高敏感性肌钙蛋白T在急性肺栓塞患者中的预测价值和最佳临界值。

IF 2.4 4区 医学 Q2 MEDICINE, GENERAL & INTERNAL
Moojun Kim, Chang-Ok Seo, Yong-Lee Kim, Hangyul Kim, Hye Ree Kim, Yun Ho Cho, Jeong Yoon Jang, Jong-Hwa Ahn, Min Gyu Kang, Kyehwan Kim, Jin-Sin Koh, Seok-Jae Hwang, Jin Yong Hwang, Jeong Rang Park
{"title":"高敏感性肌钙蛋白T在急性肺栓塞患者中的预测价值和最佳临界值。","authors":"Moojun Kim, Chang-Ok Seo, Yong-Lee Kim, Hangyul Kim, Hye Ree Kim, Yun Ho Cho, Jeong Yoon Jang, Jong-Hwa Ahn, Min Gyu Kang, Kyehwan Kim, Jin-Sin Koh, Seok-Jae Hwang, Jin Yong Hwang, Jeong Rang Park","doi":"10.3904/kjim.2024.131","DOIUrl":null,"url":null,"abstract":"<p><strong>Background/aims: </strong>Elevated troponin levels predict in-hospital mortality and influence decisions regarding thrombolytic therapy in patients with acute pulmonary embolism (PE). However, the usefulness of high-sensitivity troponin T (hsTnT) regarding PE remains uncertain. We aimed to establish the optimal cut-off level and compare its performance for precise risk stratification.</p><p><strong>Methods: </strong>374 patients diagnosed with acute PE were reviewed. PE-related adverse outcomes, a composite of PE-related deaths, cardiopulmonary resuscitation incidents, systolic blood pressure < 90 mmHg, and all-cause mortality within 30 days were evaluated. The optimal hsTnT cut-off for all-cause mortality, and the net reclassification index (NRI) was used to assess the incremental value in risk stratification.</p><p><strong>Results: </strong>Among 343 normotensive patients, 17 (5.0%) experienced all-cause mortality, while 40 (10.7%) had PE-related adverse outcomes. An optimal hsTnT cut-off value of 60 ng/L for all-cause mortality (AUC 0.74, 95% CI 0.61-0.85, p < 0.001) was identified, which was significantly associated with PE-related adverse outcomes (OR 4.07, 95% CI 2.06-8.06, p < 0.001). Patients with hsTnT ≥ 60 ng/L were older, hypotensive, had higher creatinine levels, and right ventricular dysfunction signs. Combining hsTnT ≥ 60 ng/L with simplified pulmonary embolism severity index ≥1 provided additional prognostic information. Reclassification analysis showed a significant shift in risk categories, with an NRI of 1.016 ± 0.201 (p < 0.001).</p><p><strong>Conclusion: </strong>We refined troponin's predictive value in patients with acute PE, proposing a new cut-off value of hsTnT ≥ 60 ng/L. Validation through large-scale studies is essential to offer clinically useful guidance for managing patient population.</p>","PeriodicalId":48785,"journal":{"name":"Korean Journal of Internal Medicine","volume":"40 1","pages":"65-77"},"PeriodicalIF":2.4000,"publicationDate":"2025-01-01","publicationTypes":"Journal Article","fieldsOfStudy":null,"isOpenAccess":false,"openAccessPdf":"https://www.ncbi.nlm.nih.gov/pmc/articles/PMC11725470/pdf/","citationCount":"0","resultStr":"{\"title\":\"Predictive value and optimal cut-off level of high-sensitivity troponin T in patients with acute pulmonary embolism.\",\"authors\":\"Moojun Kim, Chang-Ok Seo, Yong-Lee Kim, Hangyul Kim, Hye Ree Kim, Yun Ho Cho, Jeong Yoon Jang, Jong-Hwa Ahn, Min Gyu Kang, Kyehwan Kim, Jin-Sin Koh, Seok-Jae Hwang, Jin Yong Hwang, Jeong Rang Park\",\"doi\":\"10.3904/kjim.2024.131\",\"DOIUrl\":null,\"url\":null,\"abstract\":\"<p><strong>Background/aims: </strong>Elevated troponin levels predict in-hospital mortality and influence decisions regarding thrombolytic therapy in patients with acute pulmonary embolism (PE). However, the usefulness of high-sensitivity troponin T (hsTnT) regarding PE remains uncertain. We aimed to establish the optimal cut-off level and compare its performance for precise risk stratification.</p><p><strong>Methods: </strong>374 patients diagnosed with acute PE were reviewed. PE-related adverse outcomes, a composite of PE-related deaths, cardiopulmonary resuscitation incidents, systolic blood pressure < 90 mmHg, and all-cause mortality within 30 days were evaluated. The optimal hsTnT cut-off for all-cause mortality, and the net reclassification index (NRI) was used to assess the incremental value in risk stratification.</p><p><strong>Results: </strong>Among 343 normotensive patients, 17 (5.0%) experienced all-cause mortality, while 40 (10.7%) had PE-related adverse outcomes. An optimal hsTnT cut-off value of 60 ng/L for all-cause mortality (AUC 0.74, 95% CI 0.61-0.85, p < 0.001) was identified, which was significantly associated with PE-related adverse outcomes (OR 4.07, 95% CI 2.06-8.06, p < 0.001). Patients with hsTnT ≥ 60 ng/L were older, hypotensive, had higher creatinine levels, and right ventricular dysfunction signs. Combining hsTnT ≥ 60 ng/L with simplified pulmonary embolism severity index ≥1 provided additional prognostic information. Reclassification analysis showed a significant shift in risk categories, with an NRI of 1.016 ± 0.201 (p < 0.001).</p><p><strong>Conclusion: </strong>We refined troponin's predictive value in patients with acute PE, proposing a new cut-off value of hsTnT ≥ 60 ng/L. Validation through large-scale studies is essential to offer clinically useful guidance for managing patient population.</p>\",\"PeriodicalId\":48785,\"journal\":{\"name\":\"Korean Journal of Internal Medicine\",\"volume\":\"40 1\",\"pages\":\"65-77\"},\"PeriodicalIF\":2.4000,\"publicationDate\":\"2025-01-01\",\"publicationTypes\":\"Journal Article\",\"fieldsOfStudy\":null,\"isOpenAccess\":false,\"openAccessPdf\":\"https://www.ncbi.nlm.nih.gov/pmc/articles/PMC11725470/pdf/\",\"citationCount\":\"0\",\"resultStr\":null,\"platform\":\"Semanticscholar\",\"paperid\":null,\"PeriodicalName\":\"Korean Journal of Internal Medicine\",\"FirstCategoryId\":\"3\",\"ListUrlMain\":\"https://doi.org/10.3904/kjim.2024.131\",\"RegionNum\":4,\"RegionCategory\":\"医学\",\"ArticlePicture\":[],\"TitleCN\":null,\"AbstractTextCN\":null,\"PMCID\":null,\"EPubDate\":\"\",\"PubModel\":\"\",\"JCR\":\"Q2\",\"JCRName\":\"MEDICINE, GENERAL & INTERNAL\",\"Score\":null,\"Total\":0}","platform":"Semanticscholar","paperid":null,"PeriodicalName":"Korean Journal of Internal Medicine","FirstCategoryId":"3","ListUrlMain":"https://doi.org/10.3904/kjim.2024.131","RegionNum":4,"RegionCategory":"医学","ArticlePicture":[],"TitleCN":null,"AbstractTextCN":null,"PMCID":null,"EPubDate":"","PubModel":"","JCR":"Q2","JCRName":"MEDICINE, GENERAL & INTERNAL","Score":null,"Total":0}
引用次数: 0

