在陡峭的斜坡上,把球的表现偏向于球洞的前下侧:职业球手和业余球手在策略和动作上的差异。

IF 2.6 3区 综合性期刊 Q1 MULTIDISCIPLINARY SCIENCES
PLoS ONE Pub Date : 2024-12-31 eCollection Date: 2024-01-01 DOI:10.1371/journal.pone.0314820
Yumiko Hasegawa, Ayako Okada, Keisuke Fujii
{"title":"在陡峭的斜坡上,把球的表现偏向于球洞的前下侧:职业球手和业余球手在策略和动作上的差异。","authors":"Yumiko Hasegawa, Ayako Okada, Keisuke Fujii","doi":"10.1371/journal.pone.0314820","DOIUrl":null,"url":null,"abstract":"<p><p>When playing on an sloped golf course, the ball often misses the hole to the front-lower side, which is also referred to as the \"amateur side.\" This can be attributed to the difficulty in perceiving the green slope and choosing the appropriate launch direction and ball speed, especially for amateurs. The study had three main objectives. The first was to examine whether a front-down bias toward the hole could be experimentally observed in golfers' putting. Second, to measure golfers' aims and movements to determine why golfers, especially amateurs, putt poorly on steep slopes. Third, to investigate using a miniature platform how golfers recognized the steepness of the slopes and the relationship between their aim and their slope recognition. Twelve professionals and twelve intermediate amateurs were asked to perform in the 1- and 3-degree conditions (left-to-right line) at a distance of 3 m from the hole. Participants wore shutter goggles to inhibit visual feedback of outcomes. The aim, address, ball launch direction (analyzed as angles), and kinematics of the putter head and ball were measured. The results of this study experimentally confirmed the amateur side and indicated that the aim, address, and launch directions of the amateurs were smaller than those of the professionals. As for reproducing the slope task, we found that the amateurs underestimated the steepness on both conditions when compared to professionals. Additionally, golfers' aim and slope recognition were weakly correlated. These suggest that amateurs, compared to professionals, were unable to choose the optimal speed of the putter head and the launch direction of the ball in relation to the slope. Furthermore, amateurs' recognition was worse than that of professionals, which may affect their aim.</p>","PeriodicalId":20189,"journal":{"name":"PLoS ONE","volume":"19 12","pages":"e0314820"},"PeriodicalIF":2.6000,"publicationDate":"2024-12-31","publicationTypes":"Journal Article","fieldsOfStudy":null,"isOpenAccess":false,"openAccessPdf":"https://www.ncbi.nlm.nih.gov/pmc/articles/PMC11687870/pdf/","citationCount":"0","resultStr":"{\"title\":\"Putting performance bias to the front-lower side of the hole on steep slopes: Differences in strategies and movements between professional and amateur golfers.\",\"authors\":\"Yumiko Hasegawa, Ayako Okada, Keisuke Fujii\",\"doi\":\"10.1371/journal.pone.0314820\",\"DOIUrl\":null,\"url\":null,\"abstract\":\"<p><p>When playing on an sloped golf course, the ball often misses the hole to the front-lower side, which is also referred to as the \\\"amateur side.\\\" This can be attributed to the difficulty in perceiving the green slope and choosing the appropriate launch direction and ball speed, especially for amateurs. The study had three main objectives. The first was to examine whether a front-down bias toward the hole could be experimentally observed in golfers' putting. Second, to measure golfers' aims and movements to determine why golfers, especially amateurs, putt poorly on steep slopes. Third, to investigate using a miniature platform how golfers recognized the steepness of the slopes and the relationship between their aim and their slope recognition. Twelve professionals and twelve intermediate amateurs were asked to perform in the 1- and 3-degree conditions (left-to-right line) at a distance of 3 m from the hole. Participants wore shutter goggles to inhibit visual feedback of outcomes. The aim, address, ball launch direction (analyzed as angles), and kinematics of the putter head and ball were measured. The results of this study experimentally confirmed the amateur side and indicated that the aim, address, and launch directions of the amateurs were smaller than those of the professionals. As for reproducing the slope task, we found that the amateurs underestimated the steepness on both conditions when compared to professionals. Additionally, golfers' aim and slope recognition were weakly correlated. These suggest that amateurs, compared to professionals, were unable to choose the optimal speed of the putter head and the launch direction of the ball in relation to the slope. Furthermore, amateurs' recognition was worse than that of professionals, which may affect their aim.</p>\",\"PeriodicalId\":20189,\"journal\":{\"name\":\"PLoS ONE\",\"volume\":\"19 12\",\"pages\":\"e0314820\"},\"PeriodicalIF\":2.6000,\"publicationDate\":\"2024-12-31\",\"publicationTypes\":\"Journal Article\",\"fieldsOfStudy\":null,\"isOpenAccess\":false,\"openAccessPdf\":\"https://www.ncbi.nlm.nih.gov/pmc/articles/PMC11687870/pdf/\",\"citationCount\":\"0\",\"resultStr\":null,\"platform\":\"Semanticscholar\",\"paperid\":null,\"PeriodicalName\":\"PLoS ONE\",\"FirstCategoryId\":\"103\",\"ListUrlMain\":\"https://doi.org/10.1371/journal.pone.0314820\",\"RegionNum\":3,\"RegionCategory\":\"综合性期刊\",\"ArticlePicture\":[],\"TitleCN\":null,\"AbstractTextCN\":null,\"PMCID\":null,\"EPubDate\":\"2024/1/1 0:00:00\",\"PubModel\":\"eCollection\",\"JCR\":\"Q1\",\"JCRName\":\"MULTIDISCIPLINARY SCIENCES\",\"Score\":null,\"Total\":0}","platform":"Semanticscholar","paperid":null,"PeriodicalName":"PLoS ONE","FirstCategoryId":"103","ListUrlMain":"https://doi.org/10.1371/journal.pone.0314820","RegionNum":3,"RegionCategory":"综合性期刊","ArticlePicture":[],"TitleCN":null,"AbstractTextCN":null,"PMCID":null,"EPubDate":"2024/1/1 0:00:00","PubModel":"eCollection","JCR":"Q1","JCRName":"MULTIDISCIPLINARY SCIENCES","Score":null,"Total":0}
引用次数: 0

