电子废物和灯具回收设施的职业汞暴露-俄亥俄州,2023。

IF 17.3 1区 医学 Q1 PUBLIC, ENVIRONMENTAL & OCCUPATIONAL HEALTH
Dallas S Shi, Melissa Charles, Catherine Beaucham, Sheldon Walker, Walter Alarcon, Scott E Brueck, Sophia K Chiu, Nicholas Somerville
{"title":"电子废物和灯具回收设施的职业汞暴露-俄亥俄州,2023。","authors":"Dallas S Shi, Melissa Charles, Catherine Beaucham, Sheldon Walker, Walter Alarcon, Scott E Brueck, Sophia K Chiu, Nicholas Somerville","doi":"10.15585/mmwr.mm7401a2","DOIUrl":null,"url":null,"abstract":"<p><p>Workers in electronics waste and lamp recycling facilities are at risk of exposure to elemental mercury through inhalation of mercury vapor and mercury-containing dust. Employers at an electronics waste and lamp recycling facility in Ohio that crushes mercury-containing lamps expressed concerns about mercury exposure from work processes and requested a health hazard evaluation by CDC's National Institute for Occupational Safety and Health (NIOSH). In April 2023, NIOSH conducted a multidisciplinary investigation to assess elemental and inorganic mercury exposures, including epidemiologic, environmental, and ventilation assessments. Results indicated that mercury vapor was detected throughout the facility, with six of 14 workers having elevated urine mercury levels. These workers had a median job tenure of 8 months; four did not speak English, and five reported symptoms consistent with mercury toxicity, such as metallic or bitter taste, difficulty thinking, and changes in personality. Recommendations included improving the ventilation system, changing work practices to reduce mercury exposure, and providing training and communication tailored to the worker. As the electronic waste recycling industry continues to grow, it is important for employers to evaluate mercury exposure and safeguard employees using a hierarchy of controls. Health departments should consider monitoring occupational mercury exposure in recycling facilities, and clinicians should be aware of the potential for mercury toxicity among workers in these settings.</p>","PeriodicalId":18637,"journal":{"name":"MMWR. Morbidity and mortality weekly report","volume":"74 1","pages":"9-13"},"PeriodicalIF":17.3000,"publicationDate":"2025-01-09","publicationTypes":"Journal Article","fieldsOfStudy":null,"isOpenAccess":false,"openAccessPdf":"https://www.ncbi.nlm.nih.gov/pmc/articles/PMC11709132/pdf/","citationCount":"0","resultStr":"{\"title\":\"Occupational Exposure to Mercury at an Electronics Waste and Lamp Recycling Facility - Ohio, 2023.\",\"authors\":\"Dallas S Shi, Melissa Charles, Catherine Beaucham, Sheldon Walker, Walter Alarcon, Scott E Brueck, Sophia K Chiu, Nicholas Somerville\",\"doi\":\"10.15585/mmwr.mm7401a2\",\"DOIUrl\":null,\"url\":null,\"abstract\":\"<p><p>Workers in electronics waste and lamp recycling facilities are at risk of exposure to elemental mercury through inhalation of mercury vapor and mercury-containing dust. Employers at an electronics waste and lamp recycling facility in Ohio that crushes mercury-containing lamps expressed concerns about mercury exposure from work processes and requested a health hazard evaluation by CDC's National Institute for Occupational Safety and Health (NIOSH). In April 2023, NIOSH conducted a multidisciplinary investigation to assess elemental and inorganic mercury exposures, including epidemiologic, environmental, and ventilation assessments. Results indicated that mercury vapor was detected throughout the facility, with six of 14 workers having elevated urine mercury levels. These workers had a median job tenure of 8 months; four did not speak English, and five reported symptoms consistent with mercury toxicity, such as metallic or bitter taste, difficulty thinking, and changes in personality. Recommendations included improving the ventilation system, changing work practices to reduce mercury exposure, and providing training and communication tailored to the worker. As the electronic waste recycling industry continues to grow, it is important for employers to evaluate mercury exposure and safeguard employees using a hierarchy of controls. Health departments should consider monitoring occupational mercury exposure in recycling facilities, and clinicians should be aware of the potential for mercury toxicity among workers in these settings.</p>\",\"PeriodicalId\":18637,\"journal\":{\"name\":\"MMWR. Morbidity and mortality weekly report\",\"volume\":\"74 1\",\"pages\":\"9-13\"},\"PeriodicalIF\":17.3000,\"publicationDate\":\"2025-01-09\",\"publicationTypes\":\"Journal Article\",\"fieldsOfStudy\":null,\"isOpenAccess\":false,\"openAccessPdf\":\"https://www.ncbi.nlm.nih.gov/pmc/articles/PMC11709132/pdf/\",\"citationCount\":\"0\",\"resultStr\":null,\"platform\":\"Semanticscholar\",\"paperid\":null,\"PeriodicalName\":\"MMWR. Morbidity and mortality weekly report\",\"FirstCategoryId\":\"3\",\"ListUrlMain\":\"https://doi.org/10.15585/mmwr.mm7401a2\",\"RegionNum\":1,\"RegionCategory\":\"医学\",\"ArticlePicture\":[],\"TitleCN\":null,\"AbstractTextCN\":null,\"PMCID\":null,\"EPubDate\":\"\",\"PubModel\":\"\",\"JCR\":\"Q1\",\"JCRName\":\"PUBLIC, ENVIRONMENTAL & OCCUPATIONAL HEALTH\",\"Score\":null,\"Total\":0}","platform":"Semanticscholar","paperid":null,"PeriodicalName":"MMWR. Morbidity and mortality weekly report","FirstCategoryId":"3","ListUrlMain":"https://doi.org/10.15585/mmwr.mm7401a2","RegionNum":1,"RegionCategory":"医学","ArticlePicture":[],"TitleCN":null,"AbstractTextCN":null,"PMCID":null,"EPubDate":"","PubModel":"","JCR":"Q1","JCRName":"PUBLIC, ENVIRONMENTAL & OCCUPATIONAL HEALTH","Score":null,"Total":0}
引用次数: 0

