涉及复杂人类特征的一些常见催产素受体snp的功能意义。

IF 2.7 3区 生物学 Q4 CELL BIOLOGY
Suk Ling Ma, Michael Thomas Bowen, Mark R Dadds
{"title":"涉及复杂人类特征的一些常见催产素受体snp的功能意义。","authors":"Suk Ling Ma, Michael Thomas Bowen, Mark R Dadds","doi":"10.1186/s12860-024-00529-1","DOIUrl":null,"url":null,"abstract":"<p><strong>Background: </strong>Oxytocin function is associated with a range of human traits and is often indexed by common polymorphisms of the receptor gene OXTR. Little is known however about the functional significance of these polymorphisms.</p><p><strong>Objectives: </strong>To examine the effects of common polymorphisms of OXTR on transcription expression in human neural cells.</p><p><strong>Method: </strong>The impact of four common OXTR SNPs (rs1042778, rs4686302, rs2254298 and rs237887) on OXTR gene expression were tested in human neuroblastoma cell line, SH-SY5Y, a commonly used cell line for neurological disease. SNPs were chosen as having robust evidence for associations with complex human traits after consideration of linkage patterns across OXTR.</p><p><strong>Results: </strong>The expression level of GG genotype of rs1042778 was significantly lower than TT genotypes. None of the other SNPs were related to functional transcription.</p><p><strong>Conclusions: </strong>OXTR polymorphisms showing robust associations with complex human traits are not reliably associated with changes in transcription of OXTR. Increasing cooperation between behavioral and biological scientists is needed to bridge the gap between human trait and functional biological studies to improve our understanding of oxytocin and other important mammalian neuroendocrine processes.</p>","PeriodicalId":9099,"journal":{"name":"BMC Molecular and Cell Biology","volume":"26 1","pages":"3"},"PeriodicalIF":2.7000,"publicationDate":"2025-01-06","publicationTypes":"Journal Article","fieldsOfStudy":null,"isOpenAccess":false,"openAccessPdf":"https://www.ncbi.nlm.nih.gov/pmc/articles/PMC11705901/pdf/","citationCount":"0","resultStr":"{\"title\":\"Functional significance of some common oxytocin receptor SNPs involved in complex human traits.\",\"authors\":\"Suk Ling Ma, Michael Thomas Bowen, Mark R Dadds\",\"doi\":\"10.1186/s12860-024-00529-1\",\"DOIUrl\":null,\"url\":null,\"abstract\":\"<p><strong>Background: </strong>Oxytocin function is associated with a range of human traits and is often indexed by common polymorphisms of the receptor gene OXTR. Little is known however about the functional significance of these polymorphisms.</p><p><strong>Objectives: </strong>To examine the effects of common polymorphisms of OXTR on transcription expression in human neural cells.</p><p><strong>Method: </strong>The impact of four common OXTR SNPs (rs1042778, rs4686302, rs2254298 and rs237887) on OXTR gene expression were tested in human neuroblastoma cell line, SH-SY5Y, a commonly used cell line for neurological disease. SNPs were chosen as having robust evidence for associations with complex human traits after consideration of linkage patterns across OXTR.</p><p><strong>Results: </strong>The expression level of GG genotype of rs1042778 was significantly lower than TT genotypes. None of the other SNPs were related to functional transcription.</p><p><strong>Conclusions: </strong>OXTR polymorphisms showing robust associations with complex human traits are not reliably associated with changes in transcription of OXTR. Increasing cooperation between behavioral and biological scientists is needed to bridge the gap between human trait and functional biological studies to improve our understanding of oxytocin and other important mammalian neuroendocrine processes.</p>\",\"PeriodicalId\":9099,\"journal\":{\"name\":\"BMC Molecular and Cell Biology\",\"volume\":\"26 1\",\"pages\":\"3\"},\"PeriodicalIF\":2.7000,\"publicationDate\":\"2025-01-06\",\"publicationTypes\":\"Journal Article\",\"fieldsOfStudy\":null,\"isOpenAccess\":false,\"openAccessPdf\":\"https://www.ncbi.nlm.nih.gov/pmc/articles/PMC11705901/pdf/\",\"citationCount\":\"0\",\"resultStr\":null,\"platform\":\"Semanticscholar\",\"paperid\":null,\"PeriodicalName\":\"BMC Molecular and Cell Biology\",\"FirstCategoryId\":\"3\",\"ListUrlMain\":\"https://doi.org/10.1186/s12860-024-00529-1\",\"RegionNum\":3,\"RegionCategory\":\"生物学\",\"ArticlePicture\":[],\"TitleCN\":null,\"AbstractTextCN\":null,\"PMCID\":null,\"EPubDate\":\"\",\"PubModel\":\"\",\"JCR\":\"Q4\",\"JCRName\":\"CELL BIOLOGY\",\"Score\":null,\"Total\":0}","platform":"Semanticscholar","paperid":null,"PeriodicalName":"BMC Molecular and Cell Biology","FirstCategoryId":"3","ListUrlMain":"https://doi.org/10.1186/s12860-024-00529-1","RegionNum":3,"RegionCategory":"生物学","ArticlePicture":[],"TitleCN":null,"AbstractTextCN":null,"PMCID":null,"EPubDate":"","PubModel":"","JCR":"Q4","JCRName":"CELL BIOLOGY","Score":null,"Total":0}
引用次数: 0

