某三级医院新冠肺炎危重患者急性肾损伤:短期与长期肾脏及患者预后

IF 1.3 Q3 UROLOGY & NEPHROLOGY
Juliana Alves Manhães de Andrade, Gisele Meinerz, Raphael Palma, Eduardo Rech, Marco Antônio Vinciprova Dall'Agnese, Cristiane Bundchen, Fernanda Bordignon Nunes, Gisele Branchini, Elizete Keitel
{"title":"某三级医院新冠肺炎危重患者急性肾损伤:短期与长期肾脏及患者预后","authors":"Juliana Alves Manhães de Andrade, Gisele Meinerz, Raphael Palma, Eduardo Rech, Marco Antônio Vinciprova Dall'Agnese, Cristiane Bundchen, Fernanda Bordignon Nunes, Gisele Branchini, Elizete Keitel","doi":"10.1590/2175-8239-JBN-2024-0107en","DOIUrl":null,"url":null,"abstract":"<p><strong>Introduction: </strong>Acute kidney injury (AKI) in the setting of COVID-19 is associated with worse clinical and renal outcomes, with limited long-term data.</p><p><strong>Aim: </strong>To evaluate critically ill COVID-19 patients with AKI that required nephrologist consultation (NC-AKI) in a tertiary hospital.</p><p><strong>Methods: </strong>Prospective single-center cohort of critically ill COVID-19 adult patients with NC-AKI from May 1st, 2020, to April 30th, 2021. Kidney replacement therapy (KRT), recovery of kidney function, and death at 90-day and 1-year follow-up were evaluated.</p><p><strong>Results: </strong>360 patients were included, 60.6% were male, median age was 66.0 (57.0-72.0) years, 38.1% had diabetes, and 68.6% had hypertension. AKI stages 1, 2, and 3 were detected in 3.6%, 5.6%, and 90.8% of patients, respectively. KRT was indicated in 90% of patients. At the 90-day follow-up, 88.1% of patients died and 10.0% had recovered kidney function. Female gender (p = 0.047), older age (p = 0.047), AKI stage 3 (p = 0.005), requirement of KRT (p < 0.0001), mechanical ventilation (p < 0.0001), and superimposed bacterial infection (p < 0.0001) were significantly associated death within 90 days. At 1 year, mortality was 89.3%. Amongst surviving patients, 72% recovered kidney function, although with significantly lower eGFR compared to baseline (85.5 ± 23.6 vs. 65.9 ± 24.8 mL/min, p = 0.003).</p><p><strong>Conclusion: </strong>Critically ill COVID-19 patients with NC-AKI presented a high frequency of AKI stage 3 and KRT requirement, with a high 90-day mortality. Surviving patients had high rates of recovery of kidney function, with a lower eGFR at one-year follow-up compared to baseline.</p>","PeriodicalId":14724,"journal":{"name":"Jornal brasileiro de nefrologia : 'orgao oficial de Sociedades Brasileira e Latino-Americana de Nefrologia","volume":"47 1","pages":"e20240107"},"PeriodicalIF":1.3000,"publicationDate":"2025-01-01","publicationTypes":"Journal Article","fieldsOfStudy":null,"isOpenAccess":false,"openAccessPdf":"https://www.ncbi.nlm.nih.gov/pmc/articles/PMC11726861/pdf/","citationCount":"0","resultStr":"{\"title\":\"Acute kidney injury in critically ill COVID-19 patients in a tertiary hospital: short and long-term kidney and patient outcomes.\",\"authors\":\"Juliana Alves Manhães de Andrade, Gisele Meinerz, Raphael Palma, Eduardo Rech, Marco Antônio Vinciprova Dall'Agnese, Cristiane Bundchen, Fernanda Bordignon Nunes, Gisele Branchini, Elizete Keitel\",\"doi\":\"10.1590/2175-8239-JBN-2024-0107en\",\"DOIUrl\":null,\"url\":null,\"abstract\":\"<p><strong>Introduction: </strong>Acute kidney injury (AKI) in the setting of COVID-19 is associated with worse clinical and renal outcomes, with limited long-term data.