TOMM40可能在衰老过程中介导GFAP、神经丝轻蛋白、pTau181和脑形态计量学。

IF 2.7 Q3 CLINICAL NEUROLOGY
Robyn A. Honea , Heather Wilkins , Suzanne L. Hunt , Paul J. Kueck , Jeffrey M. Burns , Russell H. Swerdlow , Jill K. Morris
{"title":"TOMM40可能在衰老过程中介导GFAP、神经丝轻蛋白、pTau181和脑形态计量学。","authors":"Robyn A. Honea ,&nbsp;Heather Wilkins ,&nbsp;Suzanne L. Hunt ,&nbsp;Paul J. Kueck ,&nbsp;Jeffrey M. Burns ,&nbsp;Russell H. Swerdlow ,&nbsp;Jill K. Morris","doi":"10.1016/j.nbas.2024.100134","DOIUrl":null,"url":null,"abstract":"<div><div>A growing amount of data has implicated the <em>TOMM40</em> gene in the risk for Alzheimer’s disease (AD), neurodegeneration, and accelerated aging. No studies have investigated the relationship of <em>TOMM40</em> rs2075650 (‘650<em>)</em> on the structural complexity of the brain or plasma markers of neurodegeneration. We used a comprehensive approach to quantify the impact of <em>TOMM40</em> ‘650 on brain morphology and multiple cortical attributes in cognitively unimpaired (CU) individuals. We also tested whether the presence of the risk allele, G, of <em>TOMM40</em> ‘650 was associated with plasma markers of amyloid, tau, and neurodegeneration and if there were interactions with age and sex, controlling for the effects of <em>APOE</em> ε4. We found that the <em>TOMM40</em> ‘650 G-allele was associated with decreased sulcal depth, increased gyrification index, and decreased gray matter volume. NfL, GFAP, and pTau181 had independent and age-associated increases in individuals with a G-allele. Our data suggest that <em>TOMM40</em> ‘650 is associated with aging-related plasma biomarkers and brain structure variation in temporal-limbic circuits.</div></div>","PeriodicalId":72131,"journal":{"name":"Aging brain","volume":"7 ","pages":"Article 100134"},"PeriodicalIF":2.7000,"publicationDate":"2025-01-01","publicationTypes":"Journal Article","fieldsOfStudy":null,"isOpenAccess":false,"openAccessPdf":"https://www.ncbi.nlm.nih.gov/pmc/articles/PMC11699468/pdf/","citationCount":"0","resultStr":"{\"title\":\"TOMM40 may mediate GFAP, neurofilament light Protein, pTau181, and brain morphometry in aging\",\"authors\":\"Robyn A. Honea ,&nbsp;Heather Wilkins ,&nbsp;Suzanne L. Hunt ,&nbsp;Paul J. Kueck ,&nbsp;Jeffrey M. Burns ,&nbsp;Russell H. Swerdlow ,&nbsp;Jill K. Morris\",\"doi\":\"10.1016/j.nbas.2024.100134\",\"DOIUrl\":null,\"url\":null,\"abstract\":\"<div><div>A growing amount of data has implicated the <em>TOMM40</em> gene in the risk for Alzheimer’s disease (AD), neurodegeneration, and accelerated aging. No studies have investigated the relationship of <em>TOMM40</em> rs2075650 (‘650<em>)</em> on the structural complexity of the brain or plasma markers of neurodegeneration. We used a comprehensive approach to quantify the impact of <em>TOMM40</em> ‘650 on brain morphology and multiple cortical attributes in cognitively unimpaired (CU) individuals. We also tested whether the presence of the risk allele, G, of <em>TOMM40</em> ‘650 was associated with plasma markers of amyloid, tau, and neurodegeneration and if there were interactions with age and sex, controlling for the effects of <em>APOE</em> ε4. We found that the <em>TOMM40</em> ‘650 G-allele was associated with decreased sulcal depth, increased gyrification index, and decreased gray matter volume. NfL, GFAP, and pTau181 had independent and age-associated increases in individuals with a G-allele. Our data suggest that <em>TOMM40</em> ‘650 is associated with aging-related plasma biomarkers and brain structure variation in temporal-limbic circuits.</div></div>\",\"PeriodicalId\":72131,\"journal\":{\"name\":\"Aging brain\",\"volume\":\"7 \",\"pages\":\"Article 100134\"},\"PeriodicalIF\":2.7000,\"publicationDate\":\"2025-01-01\",\"publicationTypes\":\"Journal Article\",\"fieldsOfStudy\":null,\"isOpenAccess\":false,\"openAccessPdf\":\"https://www.ncbi.nlm.nih.gov/pmc/articles/PMC11699468/pdf/\",\"citationCount\":\"0\",\"resultStr\":null,\"platform\":\"Semanticscholar\",\"paperid\":null,\"PeriodicalName\":\"Aging brain\",\"FirstCategoryId\":\"1085\",\"ListUrlMain\":\"https://www.sciencedirect.com/science/article/pii/S2589958924000306\",\"RegionNum\":0,\"RegionCategory\":null,\"ArticlePicture\":[],\"TitleCN\":null,\"AbstractTextCN\":null,\"PMCID\":null,\"EPubDate\":\"\",\"PubModel\":\"\",\"JCR\":\"Q3\",\"JCRName\":\"CLINICAL NEUROLOGY\",\"Score\":null,\"Total\":0}","platform":"Semanticscholar","paperid":null,"PeriodicalName":"Aging brain","FirstCategoryId":"1085","ListUrlMain":"https://www.sciencedirect.com/science/article/pii/S2589958924000306","RegionNum":0,"RegionCategory":null,"ArticlePicture":[],"TitleCN":null,"AbstractTextCN":null,"PMCID":null,"EPubDate":"","PubModel":"","JCR":"Q3","JCRName":"CLINICAL NEUROLOGY","Score":null,"Total":0}
引用次数: 0

