抗菌湿巾对医院相关细菌和真菌菌株的影响

IF 2.9 Q2 INFECTIOUS DISEASES
Hye-Sun Chun, Chulmin Park, Dukhee Nho, Raeseok Lee, Sung-Yeon Cho, Chang-Joo Kim, Dong-Gun Lee
{"title":"抗菌湿巾对医院相关细菌和真菌菌株的影响","authors":"Hye-Sun Chun, Chulmin Park, Dukhee Nho, Raeseok Lee, Sung-Yeon Cho, Chang-Joo Kim, Dong-Gun Lee","doi":"10.3947/ic.2024.0097","DOIUrl":null,"url":null,"abstract":"<p><strong>Background: </strong>Healthcare-associated infections (HAI) caused by multidrug-resistant organisms have emerged as a significant global issue, posing substantial challenges to healthcare systems. Low- and intermediate-level disinfectants are extensively utilized for cleaning and disinfecting surfaces in hospitals to mitigate environmental transmission of HAI. Therefore, the need for more effective and environmentally safe disinfectants is increasing. This study aimed to assess the effect of antimicrobial wipes used for surface cleaning and disinfection in healthcare environments.</p><p><strong>Materials and methods: </strong>A microbe library comprising 188 bacterial and fungal isolates, including multidrug-resistant strains, was established and used to evaluate the antimicrobial effect of three types of antimicrobial wipes: A (didecyldimethylammonium chloride [DDAC] 0.31% and 3-(trimethoxysilyl)-propyldimethyloctadecyl ammonium chloride [Si-QAC] 0.45%); B (benzalkonium chloride [BAK] 0.63%); and C (DDAC 0.5% and BAK 0.9%). The antimicrobial effect of the wipes was assessed and compared in three assays: rapid bactericidal effect assay of the three wipes, minimum inhibitory concentration (MIC) assay of DDAC and BAK, and a time-kill assay of the DDAC and Si-QAC combination.</p><p><strong>Results: </strong>The rapid antimicrobial effect evaluation showed that both wipes A and C, which contain a combination of two quaternary ammonium compounds (QACs), exhibited similar antimicrobial effect (<i>P</i>=0.8234). Antimicrobial wipe A demonstrated better effect against Gram-positive bacteria and fungi than wipe C (<i>P</i> <0.05). The antimicrobial efficacy of the A wipe against <i>Mycobacterium</i> strains was superior to that of both the B and C wipes. Moreover, DDAC exhibited MIC₅₀ values that were 2 to 3-fold lower than those of BAK for Gram-negative bacteria and fungi. The time-kill assay results for the DDAC and Si-QAC combination exhibited a growth reduction of >3 logs for <i>Staphylococcus aureus</i> and <i>Enterococcus faecium,</i> whereas approximately 2 logs of reduction was observed for <i>Escherichia coli</i> and <i>Pseudomonas aeruginosa</i> at 3 hour.</p><p><strong>Conclusion: </strong>The results suggest that antimicrobial wipes containing relatively lower concentrations of QAC (wipe A) achieve similar rapid bactericidal effect as that of those with higher concentrations (wipe C). For Gram-negative bacteria, including multidrug-resistant strains and fungal isolates, DDAC presented lower MICs compared with BAK. Furthermore, the combination therapy with DDAC and Si-QAC demonstrated enhanced efficacy compared to treatment with either agent alone, except in the case of <i>Klebsiella</i> strains. Further research is needed to develop antimicrobial wipes that minimize the environmental impact while ensuring effective disinfection.</p>","PeriodicalId":51616,"journal":{"name":"Infection and Chemotherapy","volume":"56 4","pages":"522-533"},"PeriodicalIF":2.9000,"publicationDate":"2024-12-01","publicationTypes":"Journal Article","fieldsOfStudy":null,"isOpenAccess":false,"openAccessPdf":"https://www.ncbi.nlm.nih.gov/pmc/articles/PMC11704855/pdf/","citationCount":"0","resultStr":"{\"title\":\"Effect of Antimicrobial Wipes on Hospital-Associated Bacterial and Fungal Strains.