摘要

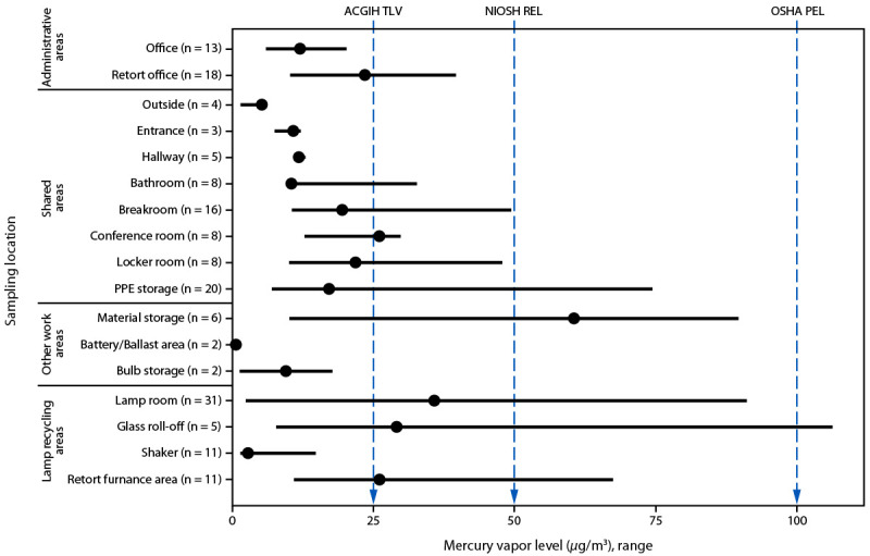
电子废物和灯具回收设施的工人通过吸入汞蒸气和含汞粉尘,有接触单质汞的危险。俄亥俄州一家电子废物和灯具回收设施的雇主对工作过程中的汞暴露表示担忧,并要求疾病预防控制中心的国家职业安全与健康研究所(NIOSH)进行健康危害评估。2023年4月,NIOSH开展了一项多学科调查,以评估元素汞和无机汞暴露,包括流行病学、环境和通风评估。结果表明,整个工厂都检测到汞蒸气,14名工人中有6名尿汞水平升高。这些工人的平均工作任期为8个月;4人不会说英语,5人报告的症状与汞中毒相符,如金属味或苦味、思维困难和性格变化。建议包括改善通风系统,改变工作方式以减少汞接触,以及为工人提供量身定制的培训和交流。随着电子废物回收行业的不断发展,雇主必须评估汞暴露情况,并使用等级控制措施保护员工。卫生部门应考虑监测回收设施中的职业汞暴露,临床医生应意识到这些环境中的工人可能存在汞毒性。
本文章由计算机程序翻译,如有差异,请以英文原文为准。

