使用Hwa-byung人格量表评估Hwa-byung脆弱性:机器学习方法的比较研究。

IF 1.8 Q3 INTEGRATIVE & COMPLEMENTARY MEDICINE
Chan-Young Kwon, Boram Lee, Sung-Hee Kim, Seok Chan Jeong, Jong-Woo Kim
{"title":"使用Hwa-byung人格量表评估Hwa-byung脆弱性:机器学习方法的比较研究。","authors":"Chan-Young Kwon, Boram Lee, Sung-Hee Kim, Seok Chan Jeong, Jong-Woo Kim","doi":"10.3831/KPI.2024.27.4.358","DOIUrl":null,"url":null,"abstract":"<p><strong>Objectives: </strong>To develop and compare machine learning models to classify individuals vulnerable to Hwa-byung (HB) using an existing HB personality scale and to evaluate the efficacy of these models in predicting HB vulnerability.</p><p><strong>Methods: </strong>We analyzed data from 500 Korean adults (aged 19-44) using HB personality and symptom scales. We used various machine learning techniques, including the random forest classifier (RFC), XGBoost classifier, logistic regression, and their ensemble method (RFC-XGC-LR). The models were developed using recursive feature elimination with cross-validation for feature selection and evaluated using multiple performance metrics, including accuracy, precision, recall, specificity, and area under the receiver operating characteristic curve (AUROC).</p><p><strong>Results: </strong>The 16 items on the HB personality scale were identified as optimal features to predict high HB symptom scores requiring further clinical evaluation. The ensemble model slightly outperformed the other models, with an accuracy of 0.80 and an AUROC of 0.86, in the test set. Notably, item 16 (\"<i>I often feel guilty easily</i>\") of the HB personality scale showed the greatest importance in predicting HB vulnerability across all models. Although all models showed consistent performance across training, validation, and test sets, the RFC model exhibited signs of slight overfitting, with a higher AUROC of 0.97 in the training dataset compared to 0.85 in the validation and 0.86 in the test datasets.</p><p><strong>Conclusion: </strong>Machine learning models, particularly the ensemble method, show capabilities promising for screening individuals with high HB symptom scores based on personality traits, potentially facilitating early referral for clinical evaluation. These models can improve the efficiency and accuracy of the HB risk assessment in clinical settings, potentially aiding early intervention and prevention strategies.</p>","PeriodicalId":16769,"journal":{"name":"Journal of Pharmacopuncture","volume":"27 4","pages":"358-366"},"PeriodicalIF":1.8000,"publicationDate":"2024-12-31","publicationTypes":"Journal Article","fieldsOfStudy":null,"isOpenAccess":false,"openAccessPdf":"https://www.ncbi.nlm.nih.gov/pmc/articles/PMC11656055/pdf/","citationCount":"0","resultStr":"{\"title\":\"Assessing Hwa-byung Vulnerability Using the Hwa-byung Personality Scale: a comparative study of machine learning approaches.\",\"authors\":\"Chan-Young Kwon, Boram Lee, Sung-Hee Kim, Seok Chan Jeong, Jong-Woo Kim\",\"doi\":\"10.3831/KPI.2024.27.4.358\",\"DOIUrl\":null,\"url\":null,\"abstract\":\"<p><strong>Objectives: </strong>To develop and compare machine learning models to classify individuals vulnerable to Hwa-byung (HB) using an existing HB personality scale and to evaluate the efficacy of these models in predicting HB vulnerability.</p><p><strong>Methods: </strong>We analyzed data from 500 Korean adults (aged 19-44) using HB personality and symptom scales. We used various machine learning techniques, including the random forest classifier (RFC), XGBoost classifier, logistic regression, and their ensemble method (RFC-XGC-LR). The models were developed using recursive feature elimination with cross-validation for feature selection and evaluated using multiple performance metrics, including accuracy, precision, recall, specificity, and area under the receiver operating characteristic curve (AUROC).</p><p><strong>Results: </strong>The 16 items on the HB personality scale were identified as optimal features to predict high HB symptom scores requiring further clinical evaluation. The ensemble model slightly outperformed the other models, with an accuracy of 0.80 and an AUROC of 0.86, in the test set. Notably, item 16 (\\\"<i>I often feel guilty easily</i>\\\") of the HB personality scale showed the greatest importance in predicting HB vulnerability across all models. Although all models showed consistent performance across training, validation, and test sets, the RFC model exhibited signs of slight overfitting, with a higher AUROC of 0.97 in the training dataset compared to 0.85 in the validation and 0.86 in the test datasets.</p><p><strong>Conclusion: </strong>Machine learning models, particularly the ensemble method, show capabilities promising for screening individuals with high HB symptom scores based on personality traits, potentially facilitating early referral for clinical evaluation. These models can improve the efficiency and accuracy of the HB risk assessment in clinical settings, potentially aiding early intervention and prevention strategies.</p>\",\"PeriodicalId\":16769,\"journal\":{\"name\":\"Journal of Pharmacopuncture\",\"volume\":\"27 4\",\"pages\":\"358-366\"},\"PeriodicalIF\":1.8000,\"publicationDate\":\"2024-12-31\",\"publicationTypes\":\"Journal Article\",\"fieldsOfStudy\":null,\"isOpenAccess\":false,\"openAccessPdf\":\"https://www.ncbi.nlm.nih.gov/pmc/articles/PMC11656055/pdf/\",\"citationCount\":\"0\",\"resultStr\":null,\"platform\":\"Semanticscholar\",\"paperid\":null,\"PeriodicalName\":\"Journal of Pharmacopuncture\",\"FirstCategoryId\":\"1085\",\"ListUrlMain\":\"https://doi.org/10.3831/KPI.2024.27.4.358\",\"RegionNum\":0,\"RegionCategory\":null,\"ArticlePicture\":[],\"TitleCN\":null,\"AbstractTextCN\":null,\"PMCID\":null,\"EPubDate\":\"\",\"PubModel\":\"\",\"JCR\":\"Q3\",\"JCRName\":\"INTEGRATIVE & COMPLEMENTARY MEDICINE\",\"Score\":null,\"Total\":0}","platform":"Semanticscholar","paperid":null,"PeriodicalName":"Journal of Pharmacopuncture","FirstCategoryId":"1085","ListUrlMain":"https://doi.org/10.3831/KPI.2024.27.4.358","RegionNum":0,"RegionCategory":null,"ArticlePicture":[],"TitleCN":null,"AbstractTextCN":null,"PMCID":null,"EPubDate":"","PubModel":"","JCR":"Q3","JCRName":"INTEGRATIVE & COMPLEMENTARY MEDICINE","Score":null,"Total":0}
引用次数: 0

