危险噪音水平对牙科专业人员听力损失和耳鸣的影响。

IF 2.7 4区 医学 Q2 PUBLIC, ENVIRONMENTAL & OCCUPATIONAL HEALTH
Celia Zhang, Andrew Young, Samantha Rodriguez, Karen A Schulze, Bina Surti, Fadi Najem, Jiong Hu
{"title":"危险噪音水平对牙科专业人员听力损失和耳鸣的影响。","authors":"Celia Zhang, Andrew Young, Samantha Rodriguez, Karen A Schulze, Bina Surti, Fadi Najem, Jiong Hu","doi":"10.1186/s12995-024-00447-0","DOIUrl":null,"url":null,"abstract":"<p><strong>Background: </strong>Hazardous noise exposure is an important health concern in many workplaces and is one of the most common work-related injuries in the United States. Dental professionals are frequently exposed to high levels of occupational noise in their daily work environment. This noise is generated by various dental handpieces such as drills, suctions, and ultrasonic scalers. Prolonged exposure to such noise levels is known to have adverse effects on hearing health. Despite the prevalence of occupational noise in dentistry, there is a paucity of research specifically examining the prevalence of hearing loss and tinnitus in dental professionals.</p><p><strong>Methods: </strong>To evaluate the prevalence of hearing loss and tinnitus, data were collected from 60 dental professionals, including participant demographics and audiometric thresholds. Thresholds were compared to the age- and sex-based reference ranges from the International Standards Organization (ISO 7029:2017).</p><p><strong>Results: </strong>Results showed that 15-25% of males and 13-18% of females had hearing thresholds that exceeded 95th percentile limits based on the ISO normative age- and sex-distributions. Tinnitus was reported in 40% of the participants.</p><p><strong>Conclusion: </strong>This study is the first to examine the characteristics and prevalence of auditory dysfunctions in dental professionals compared to the ISO normative age and sex distributions of hearing status. Findings from this study highlight the need for increasing the awareness of occupational noise hazards among dental professionals and the importance of routine audiological monitoring.</p>","PeriodicalId":48903,"journal":{"name":"Journal of Occupational Medicine and Toxicology","volume":"20 1","pages":"1"},"PeriodicalIF":2.7000,"publicationDate":"2025-01-03","publicationTypes":"Journal Article","fieldsOfStudy":null,"isOpenAccess":false,"openAccessPdf":"https://www.ncbi.nlm.nih.gov/pmc/articles/PMC11697800/pdf/","citationCount":"0","resultStr":"{\"title\":\"Impacts of hazardous noise levels on hearing loss and tinnitus in dental professionals.\",\"authors\":\"Celia Zhang, Andrew Young, Samantha Rodriguez, Karen A Schulze, Bina Surti, Fadi Najem, Jiong Hu\",\"doi\":\"10.1186/s12995-024-00447-0\",\"DOIUrl\":null,\"url\":null,\"abstract\":\"<p><strong>Background: </strong>Hazardous noise exposure is an important health concern in many workplaces and is one of the most common work-related injuries in the United States. Dental professionals are frequently exposed to high levels of occupational noise in their daily work environment. This noise is generated by various dental handpieces such as drills, suctions, and ultrasonic scalers. Prolonged exposure to such noise levels is known to have adverse effects on hearing health. Despite the prevalence of occupational noise in dentistry, there is a paucity of research specifically examining the prevalence of hearing loss and tinnitus in dental professionals.</p><p><strong>Methods: </strong>To evaluate the prevalence of hearing loss and tinnitus, data were collected from 60 dental professionals, including participant demographics and audiometric thresholds. Thresholds were compared to the age- and sex-based reference ranges from the International Standards Organization (ISO 7029:2017).</p><p><strong>Results: </strong>Results showed that 15-25% of males and 13-18% of females had hearing thresholds that exceeded 95th percentile limits based on the ISO normative age- and sex-distributions. Tinnitus was reported in 40% of the participants.</p><p><strong>Conclusion: </strong>This study is the first to examine the characteristics and prevalence of auditory dysfunctions in dental professionals compared to the ISO normative age and sex distributions of hearing status. Findings from this study highlight the need for increasing the awareness of occupational noise hazards among dental professionals and the importance of routine audiological monitoring.</p>\",\"PeriodicalId\":48903,\"journal\":{\"name\":\"Journal of Occupational Medicine and Toxicology\",\"volume\":\"20 1\",\"pages\":\"1\"},\"PeriodicalIF\":2.7000,\"publicationDate\":\"2025-01-03\",\"publicationTypes\":\"Journal Article\",\"fieldsOfStudy\":null,\"isOpenAccess\":false,\"openAccessPdf\":\"https://www.ncbi.nlm.nih.gov/pmc/articles/PMC11697800/pdf/\",\"citationCount\":\"0\",\"resultStr\":null,\"platform\":\"Semanticscholar\",\"paperid\":null,\"PeriodicalName\":\"Journal of Occupational Medicine and Toxicology\",\"FirstCategoryId\":\"3\",\"ListUrlMain\":\"https://doi.org/10.1186/s12995-024-00447-0\",\"RegionNum\":4,\"RegionCategory\":\"医学\",\"ArticlePicture\":[],\"TitleCN\":null,\"AbstractTextCN\":null,\"PMCID\":null,\"EPubDate\":\"\",\"PubModel\":\"\",\"JCR\":\"Q2\",\"JCRName\":\"PUBLIC, ENVIRONMENTAL & OCCUPATIONAL HEALTH\",\"Score\":null,\"Total\":0}","platform":"Semanticscholar","paperid":null,"PeriodicalName":"Journal of Occupational Medicine and Toxicology","FirstCategoryId":"3","ListUrlMain":"https://doi.org/10.1186/s12995-024-00447-0","RegionNum":4,"RegionCategory":"医学","ArticlePicture":[],"TitleCN":null,"AbstractTextCN":null,"PMCID":null,"EPubDate":"","PubModel":"","JCR":"Q2","JCRName":"PUBLIC, ENVIRONMENTAL & OCCUPATIONAL HEALTH","Score":null,"Total":0}
引用次数: 0

