儿童期高肥胖对成年期身高没有优势:印度尼西亚儿童到青年的横断面研究。

IF 1.5 Q2 MEDICINE, GENERAL & INTERNAL
International Journal of Preventive Medicine Pub Date : 2024-11-28 eCollection Date: 2024-01-01 DOI:10.4103/ijpvm.ijpvm_95_23
Janatin Hastuti, Neni Trilusiana Rahmawati, Madarina Julia
{"title":"儿童期高肥胖对成年期身高没有优势:印度尼西亚儿童到青年的横断面研究。","authors":"Janatin Hastuti, Neni Trilusiana Rahmawati, Madarina Julia","doi":"10.4103/ijpvm.ijpvm_95_23","DOIUrl":null,"url":null,"abstract":"<p><strong>Background: </strong>Childhood obesity is associated with faster linear growth; nonetheless, its benefit to the mature height of Indonesian children is questionable. This study aimed to evaluate the relationship between adiposity and height growth of Indonesian children, adolescents, and young adults aged 7 to 23 years.</p><p><strong>Methods: </strong>Height and skinfolds at triceps, subscapular, suprailiac, and calf were measured in 2,520 children, adolescents, and young adults aged 7 to 23 years (boys = 1,116, girls = 1,404). Central adiposity (subscapular and suprailiac skinfolds) and peripheral adiposity (triceps and calf skinfolds) were projected against heights in each age group. The ANCOVA test and partial correlation were used for statistical analysis.</p><p><strong>Results: </strong>With the exception of ages 8 to 12 years, boys were always taller than girls after controlling for age and central or peripheral adiposity. Boys with higher central and peripheral adiposity were taller than their peers up to the age of 17 (<i>r</i> = 0.30-0.72, <i>P</i> < 0.05, <i>P</i> < 0.01). Girls with central adiposity grew taller than their thinner peers until the age of 14 (<i>r</i> = 0.17-0.50, <i>P</i> < 0.05, <i>P</i> < 0.01), whereas girls with peripheral adiposity benefit from this advantage over a more extended period of time. Afterward, adiposity did not offer any benefit on heights.</p><p><strong>Conclusions: </strong>Children with high adiposity who were taller at an earlier age have no significant advantage over their thinner peers in terms of adult height.</p>","PeriodicalId":14342,"journal":{"name":"International Journal of Preventive Medicine","volume":"15 ","pages":"64"},"PeriodicalIF":1.5000,"publicationDate":"2024-11-28","publicationTypes":"Journal Article","fieldsOfStudy":null,"isOpenAccess":false,"openAccessPdf":"https://www.ncbi.nlm.nih.gov/pmc/articles/PMC11687686/pdf/","citationCount":"0","resultStr":"{\"title\":\"Childhood High Adiposity has no Advantage for Height in Adulthood: Cross-Sectional Studies in Indonesian Children to Young Adults.\",\"authors\":\"Janatin Hastuti, Neni Trilusiana Rahmawati, Madarina Julia\",\"doi\":\"10.4103/ijpvm.ijpvm_95_23\",\"DOIUrl\":null,\"url\":null,\"abstract\":\"<p><strong>Background: </strong>Childhood obesity is associated with faster linear growth; nonetheless, its benefit to the mature height of Indonesian children is questionable. This study aimed to evaluate the relationship between adiposity and height growth of Indonesian children, adolescents, and young adults aged 7 to 23 years.</p><p><strong>Methods: </strong>Height and skinfolds at triceps, subscapular, suprailiac, and calf were measured in 2,520 children, adolescents, and young adults aged 7 to 23 years (boys = 1,116, girls = 1,404). Central adiposity (subscapular and suprailiac skinfolds) and peripheral adiposity (triceps and calf skinfolds) were projected against heights in each age group. The ANCOVA test and partial correlation were used for statistical analysis.</p><p><strong>Results: </strong>With the exception of ages 8 to 12 years, boys were always taller than girls after controlling for age and central or peripheral adiposity. Boys with higher central and peripheral adiposity were taller than their peers up to the age of 17 (<i>r</i> = 0.30-0.72, <i>P</i> < 0.05, <i>P</i> < 0.01). Girls with central adiposity grew taller than their thinner peers until the age of 14 (<i>r</i> = 0.17-0.50, <i>P</i> < 0.05, <i>P</i> < 0.01), whereas girls with peripheral adiposity benefit from this advantage over a more extended period of time. Afterward, adiposity did not offer any benefit on heights.</p><p><strong>Conclusions: </strong>Children with high adiposity who were taller at an earlier age have no significant advantage over their thinner peers in terms of adult height.</p>\",\"PeriodicalId\":14342,\"journal\":{\"name\":\"International Journal of Preventive Medicine\",\"volume\":\"15 \",\"pages\":\"64\"},\"PeriodicalIF\":1.5000,\"publicationDate\":\"2024-11-28\",\"publicationTypes\":\"Journal Article\",\"fieldsOfStudy\":null,\"isOpenAccess\":false,\"openAccessPdf\":\"https://www.ncbi.nlm.nih.gov/pmc/articles/PMC11687686/pdf/\",\"citationCount\":\"0\",\"resultStr\":null,\"platform\":\"Semanticscholar\",\"paperid\":null,\"PeriodicalName\":\"International Journal of Preventive Medicine\",\"FirstCategoryId\":\"1085\",\"ListUrlMain\":\"https://doi.org/10.4103/ijpvm.ijpvm_95_23\",\"RegionNum\":0,\"RegionCategory\":null,\"ArticlePicture\":[],\"TitleCN\":null,\"AbstractTextCN\":null,\"PMCID\":null,\"EPubDate\":\"2024/1/1 0:00:00\",\"PubModel\":\"eCollection\",\"JCR\":\"Q2\",\"JCRName\":\"MEDICINE, GENERAL & INTERNAL\",\"Score\":null,\"Total\":0}","platform":"Semanticscholar","paperid":null,"PeriodicalName":"International Journal of Preventive Medicine","FirstCategoryId":"1085","ListUrlMain":"https://doi.org/10.4103/ijpvm.ijpvm_95_23","RegionNum":0,"RegionCategory":null,"ArticlePicture":[],"TitleCN":null,"AbstractTextCN":null,"PMCID":null,"EPubDate":"2024/1/1 0:00:00","PubModel":"eCollection","JCR":"Q2","JCRName":"MEDICINE, GENERAL & INTERNAL","Score":null,"Total":0}
引用次数: 0