摘要

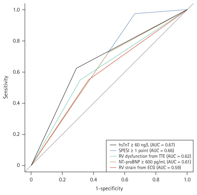
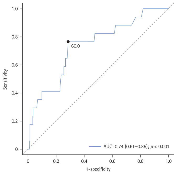
背景/目的:肌钙蛋白水平升高可预测急性肺栓塞(PE)患者的住院死亡率并影响溶栓治疗决策。然而,高灵敏度肌钙蛋白T (hsTnT)对PE的有用性仍然不确定。我们的目的是建立最佳的截止水平,并比较其精确风险分层的性能。方法:对374例诊断为急性肺心病的患者进行回顾性分析。评估pe相关不良结局、pe相关死亡、心肺复苏事件、收缩压< 90mmhg和30天内全因死亡率。采用全因死亡率的最佳hsTnT截止值和净重分类指数(NRI)来评估风险分层的增量值。结果:343例正常血压患者中,17例(5.0%)出现全因死亡,40例(10.7%)出现pe相关不良结局。确定了最佳hsTnT临界值为60 ng/L的全因死亡率(AUC 0.74, 95% CI 0.61-0.85, p < 0.001),该临界值与pe相关不良结局显著相关(OR 4.07, 95% CI 2.06-8.06, p < 0.001)。hsTnT≥60 ng/L的患者年龄较大,低血压,肌酐水平较高,有右室功能障碍体征。合并hsTnT≥60 ng/L和简化肺栓塞严重程度指数≥1提供了额外的预后信息。重新分类分析显示风险类别发生了显著变化,NRI为1.016±0.201 (p < 0.001)。结论:我们改进了肌钙蛋白在急性PE患者中的预测价值,提出了hsTnT≥60 ng/L的新临界值。通过大规模研究进行验证对于为管理患者群体提供临床有用的指导至关重要。
本文章由计算机程序翻译,如有差异,请以英文原文为准。

