利用协变量分析和单块对主要组织相容性复合体遗传关联进行深入分析,揭示了艾滋病精英控制分子病因学的新机制。

IF 2.7 4区 医学 Q3 IMMUNOLOGY
Myriam Rahmouni, Sigrid Le Clerc, Jean-Louis Spadoni, Taoufik Labib, Maxime Tison, Raissa Medina-Santos, Armand Bensussan, Ryad Tamouza, Jean-François Deleuze, Jean-François Zagury
{"title":"利用协变量分析和单块对主要组织相容性复合体遗传关联进行深入分析,揭示了艾滋病精英控制分子病因学的新机制。","authors":"Myriam Rahmouni, Sigrid Le Clerc, Jean-Louis Spadoni, Taoufik Labib, Maxime Tison, Raissa Medina-Santos, Armand Bensussan, Ryad Tamouza, Jean-François Deleuze, Jean-François Zagury","doi":"10.1186/s12865-024-00680-6","DOIUrl":null,"url":null,"abstract":"<p><strong>Introduction: </strong>We have reanalyzed the genomic data from the International Collaboration for the Genomics of HIV (ICGH), focusing on HIV-1 Elite Controllers (EC).</p><p><strong>Methods: </strong>A genome-wide association study (GWAS) was performed, comparing 543 HIV-1 EC individuals with 3,272 uninfected controls (CTR) of European ancestry. 8 million single nucleotide polymorphisms (SNPs) and HLA class I and class II gene alleles were imputed to compare EC and CTR.</p><p><strong>Results: </strong>Two thousand six hundred twenty-six SNPs were associated with EC (p<5.10-8), all located within the Major Histocompatibility Complex (MHC) region. Stepwise regression analysis narrowed this list to 17 SNPs. In parallel, 22 HLA class I and II alleles were associated with EC. Through meticulous mapping of the LD between all identified signals and employing reciprocal covariate analyses, we delineated a final set of 6 independent SNPs and 3 HLA class I gene alleles that accounted for most of the associations observed with EC. Our study revealed the presence of cumulative haploblock effects (SNP rs9264942 contributing to the HLA-B*57:01 effect) and that several HLA allele associations were in fact caused by SNPs in linkage disequilibrium (LD). Upon investigating SNPs in LD with the selected 6 SNPs and 3 HLA class I alleles for their impact on protein function (either damaging or differential expression), we identified several compelling mechanisms potentially explaining EC among which: a multi-action mechanism of HLA-B*57:01 involving MICA mutations and MICB differential expression overcoming the HIV-1 blockade of NK cell response, and overexpression of ZBTB12 with a possible anti-HIV-1 effect through HERV-K interference; a deleterious mutation in PPP1R18 favoring viral budding associated with rs1233396.</p><p><strong>Conclusion: </strong>Our results show that MHC influence on EC likely extends beyond traditional HLA class I or class II allele associations, encompassing other MHC SNPs with various biological impacts. They point to the key role of NK cells in preventing HIV-1 infection. Our analysis shows that HLA-B*57:01 is indeed associated with partially functional MICA/MICB proteins which could also explain this marker's involvement in other diseases such as psoriasis. More broadly, our findings suggest that within any HLA class I and II association in diseases, there may exist distinct causal SNPs within this crucial, gene-rich, and LD-rich MHC region.</p>","PeriodicalId":9040,"journal":{"name":"BMC Immunology","volume":"26 1","pages":"1"},"PeriodicalIF":2.7000,"publicationDate":"2025-01-06","publicationTypes":"Journal Article","fieldsOfStudy":null,"isOpenAccess":false,"openAccessPdf":"https://www.ncbi.nlm.nih.gov/pmc/articles/PMC11702083/pdf/","citationCount":"0","resultStr":"{\"title\":\"Deep analysis of the major histocompatibility complex genetic associations using covariate analysis and haploblocks unravels new mechanisms for the molecular etiology of Elite Control in AIDS.\",\"authors\":\"Myriam Rahmouni, Sigrid Le Clerc, Jean-Louis Spadoni, Taoufik Labib, Maxime Tison, Raissa Medina-Santos, Armand Bensussan, Ryad Tamouza, Jean-François Deleuze, Jean-François Zagury\",\"doi\":\"10.1186/s12865-024-00680-6\",\"DOIUrl\":null,\"url\":null,\"abstract\":\"<p><strong>Introduction: </strong>We have reanalyzed the genomic data from the International Collaboration for the Genomics of HIV (ICGH), focusing on HIV-1 Elite Controllers (EC).</p><p><strong>Methods: </strong>A genome-wide association study (GWAS) was performed, comparing 543 HIV-1 EC individuals with 3,272 uninfected controls (CTR) of European ancestry. 8 million single nucleotide polymorphisms (SNPs) and HLA class I and class II gene alleles were imputed to compare EC and CTR.</p><p><strong>Results: </strong>Two thousand six hundred twenty-six SNPs were associated with EC (p<5.10-8), all located within the Major Histocompatibility Complex (MHC) region. Stepwise regression analysis narrowed this list to 17 SNPs. In parallel, 22 HLA class I and II alleles were associated with EC. Through meticulous mapping of the LD between all identified signals and employing reciprocal covariate analyses, we delineated a final set of 6 independent SNPs and 3 HLA class I gene alleles that accounted for most of the associations observed with EC. Our study revealed the presence of cumulative haploblock effects (SNP rs9264942 contributing to the HLA-B*57:01 effect) and that several HLA allele associations were in fact caused by SNPs in linkage disequilibrium (LD). Upon investigating SNPs in LD with the selected 6 SNPs and 3 HLA class I alleles for their impact on protein function (either damaging or differential expression), we identified several compelling mechanisms potentially explaining EC among which: a multi-action mechanism of HLA-B*57:01 involving MICA mutations and MICB differential expression overcoming the HIV-1 blockade of NK cell response, and overexpression of ZBTB12 with a possible anti-HIV-1 effect through HERV-K interference; a deleterious mutation in PPP1R18 favoring viral budding associated with rs1233396.</p><p><strong>Conclusion: </strong>Our results show that MHC influence on EC likely extends beyond traditional HLA class I or class II allele associations, encompassing other MHC SNPs with various biological impacts. They point to the key role of NK cells in preventing HIV-1 infection. Our analysis shows that HLA-B*57:01 is indeed associated with partially functional MICA/MICB proteins which could also explain this marker's involvement in other diseases such as psoriasis. More broadly, our findings suggest that within any HLA class I and II association in diseases, there may exist distinct causal SNPs within this crucial, gene-rich, and LD-rich MHC region.</p>\",\"PeriodicalId\":9040,\"journal\":{\"name\":\"BMC Immunology\",\"volume\":\"26 1\",\"pages\":\"1\"},\"PeriodicalIF\":2.7000,\"publicationDate\":\"2025-01-06\",\"publicationTypes\":\"Journal Article\",\"fieldsOfStudy\":null,\"isOpenAccess\":false,\"openAccessPdf\":\"https://www.ncbi.nlm.nih.gov/pmc/articles/PMC11702083/pdf/\",\"citationCount\":\"0\",\"resultStr\":null,\"platform\":\"Semanticscholar\",\"paperid\":null,\"PeriodicalName\":\"BMC Immunology\",\"FirstCategoryId\":\"3\",\"ListUrlMain\":\"https://doi.org/10.1186/s12865-024-00680-6\",\"RegionNum\":4,\"RegionCategory\":\"医学\",\"ArticlePicture\":[],\"TitleCN\":null,\"AbstractTextCN\":null,\"PMCID\":null,\"EPubDate\":\"\",\"PubModel\":\"\",\"JCR\":\"Q3\",\"JCRName\":\"IMMUNOLOGY\",\"Score\":null,\"Total\":0}","platform":"Semanticscholar","paperid":null,"PeriodicalName":"BMC Immunology","FirstCategoryId":"3","ListUrlMain":"https://doi.org/10.1186/s12865-024-00680-6","RegionNum":4,"RegionCategory":"医学","ArticlePicture":[],"TitleCN":null,"AbstractTextCN":null,"PMCID":null,"EPubDate":"","PubModel":"","JCR":"Q3","JCRName":"IMMUNOLOGY","Score":null,"Total":0}
引用次数: 0