Occupational Exposure to Mercury at an Electronics Waste and Lamp Recycling Facility - Ohio, 2023.

Occupational Exposure to Mercury at an Electronics Waste and Lamp Recycling Facility - Ohio, 2023.

Workers in electronics waste and lamp recycling facilities are at risk of exposure to elemental mercury through inhalation of mercury vapor and mercury-containing dust. Employers at an electronics waste and lamp recycling facility in Ohio that crushes mercury-containing lamps expressed concerns about mercury exposure from work processes and requested a health hazard evaluation by CDC's National Institute for Occupational Safety and Health (NIOSH). In April 2023, NIOSH conducted a multidisciplinary investigation to assess elemental and inorganic mercury exposures, including epidemiologic, environmental, and ventilation assessments. Results indicated that mercury vapor was detected throughout the facility, with six of 14 workers having elevated urine mercury levels. These workers had a median job tenure of 8 months; four did not speak English, and five reported symptoms consistent with mercury toxicity, such as metallic or bitter taste, difficulty thinking, and changes in personality. Recommendations included improving the ventilation system, changing work practices to reduce mercury exposure, and providing training and communication tailored to the worker. As the electronic waste recycling industry continues to grow, it is important for employers to evaluate mercury exposure and safeguard employees using a hierarchy of controls. Health departments should consider monitoring occupational mercury exposure in recycling facilities, and clinicians should be aware of the potential for mercury toxicity among workers in these settings.

求助全文
通过发布文献求助,成功后即可免费获取论文全文。 去求助
来源期刊
MMWR. Morbidity and mortality weekly report
MMWR. Morbidity and mortality weekly report PUBLIC, ENVIRONMENTAL & OCCUPATIONAL HEALTH -
CiteScore
65.40
自引率
0.90%
发文量
309
期刊介绍: The Morbidity and Mortality Weekly Report (MMWR ) series is prepared by the Centers for Disease Control and Prevention (CDC). Often called “the voice of CDC,” the MMWR series is the agency’s primary vehicle for scientific publication of timely, reliable, authoritative, accurate, objective, and useful public health information and recommendations. MMWR readership predominantly consists of physicians, nurses, public health practitioners, epidemiologists and other scientists, researchers, educators, and laboratorians.
×
引用
GB/T 7714-2015
复制
MLA
复制
APA
复制
导出至
BibTeX EndNote RefMan NoteFirst NoteExpress
×
提示
您的信息不完整,为了账户安全,请先补充。
现在去补充
×
提示
您因"违规操作"
具体请查看互助需知
我知道了
×
提示
确定
请完成安全验证×
copy
已复制链接
快去分享给好友吧!
我知道了
右上角分享
点击右上角分享
0
联系我们:info@booksci.cn Book学术提供免费学术资源搜索服务,方便国内外学者检索中英文文献。致力于提供最便捷和优质的服务体验。 Copyright © 2023 布克学术 All rights reserved.
京ICP备2023020795号-1
ghs 京公网安备 11010802042870号
Book学术文献互助
Book学术文献互助群
群 号:604180095
Book学术官方微信