摘要

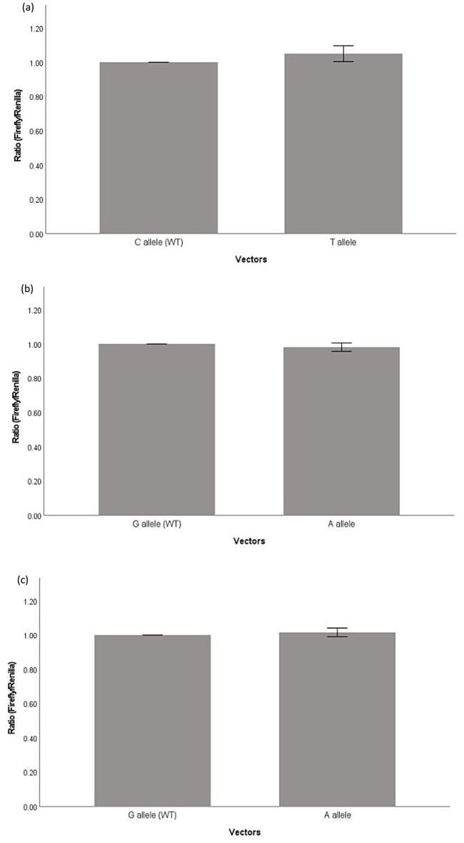
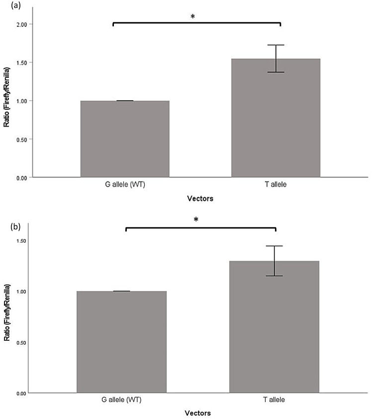
背景:催产素功能与一系列人类特征相关,通常由受体基因OXTR的常见多态性来指示。然而,人们对这些多态性的功能意义知之甚少。目的:探讨OXTR基因常见多态性对人神经细胞转录表达的影响。方法:在神经系统疾病常用细胞系SH-SY5Y中检测4种常见的OXTR snp (rs1042778、rs4686302、rs2254298和rs237887)对OXTR基因表达的影响。在考虑了跨OXTR的连锁模式后,选择snp作为与复杂人类特征相关的有力证据。结果:rs1042778的GG基因型表达量明显低于TT基因型。其他snp均与功能性转录无关。结论:与人类复杂性状密切相关的OXTR多态性与OXTR转录的变化并不可靠。行为和生物学科学家之间需要加强合作,以弥合人类特征和功能生物学研究之间的差距,从而提高我们对催产素和其他重要哺乳动物神经内分泌过程的理解。
本文章由计算机程序翻译,如有差异,请以英文原文为准。

Functional significance of some common oxytocin receptor SNPs involved in complex human traits.

Functional significance of some common oxytocin receptor SNPs involved in complex human traits.

Functional significance of some common oxytocin receptor SNPs involved in complex human traits.

Functional significance of some common oxytocin receptor SNPs involved in complex human traits.

Background: Oxytocin function is associated with a range of human traits and is often indexed by common polymorphisms of the receptor gene OXTR. Little is known however about the functional significance of these polymorphisms.

Objectives: To examine the effects of common polymorphisms of OXTR on transcription expression in human neural cells.

Method: The impact of four common OXTR SNPs (rs1042778, rs4686302, rs2254298 and rs237887) on OXTR gene expression were tested in human neuroblastoma cell line, SH-SY5Y, a commonly used cell line for neurological disease. SNPs were chosen as having robust evidence for associations with complex human traits after consideration of linkage patterns across OXTR.

Results: The expression level of GG genotype of rs1042778 was significantly lower than TT genotypes. None of the other SNPs were related to functional transcription.

Conclusions: OXTR polymorphisms showing robust associations with complex human traits are not reliably associated with changes in transcription of OXTR. Increasing cooperation between behavioral and biological scientists is needed to bridge the gap between human trait and functional biological studies to improve our understanding of oxytocin and other important mammalian neuroendocrine processes.

求助全文
通过发布文献求助,成功后即可免费获取论文全文。 去求助
来源期刊
BMC Molecular and Cell Biology
BMC Molecular and Cell Biology Biochemistry, Genetics and Molecular Biology-Cell Biology
CiteScore
5.50
自引率
0.00%
发文量
46
审稿时长
27 weeks
×
引用
GB/T 7714-2015
复制
MLA
复制
APA
复制
导出至
BibTeX EndNote RefMan NoteFirst NoteExpress
×
提示
您的信息不完整,为了账户安全,请先补充。
现在去补充
×
提示
您因"违规操作"
具体请查看互助需知
我知道了
×
提示
确定
请完成安全验证×
copy
已复制链接
快去分享给好友吧!
我知道了
右上角分享
点击右上角分享
0
联系我们:info@booksci.cn Book学术提供免费学术资源搜索服务,方便国内外学者检索中英文文献。致力于提供最便捷和优质的服务体验。 Copyright © 2023 布克学术 All rights reserved.
京ICP备2023020795号-1
ghs 京公网安备 11010802042870号
Book学术文献互助
Book学术文献互助群
群 号:604180095
Book学术官方微信