儿童髓鞘少突胶质细胞糖蛋白抗体相关疾病复发的表型

IF 3.1 3区 医学 Q2 CLINICAL NEUROLOGY
Ji Yeon Han, Soo Yeon Kim, Woojoong Kim, Hunmin Kim, Anna Cho, Jieun Choi, Jong-Hee Chae, Ki Joong Kim, Young Se Kwon, Il Han Yoo, Byung Chan Lim
{"title":"儿童髓鞘少突胶质细胞糖蛋白抗体相关疾病复发的表型","authors":"Ji Yeon Han, Soo Yeon Kim, Woojoong Kim, Hunmin Kim, Anna Cho, Jieun Choi, Jong-Hee Chae, Ki Joong Kim, Young Se Kwon, Il Han Yoo, Byung Chan Lim","doi":"10.3988/jcn.2024.0276","DOIUrl":null,"url":null,"abstract":"<p><strong>Background and purpose: </strong>To determine the clinical phenotypes, relapse timing, treatment responses, and outcomes of children with relapsing myelin oligodendrocyte glycoprotein antibody-associated disease (MOGAD).</p><p><strong>Methods: </strong>We collected the demographic, clinical, laboratory, and radiological data of patients aged <18 years who had been diagnosed with MOGAD at Seoul National University Children's Hospital between January 2010 and January 2022; 100 were identified as positive for MOG antibodies, 43 of whom experienced relapse.</p><p><strong>Results: </strong>The median age at onset was 7 years (range 2-16 years). The median number of relapses was 2 (range 1-8), and patients were followed up for a median of 65 months (range 5-214 months). The first relapse was experienced before 3 months from onset by 15 patients (34.9%). The most-common initial phenotypes were acute disseminated encephalomyelitis (<i>n</i>=17, 39.5%) and optic neuritis (ON; <i>n</i>=11, 25.6%). The most-common relapse phenotypes were neuromyelitis optica spectrum disorder (<i>n</i>=9, 20.9%), relapsing ON (<i>n</i>=6, 14.0%), and multiphasic disseminated encephalomyelitis (<i>n</i>=6, 14.0%). Many of the patients (<i>n</i>=18, 41.9%) were not specifically categorized. A high proportion of these patients had non-acute disseminated encephalomyelitis encephalitis. Atypical phenotypes such as prolonged fever or hemiplegic migraine-like episodes were also noted. Mycophenolate mofetil and cyclic immunoglobulin treatment significantly reduced the annual relapse rates.</p><p><strong>Conclusions: </strong>Our 43 pediatric patients with relapsing MOGAD showed a tendency toward early relapse and various relapse phenotypes. The overall prognoses of these patients were good regardless of phenotype or response to second-line immunosuppressant treatment.</p>","PeriodicalId":15432,"journal":{"name":"Journal of Clinical Neurology","volume":"21 1","pages":"65-73"},"PeriodicalIF":3.1000,"publicationDate":"2025-01-01","publicationTypes":"Journal Article","fieldsOfStudy":null,"isOpenAccess":false,"openAccessPdf":"https://www.ncbi.nlm.nih.gov/pmc/articles/PMC11711267/pdf/","citationCount":"0","resultStr":"{\"title\":\"Phenotype of Relapsing Myelin Oligodendrocyte Glycoprotein Antibody-Associated Disease in Children.\",\"authors\":\"Ji Yeon Han, Soo Yeon Kim, Woojoong Kim, Hunmin Kim, Anna Cho, Jieun Choi, Jong-Hee Chae, Ki Joong Kim, Young Se Kwon, Il Han Yoo, Byung Chan Lim\",\"doi\":\"10.3988/jcn.2024.0276\",\"DOIUrl\":null,\"url\":null,\"abstract\":\"<p><strong>Background and purpose: </strong>To determine the clinical phenotypes, relapse timing, treatment responses, and outcomes of children with relapsing myelin oligodendrocyte glycoprotein antibody-associated disease (MOGAD).</p><p><strong>Methods: </strong>We collected the demographic, clinical, laboratory, and radiological data of patients aged <18 years who had been diagnosed with MOGAD at Seoul National University Children's Hospital between January 2010 and January 2022; 100 were identified as positive for MOG antibodies, 43 of whom experienced relapse.</p><p><strong>Results: </strong>The median age at onset was 7 years (range 2-16 years). The median number of relapses was 2 (range 1-8), and patients were followed up for a median of 65 months (range 5-214 months). The first relapse was experienced before 3 months from onset by 15 patients (34.9%). The most-common initial phenotypes were acute disseminated encephalomyelitis (<i>n</i>=17, 39.5%) and optic neuritis (ON; <i>n</i>=11, 25.6%). The most-common relapse phenotypes were neuromyelitis optica spectrum disorder (<i>n</i>=9, 20.9%), relapsing ON (<i>n</i>=6, 14.0%), and multiphasic disseminated encephalomyelitis (<i>n</i>=6, 14.0%). Many of the patients (<i>n</i>=18, 41.9%) were not specifically categorized. A high proportion of these patients had non-acute disseminated encephalomyelitis encephalitis. Atypical phenotypes such as prolonged fever or hemiplegic migraine-like episodes were also noted. Mycophenolate mofetil and cyclic immunoglobulin treatment significantly reduced the annual relapse rates.</p><p><strong>Conclusions: </strong>Our 43 pediatric patients with relapsing MOGAD showed a tendency toward early relapse and various relapse phenotypes. The overall prognoses of these patients were good regardless of phenotype or response to second-line immunosuppressant treatment.</p>\",\"PeriodicalId\":15432,\"journal\":{\"name\":\"Journal of Clinical Neurology\",\"volume\":\"21 1\",\"pages\":\"65-73\"},\"PeriodicalIF\":3.1000,\"publicationDate\":\"2025-01-01\",\"publicationTypes\":\"Journal Article\",\"fieldsOfStudy\":null,\"isOpenAccess\":false,\"openAccessPdf\":\"https://www.ncbi.nlm.nih.gov/pmc/articles/PMC11711267/pdf/\",\"citationCount\":\"0\",\"resultStr\":null,\"platform\":\"Semanticscholar\",\"paperid\":null,\"PeriodicalName\":\"Journal of Clinical Neurology\",\"FirstCategoryId\":\"3\",\"ListUrlMain\":\"https://doi.org/10.3988/jcn.2024.0276\",\"RegionNum\":3,\"RegionCategory\":\"医学\",\"ArticlePicture\":[],\"TitleCN\":null,\"AbstractTextCN\":null,\"PMCID\":null,\"EPubDate\":\"\",\"PubModel\":\"\",\"JCR\":\"Q2\",\"JCRName\":\"CLINICAL NEUROLOGY\",\"Score\":null,\"Total\":0}","platform":"Semanticscholar","paperid":null,"PeriodicalName":"Journal of Clinical Neurology","FirstCategoryId":"3","ListUrlMain":"https://doi.org/10.3988/jcn.2024.0276","RegionNum":3,"RegionCategory":"医学","ArticlePicture":[],"TitleCN":null,"AbstractTextCN":null,"PMCID":null,"EPubDate":"","PubModel":"","JCR":"Q2","JCRName":"CLINICAL NEUROLOGY","Score":null,"Total":0}
引用次数: 0