摘要

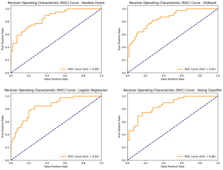
目的:开发和比较机器学习模型,使用现有的HB人格量表对HB易感性个体进行分类,并评估这些模型在预测HB易感性方面的功效。方法:我们使用HB人格和症状量表分析了500名韩国成年人(19-44岁)的数据。我们使用了各种机器学习技术,包括随机森林分类器(RFC)、XGBoost分类器、逻辑回归及其集成方法(RFC- xgc - lr)。这些模型采用递归特征消除和交叉验证来进行特征选择,并使用多个性能指标进行评估,包括准确性、精密度、召回率、特异性和接收者工作特征曲线下面积(AUROC)。结果:HB人格量表上的16项被确定为预测HB高症状评分的最佳特征,需要进一步的临床评估。在测试集中,集成模型的准确率为0.80,AUROC为0.86,略优于其他模型。值得注意的是,HB人格量表的第16项(“我经常很容易感到内疚”)在预测所有模型中的HB脆弱性方面显示出最大的重要性。尽管所有模型在训练集、验证集和测试集上都表现出一致的性能,但RFC模型表现出轻微的过拟合迹象,训练数据集中的AUROC为0.97,而验证数据集中的AUROC为0.85,测试数据集中的AUROC为0.86。结论:机器学习模型,特别是集成方法,显示出基于人格特征筛选HB症状得分高的个体的能力,可能有助于早期转诊进行临床评估。这些模型可以提高临床环境中HB风险评估的效率和准确性,可能有助于早期干预和预防策略。
本文章由计算机程序翻译,如有差异,请以英文原文为准。

Assessing Hwa-byung Vulnerability Using the Hwa-byung Personality Scale: a comparative study of machine learning approaches.

Assessing Hwa-byung Vulnerability Using the Hwa-byung Personality Scale: a comparative study of machine learning approaches.

Assessing Hwa-byung Vulnerability Using the Hwa-byung Personality Scale: a comparative study of machine learning approaches.