\",\"authors\":\"Hye-Sun Chun, Chulmin Park, Dukhee Nho, Raeseok Lee, Sung-Yeon Cho, Chang-Joo Kim, Dong-Gun Lee\",\"doi\":\"10.3947/ic.2024.0097\",\"DOIUrl\":null,\"url\":null,\"abstract\":\"<p><strong>Background: </strong>Healthcare-associated infections (HAI) caused by multidrug-resistant organisms have emerged as a significant global issue, posing substantial challenges to healthcare systems. Low- and intermediate-level disinfectants are extensively utilized for cleaning and disinfecting surfaces in hospitals to mitigate environmental transmission of HAI. Therefore, the need for more effective and environmentally safe disinfectants is increasing. This study aimed to assess the effect of antimicrobial wipes used for surface cleaning and disinfection in healthcare environments.</p><p><strong>Materials and methods: </strong>A microbe library comprising 188 bacterial and fungal isolates, including multidrug-resistant strains, was established and used to evaluate the antimicrobial effect of three types of antimicrobial wipes: A (didecyldimethylammonium chloride [DDAC] 0.31% and 3-(trimethoxysilyl)-propyldimethyloctadecyl ammonium chloride [Si-QAC] 0.45%); B (benzalkonium chloride [BAK] 0.63%); and C (DDAC 0.5% and BAK 0.9%). The antimicrobial effect of the wipes was assessed and compared in three assays: rapid bactericidal effect assay of the three wipes, minimum inhibitory concentration (MIC) assay of DDAC and BAK, and a time-kill assay of the DDAC and Si-QAC combination.</p><p><strong>Results: </strong>The rapid antimicrobial effect evaluation showed that both wipes A and C, which contain a combination of two quaternary ammonium compounds (QACs), exhibited similar antimicrobial effect (<i>P</i>=0.8234). Antimicrobial wipe A demonstrated better effect against Gram-positive bacteria and fungi than wipe C (<i>P</i> <0.05). The antimicrobial efficacy of the A wipe against <i>Mycobacterium</i> strains was superior to that of both the B and C wipes. Moreover, DDAC exhibited MIC₅₀ values that were 2 to 3-fold lower than those of BAK for Gram-negative bacteria and fungi. The time-kill assay results for the DDAC and Si-QAC combination exhibited a growth reduction of >3 logs for <i>Staphylococcus aureus</i> and <i>Enterococcus faecium,</i> whereas approximately 2 logs of reduction was observed for <i>Escherichia coli</i> and <i>Pseudomonas aeruginosa</i> at 3 hour.</p><p><strong>Conclusion: </strong>The results suggest that antimicrobial wipes containing relatively lower concentrations of QAC (wipe A) achieve similar rapid bactericidal effect as that of those with higher concentrations (wipe C). For Gram-negative bacteria, including multidrug-resistant strains and fungal isolates, DDAC presented lower MICs compared with BAK. Furthermore, the combination therapy with DDAC and Si-QAC demonstrated enhanced efficacy compared to treatment with either agent alone, except in the case of <i>Klebsiella</i> strains. Further research is needed to develop antimicrobial wipes that minimize the environmental impact while ensuring effective disinfection.</p>\",\"PeriodicalId\":51616,\"journal\":{\"name\":\"Infection and Chemotherapy\",\"volume\":\"56 4\",\"pages\":\"522-533\"},\"PeriodicalIF\":2.9000,\"publicationDate\":\"2024-12-01\",\"publicationTypes\":\"Journal Article\",\"fieldsOfStudy\":null,\"isOpenAccess\":false,\"openAccessPdf\":\"https://www.ncbi.nlm.nih.gov/pmc/articles/PMC11704855/pdf/\",\"citationCount\":\"0\",\"resultStr\":null,\"platform\":\"Semanticscholar\",\"paperid\":null,\"PeriodicalName\":\"Infection and Chemotherapy\",\"FirstCategoryId\":\"1085\",\"ListUrlMain\":\"https://doi.org/10.3947/ic.2024.0097\",\"RegionNum\":0,\"RegionCategory\":null,\"ArticlePicture\":[],\"TitleCN\":null,\"AbstractTextCN\":null,\"PMCID\":null,\"EPubDate\":\"\",\"PubModel\":\"\",\"JCR\":\"Q2\",\"JCRName\":\"INFECTIOUS DISEASES\",\"Score\":null,\"Total\":0}","platform":"Semanticscholar","paperid":null,"PeriodicalName":"Infection and Chemotherapy","FirstCategoryId":"1085","ListUrlMain":"https://doi.org/10.3947/ic.2024.0097","RegionNum":0,"RegionCategory":null,"ArticlePicture":[],"TitleCN":null,"AbstractTextCN":null,"PMCID":null,"EPubDate":"","PubModel":"","JCR":"Q2","JCRName":"INFECTIOUS DISEASES","Score":null,"Total":0}
引用次数: 0