Predictive value and optimal cut-off level of high-sensitivity troponin T in patients with acute pulmonary embolism.

Predictive value and optimal cut-off level of high-sensitivity troponin T in patients with acute pulmonary embolism.

Predictive value and optimal cut-off level of high-sensitivity troponin T in patients with acute pulmonary embolism.

Predictive value and optimal cut-off level of high-sensitivity troponin T in patients with acute pulmonary embolism.

Background/aims: Elevated troponin levels predict in-hospital mortality and influence decisions regarding thrombolytic therapy in patients with acute pulmonary embolism (PE). However, the usefulness of high-sensitivity troponin T (hsTnT) regarding PE remains uncertain. We aimed to establish the optimal cut-off level and compare its performance for precise risk stratification.

Methods: 374 patients diagnosed with acute PE were reviewed. PE-related adverse outcomes, a composite of PE-related deaths, cardiopulmonary resuscitation incidents, systolic blood pressure < 90 mmHg, and all-cause mortality within 30 days were evaluated. The optimal hsTnT cut-off for all-cause mortality, and the net reclassification index (NRI) was used to assess the incremental value in risk stratification.

Results: Among 343 normotensive patients, 17 (5.0%) experienced all-cause mortality, while 40 (10.7%) had PE-related adverse outcomes. An optimal hsTnT cut-off value of 60 ng/L for all-cause mortality (AUC 0.74, 95% CI 0.61-0.85, p < 0.001) was identified, which was significantly associated with PE-related adverse outcomes (OR 4.07, 95% CI 2.06-8.06, p < 0.001). Patients with hsTnT ≥ 60 ng/L were older, hypotensive, had higher creatinine levels, and right ventricular dysfunction signs. Combining hsTnT ≥ 60 ng/L with simplified pulmonary embolism severity index ≥1 provided additional prognostic information. Reclassification analysis showed a significant shift in risk categories, with an NRI of 1.016 ± 0.201 (p < 0.001).

Conclusion: We refined troponin's predictive value in patients with acute PE, proposing a new cut-off value of hsTnT ≥ 60 ng/L. Validation through large-scale studies is essential to offer clinically useful guidance for managing patient population.

求助全文
通过发布文献求助,成功后即可免费获取论文全文。 去求助
来源期刊
Korean Journal of Internal Medicine
Korean Journal of Internal Medicine MEDICINE, GENERAL & INTERNAL-
CiteScore
5.10
自引率
4.20%
发文量
129
审稿时长
20 weeks
期刊介绍: The Korean Journal of Internal Medicine is an international medical journal published in English by the Korean Association of Internal Medicine. The Journal publishes peer-reviewed original articles, reviews, and editorials on all aspects of medicine, including clinical investigations and basic research. Both human and experimental animal studies are welcome, as are new findings on the epidemiology, pathogenesis, diagnosis, and treatment of diseases. Case reports will be published only in exceptional circumstances, when they illustrate a rare occurrence of clinical importance. Letters to the editor are encouraged for specific comments on published articles and general viewpoints.
×
引用
GB/T 7714-2015
复制
MLA
复制
APA
复制
导出至
BibTeX EndNote RefMan NoteFirst NoteExpress
×
提示
您的信息不完整,为了账户安全,请先补充。
现在去补充
×
提示
您因"违规操作"
具体请查看互助需知
我知道了
×
提示
确定
请完成安全验证×
copy
已复制链接
快去分享给好友吧!
我知道了
右上角分享
点击右上角分享
0
联系我们:info@booksci.cn Book学术提供免费学术资源搜索服务,方便国内外学者检索中英文文献。致力于提供最便捷和优质的服务体验。 Copyright © 2023 布克学术 All rights reserved.
京ICP备2023020795号-1
ghs 京公网安备 11010802042870号
Book学术文献互助
Book学术文献互助群
群 号:604180095
Book学术官方微信