStudy\":null,\"isOpenAccess\":false,\"openAccessPdf\":\"https://www.ncbi.nlm.nih.gov/pmc/articles/PMC11699694/pdf/\",\"citationCount\":\"0\",\"resultStr\":null,\"platform\":\"Semanticscholar\",\"paperid\":null,\"PeriodicalName\":\"Annals of Transplantation\",\"FirstCategoryId\":\"3\",\"ListUrlMain\":\"https://doi.org/10.12659/AOT.946489\",\"RegionNum\":4,\"RegionCategory\":\"医学\",\"ArticlePicture\":[],\"TitleCN\":null,\"AbstractTextCN\":null,\"PMCID\":null,\"EPubDate\":\"\",\"PubModel\":\"\",\"JCR\":\"Q3\",\"JCRName\":\"SURGERY\",\"Score\":null,\"Total\":0}","platform":"Semanticscholar","paperid":null,"PeriodicalName":"Annals of Transplantation","FirstCategoryId":"3","ListUrlMain":"https://doi.org/10.12659/AOT.946489","RegionNum":4,"RegionCategory":"医学","ArticlePicture":[],"TitleCN":null,"AbstractTextCN":null,"PMCID":null,"EPubDate":"","PubModel":"","JCR":"Q3","JCRName":"SURGERY","Score":null,"Total":0}
引用次数: 0

摘要

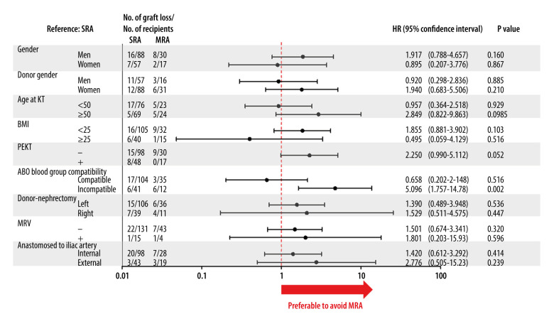
背景:尽管手术复杂,多肾动脉肾移植(KT)的表现与单肾动脉肾移植(SRA)相当。本研究旨在评估MRA的效果,并探讨MRA活体供体KT移植损失的危险因素。材料与方法本研究纳入2002年2月至2023年3月在我院行KT术的活体供体KT受者。主要观察结果是MRA是否降低了移植肾的预后。次要结局是MRA KT移植损失的危险因素,如受者的特征。结果197例受者中,47例(23.8%)接受了MRA肾。在治疗加权的逆概率中,与合并SRA的KT相比,合并MRA的KT的移植物损失风险没有增加(风险比[HR]: 1.46;95%可信区间[CI]: 0.68-3.14)。在ABO血型不相容的KT中,MRA与移植物损失相关(HR: 5.09, 95% CI: 1.75-14.7)。结论:在ABO血型不相容的KT中,MRA可增加移植物丢失的风险。
本文章由计算机程序翻译,如有差异,请以英文原文为准。

Evaluating Graft Loss Risk in Living-Donor Kidney Transplants with Multiple Renal Arteries.

Evaluating Graft Loss Risk in Living-Donor Kidney Transplants with Multiple Renal Arteries.

Evaluating Graft Loss Risk in Living-Donor Kidney Transplants with Multiple Renal Arteries.

Evaluating Graft Loss Risk in Living-Donor Kidney Transplants with Multiple Renal Arteries.

BACKGROUND Despite its surgical complexity, kidney transplantation (KT) with multiple renal arteries (MRA) is comparable in performance to KT with a single renal artery (SRA). This study aimed to evaluate the effect of MRA and to investigate risk factors for graft loss in living-donor KT with MRA. MATERIAL AND METHODS This study included living-donor KT recipients who underwent KT in our hospital from February 2002 to March 2023. The primary outcome was whether MRA decreased the prognosis of transplanted kidneys. The secondary outcomes were the risk factors for graft loss in KT with MRA, such as recipients' characteristic. RESULTS Out of 197 recipients, 47 (23.8%) received kidneys with MRA. In inverse probability of treatment weighting, the risk of graft loss did not increase in KT with MRA, as compared to that in KT with SRA (hazard ratio [HR]: 1.46; 95% confidence interval [CI]: 0.68-3.14). MRA were associated with graft loss in ABO blood-incompatible KT (HR: 5.09, 95% CI: 1.75-14.7). CONCLUSIONS In ABO blood-incompatible KT, MRA can increase risk of graft loss.

求助全文
通过发布文献求助,成功后即可免费获取论文全文。 去求助
来源期刊
CiteScore
2.50
自引率
0.00%
发文量
79
审稿时长
>12 weeks
期刊介绍: Annals of Transplantation is one of the fast-developing journals open to all scientists and fields of transplant medicine and related research. The journal is published quarterly and provides extensive coverage of the most important advances in transplantation. Using an electronic on-line submission and peer review tracking system, Annals of Transplantation is committed to rapid review and publication. The average time to first decision is around 3-4 weeks. Time to publication of accepted manuscripts continues to be shortened, with the Editorial team committed to a goal of 3 months from acceptance to publication. Expert reseachers and clinicians from around the world contribute original Articles, Review Papers, Case Reports and Special Reports in every pertinent specialty, providing a lot of arguments for discussion of exciting developments and controversies in the field.
×
引用
GB/T 7714-2015
复制
MLA
复制
APA
复制
导出至
BibTeX EndNote RefMan NoteFirst NoteExpress
×
提示
您的信息不完整,为了账户安全,请先补充。
现在去补充
×
提示
您因"违规操作"
具体请查看互助需知
我知道了
×
提示
确定
请完成安全验证×
copy
已复制链接
快去分享给好友吧!
我知道了
右上角分享
点击右上角分享
0
联系我们:info@booksci.cn Book学术提供免费学术资源搜索服务,方便国内外学者检索中英文文献。致力于提供最便捷和优质的服务体验。 Copyright © 2023 布克学术 All rights reserved.
京ICP备2023020795号-1
ghs 京公网安备 11010802042870号
Book学术文献互助
Book学术文献互助群
群 号:604180095
Book学术官方微信