摘要

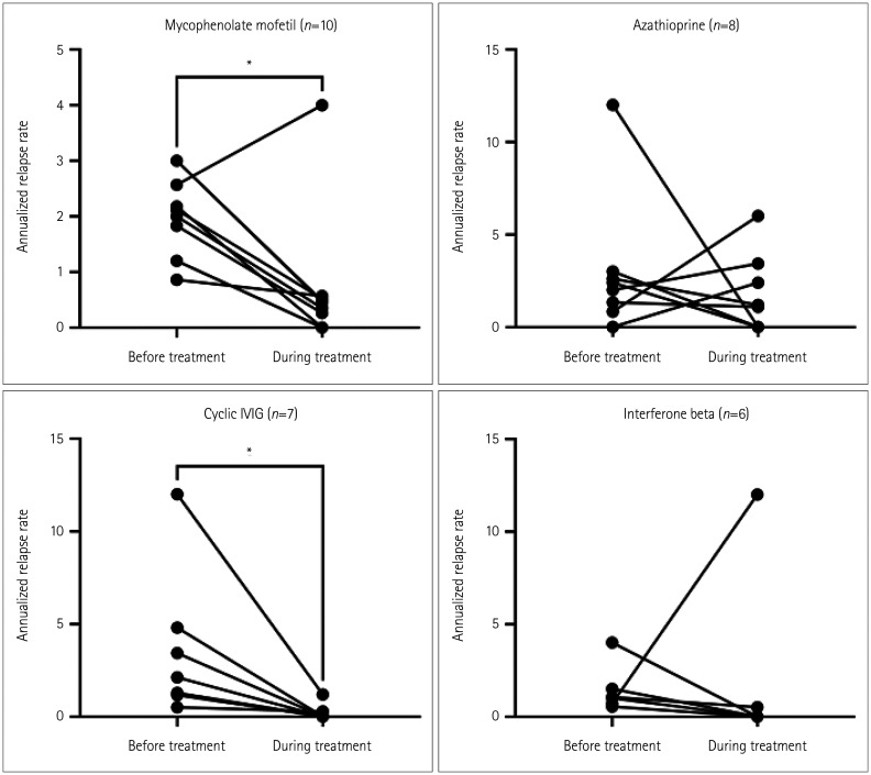
背景和目的:确定复发性髓鞘少突胶质细胞糖蛋白抗体相关疾病(MOGAD)患儿的临床表型、复发时间、治疗反应和结局。方法:收集老年患者的人口学、临床、实验室和放射学资料。结果:发病年龄中位数为7岁(范围2-16岁)。中位复发次数为2次(范围1-8次),患者的中位随访时间为65个月(范围5-214个月)。发病3个月前复发15例(34.9%)。最常见的初始表型是急性播散性脑脊髓炎(n=17, 39.5%)和视神经炎(ON;n = 11, 25.6%)。最常见的复发表型为视神经脊髓炎谱系障碍(n=9, 20.9%)、复发性ON (n=6, 14.0%)和多相播散性脑脊髓炎(n=6, 14.0%)。许多患者(n=18, 41.9%)未被明确分类。这些患者中有很大一部分患有非急性播散性脑脊髓炎。非典型表型,如长时间发热或偏瘫偏头痛样发作也被注意到。霉酚酸酯和环免疫球蛋白治疗可显著降低年复发率。结论:43例小儿复发性MOGAD患者表现出早期复发的趋势和多种复发表型。无论表型或对二线免疫抑制剂治疗的反应如何,这些患者的总体预后都很好。
本文章由计算机程序翻译,如有差异,请以英文原文为准。

