口腔液标本在野外条件下对胞内Lawsonia和水痢短螺旋体进行多重qPCR监测的适用性研究。

IF 3.1 2区 农林科学 Q1 VETERINARY SCIENCES
Matthias Eddicks, Gerald Reiner, Sigena Junker, Hermann Willems, Sabrina Becker, Julia Stadler, Josefine Hagn, Mathias Ritzmann
{"title":"口腔液标本在野外条件下对胞内Lawsonia和水痢短螺旋体进行多重qPCR监测的适用性研究。","authors":"Matthias Eddicks, Gerald Reiner, Sigena Junker, Hermann Willems, Sabrina Becker, Julia Stadler, Josefine Hagn, Mathias Ritzmann","doi":"10.1186/s40813-024-00415-4","DOIUrl":null,"url":null,"abstract":"<p><strong>Background: </strong>Monitoring or surveillance of infectious diseases is crucial in terms of herd health management of livestock. Investigations of oral fluids have become an animal friendly routine strategy to monitor respiratory pathogens in pigs. Less is known about the suitability of oral fluids for the detection of enteric pathogens in swine. In the present study we evaluated the use of oral fluids to monitor B. hyodysenteriae and L. intracellularis compared to pooled fecal samples by multiplex qPCR in a pen-wise follow-up of fattening pigs. Therefore, we collected oral fluids at an age of 12, 16 and 20 weeks of life and compared them to pooled fecal samples collected from the same pens on two fattening farms.</p><p><strong>Results: </strong>Cohen´s Kappa analysis revealed a substantial agreement between oral fluids and pooled fecal samples on pen level (Cohen´s Kappa: 0.745; p < 0.001). DNA-loads of L. intracellularis were tendentially higher (p = 0.053) in pooled fecal samples than in the corresponding OFs.</p><p><strong>Conclusions: </strong>The present study shows that oral fluids are an appropriate tool to monitor B. hyodysenteriae and L. intracellularis on conventional fattening farms under field conditions. However, multiple pen testing should be conducted to increase the diagnostic performance and sensitivity.</p>","PeriodicalId":20352,"journal":{"name":"Porcine Health Management","volume":"11 1","pages":"2"},"PeriodicalIF":3.1000,"publicationDate":"2025-01-07","publicationTypes":"Journal Article","fieldsOfStudy":null,"isOpenAccess":false,"openAccessPdf":"https://www.ncbi.nlm.nih.gov/pmc/articles/PMC11706030/pdf/","citationCount":"0","resultStr":"{\"title\":\"Field study on the suitability of oral fluid samples for monitoring of Lawsonia intracellularis and Brachyspira hyodysenteriae by multiplex qPCR under field conditions.\",\"authors\":\"Matthias Eddicks, Gerald Reiner, Sigena Junker, Hermann Willems, Sabrina Becker, Julia Stadler, Josefine Hagn, Mathias Ritzmann\",\"doi\":\"10.1186/s40813-024-00415-4\",\"DOIUrl\":null,\"url\":null,\"abstract\":\"<p><strong>Background: </strong>Monitoring or surveillance of infectious diseases is crucial in terms of herd health management of livestock. Investigations of oral fluids have become an animal friendly routine strategy to monitor respiratory pathogens in pigs. Less is known about the suitability of oral fluids for the detection of enteric pathogens in swine. In the present study we evaluated the use of oral fluids to monitor B. hyodysenteriae and L. intracellularis compared to pooled fecal samples by multiplex qPCR in a pen-wise follow-up of fattening pigs. Therefore, we collected oral fluids at an age of 12, 16 and 20 weeks of life and compared them to pooled fecal samples collected from the same pens on two fattening farms.</p><p><strong>Results: </strong>Cohen´s Kappa analysis revealed a substantial agreement between oral fluids and pooled fecal samples on pen level (Cohen´s Kappa: 0.745; p < 0.001). DNA-loads of L. intracellularis were tendentially higher (p = 0.053) in pooled fecal samples than in the corresponding OFs.</p><p><strong>Conclusions: </strong>The present study shows that oral fluids are an appropriate tool to monitor B. hyodysenteriae and L. intracellularis on conventional fattening farms under field conditions. However, multiple pen testing should be conducted to increase the diagnostic performance and sensitivity.</p>\",\"PeriodicalId\":20352,\"journal\":{\"name\":\"Porcine Health Management\",\"volume\":\"11 1\",\"pages\":\"2\"},\"PeriodicalIF\":3.1000,\"publicationDate\":\"2025-01-07\",\"publicationTypes\":\"Journal Article\",\"fieldsOfStudy\":null,\"isOpenAccess\":false,\"openAccessPdf\":\"https://www.ncbi.nlm.nih.gov/pmc/articles/PMC11706030/pdf/\",\"citationCount\":\"0\",\"resultStr\":null,\"platform\":\"Semanticscholar\",\"paperid\":null,\"PeriodicalName\":\"Porcine Health Management\",\"FirstCategoryId\":\"97\",\"ListUrlMain\":\"https://doi.org/10.1186/s40813-024-00415-4\",\"RegionNum\":2,\"RegionCategory\":\"农林科学\",\"ArticlePicture\":[],\"TitleCN\":null,\"AbstractTextCN\":null,\"PMCID\":null,\"EPubDate\":\"\",\"PubModel\":\"\",\"JCR\":\"Q1\",\"JCRName\":\"VETERINARY SCIENCES\",\"Score\":null,\"Total\":0}","platform":"Semanticscholar","paperid":null,"PeriodicalName":"Porcine Health Management","FirstCategoryId":"97","ListUrlMain":"https://doi.org/10.1186/s40813-024-00415-4","RegionNum":2,"RegionCategory":"农林科学","ArticlePicture":[],"TitleCN":null,"AbstractTextCN":null,"PMCID":null,"EPubDate":"","PubModel":"","JCR":"Q1","JCRName":"VETERINARY SCIENCES","Score":null,"Total":0}
引用次数: 0