</p><p><strong>Aim: </strong>To evaluate critically ill COVID-19 patients with AKI that required nephrologist consultation (NC-AKI) in a tertiary hospital.</p><p><strong>Methods: </strong>Prospective single-center cohort of critically ill COVID-19 adult patients with NC-AKI from May 1st, 2020, to April 30th, 2021. Kidney replacement therapy (KRT), recovery of kidney function, and death at 90-day and 1-year follow-up were evaluated.</p><p><strong>Results: </strong>360 patients were included, 60.6% were male, median age was 66.0 (57.0-72.0) years, 38.1% had diabetes, and 68.6% had hypertension. AKI stages 1, 2, and 3 were detected in 3.6%, 5.6%, and 90.8% of patients, respectively. KRT was indicated in 90% of patients. At the 90-day follow-up, 88.1% of patients died and 10.0% had recovered kidney function. Female gender (p = 0.047), older age (p = 0.047), AKI stage 3 (p = 0.005), requirement of KRT (p < 0.0001), mechanical ventilation (p < 0.0001), and superimposed bacterial infection (p < 0.0001) were significantly associated death within 90 days. At 1 year, mortality was 89.3%. Amongst surviving patients, 72% recovered kidney function, although with significantly lower eGFR compared to baseline (85.5 ± 23.6 vs. 65.9 ± 24.8 mL/min, p = 0.003).</p><p><strong>Conclusion: </strong>Critically ill COVID-19 patients with NC-AKI presented a high frequency of AKI stage 3 and KRT requirement, with a high 90-day mortality. Surviving patients had high rates of recovery of kidney function, with a lower eGFR at one-year follow-up compared to baseline.</p>\",\"PeriodicalId\":14724,\"journal\":{\"name\":\"Jornal brasileiro de nefrologia : 'orgao oficial de Sociedades Brasileira e Latino-Americana de Nefrologia\",\"volume\":\"47 1\",\"pages\":\"e20240107\"},\"PeriodicalIF\":1.3000,\"publicationDate\":\"2025-01-01\",\"publicationTypes\":\"Journal Article\",\"fieldsOfStudy\":null,\"isOpenAccess\":false,\"openAccessPdf\":\"https://www.ncbi.nlm.nih.gov/pmc/articles/PMC11726861/pdf/\",\"citationCount\":\"0\",\"resultStr\":null,\"platform\":\"Semanticscholar\",\"paperid\":null,\"PeriodicalName\":\"Jornal brasileiro de nefrologia : 'orgao oficial de Sociedades Brasileira e Latino-Americana de Nefrologia\",\"FirstCategoryId\":\"1085\",\"ListUrlMain\":\"https://doi.org/10.1590/2175-8239-JBN-2024-0107en\",\"RegionNum\":0,\"RegionCategory\":null,\"ArticlePicture\":[],\"TitleCN\":null,\"AbstractTextCN\":null,\"PMCID\":null,\"EPubDate\":\"\",\"PubModel\":\"\",\"JCR\":\"Q3\",\"JCRName\":\"UROLOGY & NEPHROLOGY\",\"Score\":null,\"Total\":0}","platform":"Semanticscholar","paperid":null,"PeriodicalName":"Jornal brasileiro de nefrologia : 'orgao oficial de Sociedades Brasileira e Latino-Americana de Nefrologia","FirstCategoryId":"1085","ListUrlMain":"https://doi.org/10.1590/2175-8239-JBN-2024-0107en","RegionNum":0,"RegionCategory":null,"ArticlePicture":[],"TitleCN":null,"AbstractTextCN":null,"PMCID":null,"EPubDate":"","PubModel":"","JCR":"Q3","JCRName":"UROLOGY & NEPHROLOGY","Score":null,"Total":0}
引用次数: 0