Phenotype of Relapsing Myelin Oligodendrocyte Glycoprotein Antibody-Associated Disease in Children.

Phenotype of Relapsing Myelin Oligodendrocyte Glycoprotein Antibody-Associated Disease in Children.

Phenotype of Relapsing Myelin Oligodendrocyte Glycoprotein Antibody-Associated Disease in Children.

Phenotype of Relapsing Myelin Oligodendrocyte Glycoprotein Antibody-Associated Disease in Children.

Background and purpose: To determine the clinical phenotypes, relapse timing, treatment responses, and outcomes of children with relapsing myelin oligodendrocyte glycoprotein antibody-associated disease (MOGAD).

Methods: We collected the demographic, clinical, laboratory, and radiological data of patients aged <18 years who had been diagnosed with MOGAD at Seoul National University Children's Hospital between January 2010 and January 2022; 100 were identified as positive for MOG antibodies, 43 of whom experienced relapse.

Results: The median age at onset was 7 years (range 2-16 years). The median number of relapses was 2 (range 1-8), and patients were followed up for a median of 65 months (range 5-214 months). The first relapse was experienced before 3 months from onset by 15 patients (34.9%). The most-common initial phenotypes were acute disseminated encephalomyelitis (n=17, 39.5%) and optic neuritis (ON; n=11, 25.6%). The most-common relapse phenotypes were neuromyelitis optica spectrum disorder (n=9, 20.9%), relapsing ON (n=6, 14.0%), and multiphasic disseminated encephalomyelitis (n=6, 14.0%). Many of the patients (n=18, 41.9%) were not specifically categorized. A high proportion of these patients had non-acute disseminated encephalomyelitis encephalitis. Atypical phenotypes such as prolonged fever or hemiplegic migraine-like episodes were also noted. Mycophenolate mofetil and cyclic immunoglobulin treatment significantly reduced the annual relapse rates.

Conclusions: Our 43 pediatric patients with relapsing MOGAD showed a tendency toward early relapse and various relapse phenotypes. The overall prognoses of these patients were good regardless of phenotype or response to second-line immunosuppressant treatment.

求助全文
通过发布文献求助,成功后即可免费获取论文全文。 去求助
来源期刊
Journal of Clinical Neurology
Journal of Clinical Neurology 医学-临床神经学
CiteScore
4.50
自引率
6.50%
发文量
0
审稿时长
>12 weeks
期刊介绍: The JCN aims to publish the cutting-edge research from around the world. The JCN covers clinical and translational research for physicians and researchers in the field of neurology. Encompassing the entire neurological diseases, our main focus is on the common disorders including stroke, epilepsy, Parkinson''s disease, dementia, multiple sclerosis, headache, and peripheral neuropathy. Any authors affiliated with an accredited biomedical institution may submit manuscripts of original articles, review articles, and letters to the editor. The JCN will allow clinical neurologists to enrich their knowledge of patient management, education, and clinical or experimental research, and hence their professionalism.
×
引用
GB/T 7714-2015
复制
MLA
复制
APA
复制
导出至
BibTeX EndNote RefMan NoteFirst NoteExpress
×
提示
您的信息不完整,为了账户安全,请先补充。
现在去补充
×
提示
您因"违规操作"
具体请查看互助需知
我知道了
×
提示
确定
请完成安全验证×
copy
已复制链接
快去分享给好友吧!
我知道了
右上角分享
点击右上角分享
0
联系我们:info@booksci.cn Book学术提供免费学术资源搜索服务,方便国内外学者检索中英文文献。致力于提供最便捷和优质的服务体验。 Copyright © 2023 布克学术 All rights reserved.
京ICP备2023020795号-1
ghs 京公网安备 11010802042870号
Book学术文献互助
Book学术文献互助群
群 号:604180095
Book学术官方微信