摘要

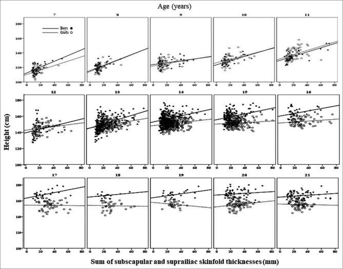
背景:儿童肥胖与更快的线性生长有关;然而,它对印尼儿童成熟身高的益处是值得怀疑的。本研究旨在评估印尼7至23岁儿童、青少年和年轻人的肥胖与身高增长之间的关系。方法:测量了2520名7 - 23岁的儿童、青少年和年轻人(男孩= 1116,女孩= 1404)的肱三头肌、肩胛下、髌上和小腿的高度和皮褶。中枢性肥胖(肩胛下和髌上皮肤褶皱)和周围性肥胖(肱三头肌和小腿皮肤褶皱)在每个年龄组中按高度进行投影。采用ANCOVA检验和偏相关进行统计分析。结果:除8 ~ 12岁外,在控制年龄和中枢性或外周性肥胖后,男孩均高于女孩。中枢性和外周性肥胖较高的男孩17岁前身高高于同龄男孩(r = 0.30 ~ 0.72, P < 0.05, P < 0.01)。中枢性肥胖的女孩在14岁之前比更瘦的同龄人长得更高(r = 0.17-0.50, P < 0.05, P < 0.01),而周围性肥胖的女孩在更长的时间内受益于这种优势。之后,肥胖对身高没有任何好处。结论:高肥胖儿童较早年龄较高,其成人身高与较瘦的同龄人相比无显著优势。
本文章由计算机程序翻译,如有差异,请以英文原文为准。

Childhood High Adiposity has no Advantage for Height in Adulthood: Cross-Sectional Studies in Indonesian Children to Young Adults.

Childhood High Adiposity has no Advantage for Height in Adulthood: Cross-Sectional Studies in Indonesian Children to Young Adults.

Childhood High Adiposity has no Advantage for Height in Adulthood: Cross-Sectional Studies in Indonesian Children to Young Adults.

Background: Childhood obesity is associated with faster linear growth; nonetheless, its benefit to the mature height of Indonesian children is questionable. This study aimed to evaluate the relationship between adiposity and height growth of Indonesian children, adolescents, and young adults aged 7 to 23 years.

Methods: Height and skinfolds at triceps, subscapular, suprailiac, and calf were measured in 2,520 children, adolescents, and young adults aged 7 to 23 years (boys = 1,116, girls = 1,404). Central adiposity (subscapular and suprailiac skinfolds) and peripheral adiposity (triceps and calf skinfolds) were projected against heights in each age group. The ANCOVA test and partial correlation were used for statistical analysis.

Results: With the exception of ages 8 to 12 years, boys were always taller than girls after controlling for age and central or peripheral adiposity. Boys with higher central and peripheral adiposity were taller than their peers up to the age of 17 (r = 0.30-0.72, P < 0.05, P < 0.01). Girls with central adiposity grew taller than their thinner peers until the age of 14 (r = 0.17-0.50, P < 0.05, P < 0.01), whereas girls with peripheral adiposity benefit from this advantage over a more extended period of time. Afterward, adiposity did not offer any benefit on heights.

Conclusions: Children with high adiposity who were taller at an earlier age have no significant advantage over their thinner peers in terms of adult height.

求助全文
通过发布文献求助,成功后即可免费获取论文全文。 去求助
来源期刊
International Journal of Preventive Medicine
International Journal of Preventive Medicine MEDICINE, GENERAL & INTERNAL-
CiteScore
3.20
自引率
4.80%
发文量
107
期刊介绍: International Journal of Preventive Medicine, a publication of Isfahan University of Medical Sciences, is a peer-reviewed online journal with Continuous print on demand compilation of issues published. The journal’s full text is available online at http://www.ijpvmjournal.net. The journal allows free access (Open Access) to its contents and permits authors to self-archive final accepted version of the articles on any OAI-compliant institutional / subject-based repository. The journal will cover technical and clinical studies related to health, ethical and social issues in field of Preventive Medicine. Articles with clinical interest and implications will be given preference.
×
引用
GB/T 7714-2015
复制
MLA
复制
APA
复制
导出至
BibTeX EndNote RefMan NoteFirst NoteExpress
×
提示
您的信息不完整,为了账户安全,请先补充。
现在去补充
×
提示
您因"违规操作"
具体请查看互助需知
我知道了
×
提示
确定
请完成安全验证×
copy
已复制链接
快去分享给好友吧!
我知道了
右上角分享
点击右上角分享
0
联系我们:info@booksci.cn Book学术提供免费学术资源搜索服务,方便国内外学者检索中英文文献。致力于提供最便捷和优质的服务体验。 Copyright © 2023 布克学术 All rights reserved.
京ICP备2023020795号-1
ghs 京公网安备 11010802042870号
Book学术文献互助
Book学术文献互助群
群 号:604180095
Book学术官方微信