摘要

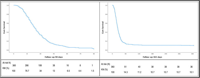
2019冠状病毒病(COVID-19)急性肾损伤(AKI)与较差的临床和肾脏结局相关,长期数据有限。目的:评价某三级医院新冠肺炎合并AKI (NC-AKI)危重患者肾内科会诊情况。方法:2020年5月1日至2021年4月30日,对COVID-19成人NC-AKI危重患者进行前瞻性单中心队列研究。在90天和1年的随访中评估肾脏替代治疗(KRT)、肾功能恢复和死亡情况。结果:纳入360例患者,男性占60.6%,中位年龄66.0(57.0 ~ 72.0)岁,糖尿病占38.1%,高血压占68.6%。AKI 1期、2期和3期分别在3.6%、5.6%和90.8%的患者中检测到。90%的患者适用KRT。在90天的随访中,88.1%的患者死亡,10.0%的患者肾功能恢复。女性(p = 0.047)、年龄(p = 0.047)、AKI 3期(p = 0.005)、KRT需水量(p < 0.0001)、机械通气(p < 0.0001)和叠加细菌感染(p < 0.0001)与90天内死亡显著相关。1年时死亡率为89.3%。在存活的患者中,72%的患者恢复了肾功能,尽管eGFR与基线相比显著降低(85.5±23.6 vs 65.9±24.8 mL/min, p = 0.003)。结论:COVID-19危重症合并NC-AKI患者AKI 3期发生率高,KRT需求高,90天死亡率高。存活的患者肾功能恢复率高,与基线相比,一年随访时eGFR较低。
本文章由计算机程序翻译,如有差异,请以英文原文为准。

Acute kidney injury in critically ill COVID-19 patients in a tertiary hospital: short and long-term kidney and patient outcomes.

Acute kidney injury in critically ill COVID-19 patients in a tertiary hospital: short and long-term kidney and patient outcomes.

Acute kidney injury in critically ill COVID-19 patients in a tertiary hospital: short and long-term kidney and patient outcomes.

Acute kidney injury in critically ill COVID-19 patients in a tertiary hospital: short and long-term kidney and patient outcomes.

Introduction: Acute kidney injury (AKI) in the setting of COVID-19 is associated with worse clinical and renal outcomes, with limited long-term data.

Aim: To evaluate critically ill COVID-19 patients with AKI that required nephrologist consultation (NC-AKI) in a tertiary hospital.

Methods: Prospective single-center cohort of critically ill COVID-19 adult patients with NC-AKI from May 1st, 2020, to April 30th, 2021. Kidney replacement therapy (KRT), recovery of kidney function, and death at 90-day and 1-year follow-up were evaluated.

Results: 360 patients were included, 60.6% were male, median age was 66.0 (57.0-72.0) years, 38.1% had diabetes, and 68.6% had hypertension. AKI stages 1, 2, and 3 were detected in 3.6%, 5.6%, and 90.8% of patients, respectively. KRT was indicated in 90% of patients. At the 90-day follow-up, 88.1% of patients died and 10.0% had recovered kidney function. Female gender (p = 0.047), older age (p = 0.047), AKI stage 3 (p = 0.005), requirement of KRT (p < 0.0001), mechanical ventilation (p < 0.0001), and superimposed bacterial infection (p < 0.0001) were significantly associated death within 90 days. At 1 year, mortality was 89.3%. Amongst surviving patients, 72% recovered kidney function, although with significantly lower eGFR compared to baseline (85.5 ± 23.6 vs. 65.9 ± 24.8 mL/min, p = 0.003).

Conclusion: Critically ill COVID-19 patients with NC-AKI presented a high frequency of AKI stage 3 and KRT requirement, with a high 90-day mortality. Surviving patients had high rates of recovery of kidney function, with a lower eGFR at one-year follow-up compared to baseline.

求助全文
通过发布文献求助,成功后即可免费获取论文全文。 去求助
来源期刊
CiteScore
2.20
自引率
16.70%
发文量
208
审稿时长
16 weeks
×
引用
GB/T 7714-2015
复制
MLA
复制
APA
复制
导出至
BibTeX EndNote RefMan NoteFirst NoteExpress
×
提示
您的信息不完整,为了账户安全,请先补充。
现在去补充
×
提示
您因"违规操作"
具体请查看互助需知
我知道了
×
提示
确定
请完成安全验证×
copy
已复制链接
快去分享给好友吧!
我知道了
右上角分享
点击右上角分享
0
联系我们:info@booksci.cn Book学术提供免费学术资源搜索服务,方便国内外学者检索中英文文献。致力于提供最便捷和优质的服务体验。 Copyright © 2023 布克学术 All rights reserved.
京ICP备2023020795号-1
ghs 京公网安备 11010802042870号
Book学术文献互助
Book学术文献互助群
群 号:604180095
Book学术官方微信