摘要

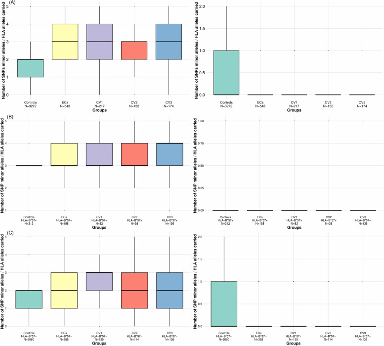
我们重新分析了来自国际HIV基因组合作组织(ICGH)的基因组数据,重点分析了HIV-1精英控制者(EC)。方法:进行了一项全基因组关联研究(GWAS),比较了543名HIV-1 EC个体和3272名欧洲血统的未感染对照组(CTR)。统计了800万个单核苷酸多态性(snp)和HLA I类和II类基因等位基因,比较了EC和CTR。结论:我们的研究结果表明MHC对EC的影响可能超出了传统的HLA I类或II类等位基因关联,包括其他具有各种生物学影响的MHC snp。他们指出NK细胞在预防HIV-1感染中的关键作用。我们的分析表明HLA-B*57:01确实与部分功能MICA/MICB蛋白相关,这也可以解释该标记物在银屑病等其他疾病中的作用。更广泛地说,我们的研究结果表明,在疾病的任何HLA I类和II类关联中,在这个关键的、基因丰富的和ld丰富的MHC区域可能存在不同的因果snp。
本文章由计算机程序翻译,如有差异,请以英文原文为准。

Deep analysis of the major histocompatibility complex genetic associations using covariate analysis and haploblocks unravels new mechanisms for the molecular etiology of Elite Control in AIDS.