摘要

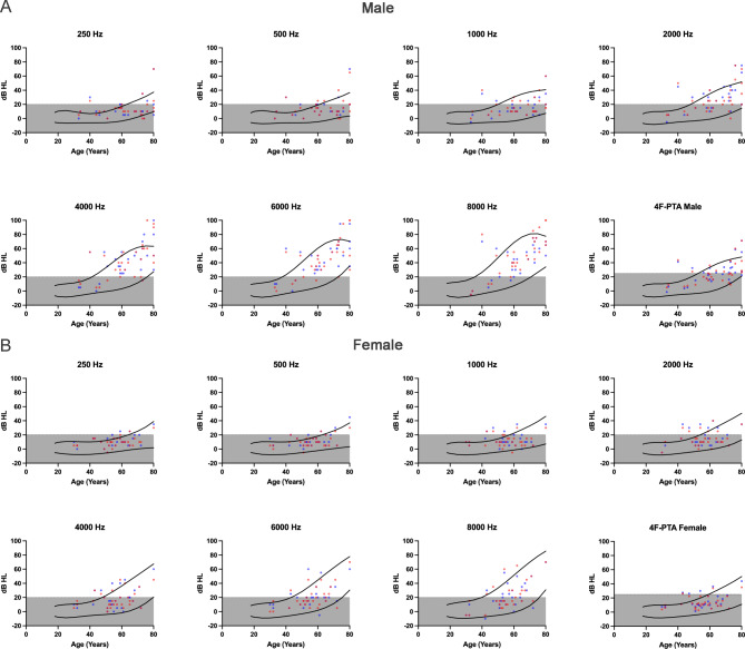
背景:在许多工作场所,接触有害噪音是一个重要的健康问题,也是美国最常见的工伤之一。牙科专业人员在日常工作环境中经常接触到高水平的职业噪音。这种噪音是由各种牙科设备,如钻头、吸盘和超声波秤产生的。众所周知,长期暴露在这种噪音水平下会对听力健康产生不利影响。尽管牙科行业的职业噪音普遍存在,但专门研究牙科专业人员听力损失和耳鸣患病率的研究却很缺乏。方法:为了评估听力损失和耳鸣的患病率,收集了60名牙科专业人员的数据,包括参与者人口统计学和听力阈值。阈值与国际标准组织(ISO 7029:2017)中基于年龄和性别的参考范围进行了比较。结果:结果显示,15-25%的男性和13-18%的女性的听力阈值超过了ISO标准年龄和性别分布的第95百分位限制。40%的参与者报告有耳鸣。结论:本研究首次将牙科专业人员的听力功能障碍的特点和患病率与ISO标准的年龄和性别分布进行了比较。本研究结果强调了提高牙科专业人员对职业性噪声危害的认识和常规听力学监测的重要性。
本文章由计算机程序翻译,如有差异,请以英文原文为准。