摘要

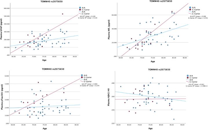
越来越多的数据表明,TOMM40基因与阿尔茨海默病(AD)、神经变性和加速衰老的风险有关。尚未有研究研究TOMM40 rs2075650('650)与脑结构复杂性或神经变性血浆标志物的关系。我们使用了一种综合的方法来量化TOMM40 '650对认知未受损(CU)个体的大脑形态和多种皮质属性的影响。我们还测试了TOMM40 '650的风险等位基因G的存在是否与淀粉样蛋白、tau蛋白和神经变性的血浆标志物相关,以及是否与年龄和性别相互作用,控制APOE ε4的影响。我们发现TOMM40 '650 g等位基因与沟深减小、旋转指数增加和灰质体积减小有关。在携带g等位基因的个体中,NfL、GFAP和pTau181具有独立的和与年龄相关的增加。我们的数据表明TOMM40 '650与衰老相关的血浆生物标志物和颞边缘回路的大脑结构变化有关。
本文章由计算机程序翻译,如有差异,请以英文原文为准。

TOMM40 may mediate GFAP, neurofilament light Protein, pTau181, and brain morphometry in aging

TOMM40 may mediate GFAP, neurofilament light Protein, pTau181, and brain morphometry in aging

TOMM40 may mediate GFAP, neurofilament light Protein, pTau181, and brain morphometry in aging

TOMM40 may mediate GFAP, neurofilament light Protein, pTau181, and brain morphometry in aging
A growing amount of data has implicated the TOMM40 gene in the risk for Alzheimer’s disease (AD), neurodegeneration, and accelerated aging. No studies have investigated the relationship of TOMM40 rs2075650 (‘650) on the structural complexity of the brain or plasma markers of neurodegeneration. We used a comprehensive approach to quantify the impact of TOMM40 ‘650 on brain morphology and multiple cortical attributes in cognitively unimpaired (CU) individuals. We also tested whether the presence of the risk allele, G, of TOMM40 ‘650 was associated with plasma markers of amyloid, tau, and neurodegeneration and if there were interactions with age and sex, controlling for the effects of APOE ε4. We found that the TOMM40 ‘650 G-allele was associated with decreased sulcal depth, increased gyrification index, and decreased gray matter volume. NfL, GFAP, and pTau181 had independent and age-associated increases in individuals with a G-allele. Our data suggest that TOMM40 ‘650 is associated with aging-related plasma biomarkers and brain structure variation in temporal-limbic circuits.
求助全文
通过发布文献求助,成功后即可免费获取论文全文。 去求助
来源期刊
Aging brain
Aging brain Neuroscience (General), Geriatrics and Gerontology
自引率
0.00%
发文量
0
×
引用
GB/T 7714-2015
复制
MLA
复制
APA
复制
导出至
BibTeX EndNote RefMan NoteFirst NoteExpress
×
提示
您的信息不完整,为了账户安全,请先补充。
现在去补充
×
提示
您因"违规操作"
具体请查看互助需知
我知道了
×
提示
确定
请完成安全验证×
copy
已复制链接
快去分享给好友吧!
我知道了
右上角分享
点击右上角分享
0
联系我们:info@booksci.cn Book学术提供免费学术资源搜索服务,方便国内外学者检索中英文文献。致力于提供最便捷和优质的服务体验。 Copyright © 2023 布克学术 All rights reserved.
京ICP备2023020795号-1
ghs 京公网安备 11010802042870号
Book学术文献互助
Book学术文献互助群
群 号:604180095
Book学术官方微信