摘要

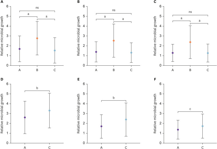
背景:由多药耐药菌引起的卫生保健相关感染(HAI)已成为一个重大的全球性问题,对卫生保健系统构成了重大挑战。低、中级消毒剂广泛用于医院表面的清洁和消毒,以减轻HAI的环境传播。因此,对更有效和更环保的消毒剂的需求正在增加。本研究旨在评估卫生保健环境中用于表面清洁和消毒的抗菌湿巾的效果。材料与方法:建立包括多重耐药菌株在内的188株细菌和真菌分离菌文库,评价3种抗菌湿巾的抗菌效果:A(二烷基二甲基氯化铵[DDAC] 0.31%)和3-(三甲氧基硅基)-丙基二甲基十八烷基氯化铵[Si-QAC] 0.45%);B(苯扎氯铵[BAK] 0.63%);C (DDAC 0.5%, BAK 0.9%)。通过三种方法对湿巾的抗菌效果进行评估和比较:三种湿巾的快速杀菌效果试验、DDAC和BAK的最低抑菌浓度(MIC)试验以及DDAC和Si-QAC联合的杀菌时间试验。结果:快速抗菌效果评价显示,含有两种季铵化合物(QACs)的湿巾A和C的抗菌效果相似(P=0.8234)。抗菌湿巾A对革兰氏阳性菌和真菌的抑菌效果优于C湿巾,其中P分枝杆菌的抑菌效果优于B和C湿巾。此外,DDAC的MIC₅0值比革兰氏阴性细菌和真菌的BAK低2至3倍。DDAC和Si-QAC组合的时间杀伤实验结果显示,金黄色葡萄球菌和屎肠球菌的生长减少了3个log,而大肠杆菌和铜绿假单胞菌的生长减少了约2个log。结论:较低浓度QAC (wipe A)抗菌湿巾与较高浓度QAC (wipe C)抗菌湿巾具有相似的快速杀菌效果。对于革兰氏阴性菌,包括多重耐药菌株和真菌分离株,DDAC比BAK具有更低的mic。此外,除了克雷伯菌菌株外,DDAC和Si-QAC联合治疗比单独使用任何一种药物都有更高的疗效。需要进一步研究开发抗菌湿巾,以尽量减少对环境的影响,同时确保有效消毒。
本文章由计算机程序翻译,如有差异,请以英文原文为准。

Effect of Antimicrobial Wipes on Hospital-Associated Bacterial and Fungal Strains.

Effect of Antimicrobial Wipes on Hospital-Associated Bacterial and Fungal Strains.