Impacts of hazardous noise levels on hearing loss and tinnitus in dental professionals.

Impacts of hazardous noise levels on hearing loss and tinnitus in dental professionals.

Impacts of hazardous noise levels on hearing loss and tinnitus in dental professionals.

Impacts of hazardous noise levels on hearing loss and tinnitus in dental professionals.

Background: Hazardous noise exposure is an important health concern in many workplaces and is one of the most common work-related injuries in the United States. Dental professionals are frequently exposed to high levels of occupational noise in their daily work environment. This noise is generated by various dental handpieces such as drills, suctions, and ultrasonic scalers. Prolonged exposure to such noise levels is known to have adverse effects on hearing health. Despite the prevalence of occupational noise in dentistry, there is a paucity of research specifically examining the prevalence of hearing loss and tinnitus in dental professionals.

Methods: To evaluate the prevalence of hearing loss and tinnitus, data were collected from 60 dental professionals, including participant demographics and audiometric thresholds. Thresholds were compared to the age- and sex-based reference ranges from the International Standards Organization (ISO 7029:2017).

Results: Results showed that 15-25% of males and 13-18% of females had hearing thresholds that exceeded 95th percentile limits based on the ISO normative age- and sex-distributions. Tinnitus was reported in 40% of the participants.

Conclusion: This study is the first to examine the characteristics and prevalence of auditory dysfunctions in dental professionals compared to the ISO normative age and sex distributions of hearing status. Findings from this study highlight the need for increasing the awareness of occupational noise hazards among dental professionals and the importance of routine audiological monitoring.

求助全文
通过发布文献求助,成功后即可免费获取论文全文。 去求助
来源期刊
Journal of Occupational Medicine and Toxicology
Journal of Occupational Medicine and Toxicology PUBLIC, ENVIRONMENTAL & OCCUPATIONAL HEALTH-
CiteScore
6.00
自引率
0.00%
发文量
23
审稿时长
19 weeks
期刊介绍: Aimed at clinicians and researchers, the Journal of Occupational Medicine and Toxicology is a multi-disciplinary, open access journal which publishes original research on the clinical and scientific aspects of occupational and environmental health. With high-quality peer review and quick decision times, we welcome submissions on the diagnosis, prevention, management, and scientific analysis of occupational diseases, injuries, and disability. The journal also covers the promotion of health of workers, their families, and communities, and ranges from rehabilitation to tropical medicine and public health aspects.
×
引用
GB/T 7714-2015
复制
MLA
复制
APA
复制
导出至
BibTeX EndNote RefMan NoteFirst NoteExpress
×
提示
您的信息不完整,为了账户安全,请先补充。
现在去补充
×
提示
您因"违规操作"
具体请查看互助需知
我知道了
×
提示
确定
请完成安全验证×
copy
已复制链接
快去分享给好友吧!
我知道了
右上角分享
点击右上角分享
0
联系我们:info@booksci.cn Book学术提供免费学术资源搜索服务,方便国内外学者检索中英文文献。致力于提供最便捷和优质的服务体验。 Copyright © 2023 布克学术 All rights reserved.
京ICP备2023020795号-1
ghs 京公网安备 11010802042870号
Book学术文献互助
Book学术文献互助群
群 号:604180095
Book学术官方微信