摘要

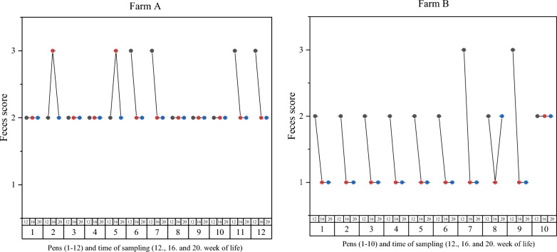
背景:传染病的监测或监测在畜群健康管理方面至关重要。调查口腔液已成为监测猪呼吸道病原体的一种动物友好的常规策略。对口服液检测猪肠道病原体的适用性了解较少。在本研究中,我们通过多重qPCR对育肥猪进行围栏跟踪,评估了使用口腔液监测水痢杆菌和胞内乳杆菌的效果,并将其与汇总粪便样本进行了比较。因此,我们收集了12周、16周和20周的口腔液,并将其与从两个育肥场的同一围栏收集的粪便样本进行了比较。结果:Cohen’s Kappa分析显示,口服液和汇集的粪便样本在笔水平上有很大的一致性(Cohen’s Kappa: 0.745;结论:本研究表明,在野外条件下,口服液体是常规育肥场监测水痢杆菌和胞内乳杆菌的合适工具。但是,应该进行多次渗透测试,以提高诊断性能和灵敏度。
本文章由计算机程序翻译,如有差异,请以英文原文为准。

Field study on the suitability of oral fluid samples for monitoring of Lawsonia intracellularis and Brachyspira hyodysenteriae by multiplex qPCR under field conditions.

Field study on the suitability of oral fluid samples for monitoring of Lawsonia intracellularis and Brachyspira hyodysenteriae by multiplex qPCR under field conditions.

Field study on the suitability of oral fluid samples for monitoring of Lawsonia intracellularis and Brachyspira hyodysenteriae by multiplex qPCR under field conditions.

Field study on the suitability of oral fluid samples for monitoring of Lawsonia intracellularis and Brachyspira hyodysenteriae by multiplex qPCR under field conditions.

Background: Monitoring or surveillance of infectious diseases is crucial in terms of herd health management of livestock. Investigations of oral fluids have become an animal friendly routine strategy to monitor respiratory pathogens in pigs. Less is known about the suitability of oral fluids for the detection of enteric pathogens in swine. In the present study we evaluated the use of oral fluids to monitor B. hyodysenteriae and L. intracellularis compared to pooled fecal samples by multiplex qPCR in a pen-wise follow-up of fattening pigs. Therefore, we collected oral fluids at an age of 12, 16 and 20 weeks of life and compared them to pooled fecal samples collected from the same pens on two fattening farms.

Results: Cohen´s Kappa analysis revealed a substantial agreement between oral fluids and pooled fecal samples on pen level (Cohen´s Kappa: 0.745; p < 0.001). DNA-loads of L. intracellularis were tendentially higher (p = 0.053) in pooled fecal samples than in the corresponding OFs.

Conclusions: The present study shows that oral fluids are an appropriate tool to monitor B. hyodysenteriae and L. intracellularis on conventional fattening farms under field conditions. However, multiple pen testing should be conducted to increase the diagnostic performance and sensitivity.

求助全文
通过发布文献求助,成功后即可免费获取论文全文。 去求助
来源期刊
Porcine Health Management
Porcine Health Management Veterinary-Food Animals
CiteScore
5.40
自引率
5.90%
发文量
49
审稿时长
14 weeks
期刊介绍: Porcine Health Management (PHM) is an open access peer-reviewed journal that aims to publish relevant, novel and revised information regarding all aspects of swine health medicine and production.
×
引用
GB/T 7714-2015
复制
MLA
复制
APA
复制
导出至
BibTeX EndNote RefMan NoteFirst NoteExpress
×
提示
您的信息不完整,为了账户安全,请先补充。
现在去补充
×
提示
您因"违规操作"
具体请查看互助需知
我知道了
×
提示
确定
请完成安全验证×
copy
已复制链接
快去分享给好友吧!
我知道了
右上角分享
点击右上角分享
0
联系我们:info@booksci.cn Book学术提供免费学术资源搜索服务,方便国内外学者检索中英文文献。致力于提供最便捷和优质的服务体验。 Copyright © 2023 布克学术 All rights reserved.
京ICP备2023020795号-1
ghs 京公网安备 11010802042870号
Book学术文献互助
Book学术文献互助群
群 号:604180095
Book学术官方微信