Effect of Antimicrobial Wipes on Hospital-Associated Bacterial and Fungal Strains.

Effect of Antimicrobial Wipes on Hospital-Associated Bacterial and Fungal Strains.

Background: Healthcare-associated infections (HAI) caused by multidrug-resistant organisms have emerged as a significant global issue, posing substantial challenges to healthcare systems. Low- and intermediate-level disinfectants are extensively utilized for cleaning and disinfecting surfaces in hospitals to mitigate environmental transmission of HAI. Therefore, the need for more effective and environmentally safe disinfectants is increasing. This study aimed to assess the effect of antimicrobial wipes used for surface cleaning and disinfection in healthcare environments.

Materials and methods: A microbe library comprising 188 bacterial and fungal isolates, including multidrug-resistant strains, was established and used to evaluate the antimicrobial effect of three types of antimicrobial wipes: A (didecyldimethylammonium chloride [DDAC] 0.31% and 3-(trimethoxysilyl)-propyldimethyloctadecyl ammonium chloride [Si-QAC] 0.45%); B (benzalkonium chloride [BAK] 0.63%); and C (DDAC 0.5% and BAK 0.9%). The antimicrobial effect of the wipes was assessed and compared in three assays: rapid bactericidal effect assay of the three wipes, minimum inhibitory concentration (MIC) assay of DDAC and BAK, and a time-kill assay of the DDAC and Si-QAC combination.

Results: The rapid antimicrobial effect evaluation showed that both wipes A and C, which contain a combination of two quaternary ammonium compounds (QACs), exhibited similar antimicrobial effect (P=0.8234). Antimicrobial wipe A demonstrated better effect against Gram-positive bacteria and fungi than wipe C (P <0.05). The antimicrobial efficacy of the A wipe against Mycobacterium strains was superior to that of both the B and C wipes. Moreover, DDAC exhibited MIC₅₀ values that were 2 to 3-fold lower than those of BAK for Gram-negative bacteria and fungi. The time-kill assay results for the DDAC and Si-QAC combination exhibited a growth reduction of >3 logs for Staphylococcus aureus and Enterococcus faecium, whereas approximately 2 logs of reduction was observed for Escherichia coli and Pseudomonas aeruginosa at 3 hour.

Conclusion: The results suggest that antimicrobial wipes containing relatively lower concentrations of QAC (wipe A) achieve similar rapid bactericidal effect as that of those with higher concentrations (wipe C). For Gram-negative bacteria, including multidrug-resistant strains and fungal isolates, DDAC presented lower MICs compared with BAK. Furthermore, the combination therapy with DDAC and Si-QAC demonstrated enhanced efficacy compared to treatment with either agent alone, except in the case of Klebsiella strains. Further research is needed to develop antimicrobial wipes that minimize the environmental impact while ensuring effective disinfection.

求助全文
通过发布文献求助,成功后即可免费获取论文全文。 去求助
来源期刊
Infection and Chemotherapy
Infection and Chemotherapy INFECTIOUS DISEASES-
CiteScore
6.60
自引率
11.90%
发文量
71
审稿时长
22 weeks
×
引用
GB/T 7714-2015
复制
MLA
复制
APA
复制
导出至
BibTeX EndNote RefMan NoteFirst NoteExpress
×
提示
您的信息不完整,为了账户安全,请先补充。
现在去补充
×
提示
您因"违规操作"
具体请查看互助需知
我知道了
×
提示
确定
请完成安全验证×
copy
已复制链接
快去分享给好友吧!
我知道了
右上角分享
点击右上角分享
0
联系我们:info@booksci.cn Book学术提供免费学术资源搜索服务,方便国内外学者检索中英文文献。致力于提供最便捷和优质的服务体验。 Copyright © 2023 布克学术 All rights reserved.
京ICP备2023020795号-1
ghs 京公网安备 11010802042870号
Book学术文献互助
Book学术文献互助群
群 号:604180095
Book学术官方微信