Deep analysis of the major histocompatibility complex genetic associations using covariate analysis and haploblocks unravels new mechanisms for the molecular etiology of Elite Control in AIDS.

Deep analysis of the major histocompatibility complex genetic associations using covariate analysis and haploblocks unravels new mechanisms for the molecular etiology of Elite Control in AIDS.

Deep analysis of the major histocompatibility complex genetic associations using covariate analysis and haploblocks unravels new mechanisms for the molecular etiology of Elite Control in AIDS.

Introduction: We have reanalyzed the genomic data from the International Collaboration for the Genomics of HIV (ICGH), focusing on HIV-1 Elite Controllers (EC).

Methods: A genome-wide association study (GWAS) was performed, comparing 543 HIV-1 EC individuals with 3,272 uninfected controls (CTR) of European ancestry. 8 million single nucleotide polymorphisms (SNPs) and HLA class I and class II gene alleles were imputed to compare EC and CTR.

Results: Two thousand six hundred twenty-six SNPs were associated with EC (p<5.10-8), all located within the Major Histocompatibility Complex (MHC) region. Stepwise regression analysis narrowed this list to 17 SNPs. In parallel, 22 HLA class I and II alleles were associated with EC. Through meticulous mapping of the LD between all identified signals and employing reciprocal covariate analyses, we delineated a final set of 6 independent SNPs and 3 HLA class I gene alleles that accounted for most of the associations observed with EC. Our study revealed the presence of cumulative haploblock effects (SNP rs9264942 contributing to the HLA-B*57:01 effect) and that several HLA allele associations were in fact caused by SNPs in linkage disequilibrium (LD). Upon investigating SNPs in LD with the selected 6 SNPs and 3 HLA class I alleles for their impact on protein function (either damaging or differential expression), we identified several compelling mechanisms potentially explaining EC among which: a multi-action mechanism of HLA-B*57:01 involving MICA mutations and MICB differential expression overcoming the HIV-1 blockade of NK cell response, and overexpression of ZBTB12 with a possible anti-HIV-1 effect through HERV-K interference; a deleterious mutation in PPP1R18 favoring viral budding associated with rs1233396.

Conclusion: Our results show that MHC influence on EC likely extends beyond traditional HLA class I or class II allele associations, encompassing other MHC SNPs with various biological impacts. They point to the key role of NK cells in preventing HIV-1 infection. Our analysis shows that HLA-B*57:01 is indeed associated with partially functional MICA/MICB proteins which could also explain this marker's involvement in other diseases such as psoriasis. More broadly, our findings suggest that within any HLA class I and II association in diseases, there may exist distinct causal SNPs within this crucial, gene-rich, and LD-rich MHC region.

求助全文
通过发布文献求助,成功后即可免费获取论文全文。 去求助
来源期刊
BMC Immunology
BMC Immunology 医学-免疫学
CiteScore
5.50
自引率
0.00%
发文量
54
审稿时长
1 months
期刊介绍: BMC Immunology is an open access journal publishing original peer-reviewed research articles in molecular, cellular, tissue-level, organismal, functional, and developmental aspects of the immune system as well as clinical studies and animal models of human diseases.
×
引用
GB/T 7714-2015
复制
MLA
复制
APA
复制
导出至
BibTeX EndNote RefMan NoteFirst NoteExpress
×
提示
您的信息不完整,为了账户安全,请先补充。
现在去补充
×
提示
您因"违规操作"
具体请查看互助需知
我知道了
×
提示
确定
请完成安全验证×
copy
已复制链接
快去分享给好友吧!
我知道了
右上角分享
点击右上角分享
0
联系我们:info@booksci.cn Book学术提供免费学术资源搜索服务,方便国内外学者检索中英文文献。致力于提供最便捷和优质的服务体验。 Copyright © 2023 布克学术 All rights reserved.
京ICP备2023020795号-1
ghs 京公网安备 11010802042870号
Book学术文献互助
Book学术文献互助群
群 号:604180095
Book学术官方微信