Assessing Hwa-byung Vulnerability Using the Hwa-byung Personality Scale: a comparative study of machine learning approaches.

Objectives: To develop and compare machine learning models to classify individuals vulnerable to Hwa-byung (HB) using an existing HB personality scale and to evaluate the efficacy of these models in predicting HB vulnerability.

Methods: We analyzed data from 500 Korean adults (aged 19-44) using HB personality and symptom scales. We used various machine learning techniques, including the random forest classifier (RFC), XGBoost classifier, logistic regression, and their ensemble method (RFC-XGC-LR). The models were developed using recursive feature elimination with cross-validation for feature selection and evaluated using multiple performance metrics, including accuracy, precision, recall, specificity, and area under the receiver operating characteristic curve (AUROC).

Results: The 16 items on the HB personality scale were identified as optimal features to predict high HB symptom scores requiring further clinical evaluation. The ensemble model slightly outperformed the other models, with an accuracy of 0.80 and an AUROC of 0.86, in the test set. Notably, item 16 ("I often feel guilty easily") of the HB personality scale showed the greatest importance in predicting HB vulnerability across all models. Although all models showed consistent performance across training, validation, and test sets, the RFC model exhibited signs of slight overfitting, with a higher AUROC of 0.97 in the training dataset compared to 0.85 in the validation and 0.86 in the test datasets.

Conclusion: Machine learning models, particularly the ensemble method, show capabilities promising for screening individuals with high HB symptom scores based on personality traits, potentially facilitating early referral for clinical evaluation. These models can improve the efficiency and accuracy of the HB risk assessment in clinical settings, potentially aiding early intervention and prevention strategies.

求助全文
通过发布文献求助,成功后即可免费获取论文全文。 去求助
来源期刊
Journal of Pharmacopuncture
Journal of Pharmacopuncture INTEGRATIVE & COMPLEMENTARY MEDICINE-
CiteScore
2.10
自引率
7.10%
发文量
42
审稿时长
10 weeks
期刊介绍: The Journal of Pharmacopuncture covers a wide range of basic and clinical science research relevant to all aspects of the biotechnology of integrated approaches using both pharmacology and acupuncture therapeutics, including research involving pharmacology, acupuncture studies and pharmacopuncture studies. The subjects are mainly divided into three categories: pharmacology (applied phytomedicine, plant sciences, pharmacology, toxicology, medicinal plants, traditional medicines, herbal medicine, Sasang constitutional medicine, herbal formulae, foods, agricultural technologies, naturopathy, etc.), acupuncture (acupressure, electroacupuncture, laser acupuncture, moxibustion, cupping, etc.), and pharmacopuncture (aqua-acupuncture, meridian pharmacopuncture, eight-principles pharmacopuncture, animal-based pharmacopuncture, mountain ginseng pharmacopuncture, bee venom therapy, needle embedding therapy, implant therapy, etc.). Other categories include chuna treatment, veterinary acupuncture and related animal studies, alternative medicines for treating cancer and cancer-related symptoms, etc. Broader topical coverage on the effects of acupuncture, the medical plants used in traditional and alternative medicine, pharmacological action and other related modalities, such as anthroposophy, homeopathy, ayurveda, bioelectromagnetic therapy, chiropractic, neural therapy and meditation, can be considered to be within the journal’s scope if based on acupoints and meridians. Submissions of original articles, review articles, systematic reviews, case reports, brief reports, opinions, commentaries, medical lectures, letters to the editor, photo-essays, technical notes, and book reviews are encouraged. Providing free access to the full text of all current and archived articles on its website (www.journal.ac), also searchable through a Google Scholar search.
×
引用
GB/T 7714-2015
复制
MLA
复制
APA
复制
导出至
BibTeX EndNote RefMan NoteFirst NoteExpress
×
提示
您的信息不完整,为了账户安全,请先补充。
现在去补充
×
提示
您因"违规操作"
具体请查看互助需知
我知道了
×
提示
确定
请完成安全验证×
copy
已复制链接
快去分享给好友吧!
我知道了
右上角分享
点击右上角分享
0
联系我们:info@booksci.cn Book学术提供免费学术资源搜索服务,方便国内外学者检索中英文文献。致力于提供最便捷和优质的服务体验。 Copyright © 2023 布克学术 All rights reserved.
京ICP备2023020795号-1
ghs 京公网安备 11010802042870号
Book学术文献互助
Book学术文献互助群
群 号:604180095
Book学术官方微信