摘要

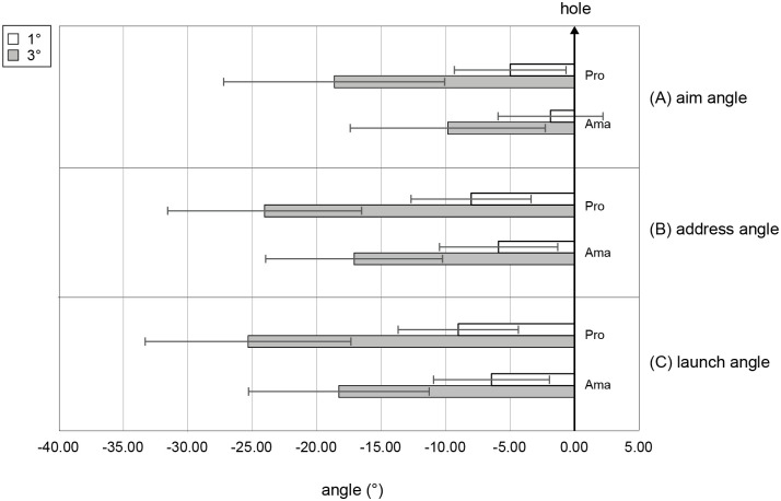
在有坡度的高尔夫球场上打球时,球经常打偏,打偏到前面较低的一侧,也被称为“业余一侧”。这可以归因于难以感知绿坡和选择适当的发射方向和球的速度,特别是对业余爱好者。这项研究有三个主要目标。第一个是研究是否可以在实验中观察到高尔夫球手推杆时朝洞的前倾。第二,测量高尔夫球手的目标和动作,以确定为什么高尔夫球手,尤其是业余球手,在陡坡上推杆不好。第三,利用微型平台研究高尔夫球手如何识别斜坡的陡度,以及他们的瞄准与坡度识别之间的关系。12名专业球手和12名中级业余球手被要求在距离球洞3米的1度和3度条件下(从左到右)表演。参与者戴上快门护目镜来抑制结果的视觉反馈。测量了推杆的目标、位置、球的发射方向(以角度分析)以及推杆头和球的运动学。本研究的实验结果证实了业余的一面,并表明业余的目标、地址和发射方向比专业的要小。在再现坡度任务时,我们发现,与专业人员相比,业余人员在两种情况下都低估了陡度。此外,高尔夫球手的瞄准与坡度识别呈弱相关。这表明,与专业人士相比,业余爱好者无法选择推杆头的最佳速度和球的发射方向与坡度的关系。此外,业余爱好者的识别能力比专业人士差,这可能会影响他们的目标。
本文章由计算机程序翻译,如有差异,请以英文原文为准。

Putting performance bias to the front-lower side of the hole on steep slopes: Differences in strategies and movements between professional and amateur golfers.

Putting performance bias to the front-lower side of the hole on steep slopes: Differences in strategies and movements between professional and amateur golfers.

Putting performance bias to the front-lower side of the hole on steep slopes: Differences in strategies and movements between professional and amateur golfers.

Putting performance bias to the front-lower side of the hole on steep slopes: Differences in strategies and movements between professional and amateur golfers.

When playing on an sloped golf course, the ball often misses the hole to the front-lower side, which is also referred to as the "amateur side." This can be attributed to the difficulty in perceiving the green slope and choosing the appropriate launch direction and ball speed, especially for amateurs. The study had three main objectives. The first was to examine whether a front-down bias toward the hole could be experimentally observed in golfers' putting. Second, to measure golfers' aims and movements to determine why golfers, especially amateurs, putt poorly on steep slopes. Third, to investigate using a miniature platform how golfers recognized the steepness of the slopes and the relationship between their aim and their slope recognition. Twelve professionals and twelve intermediate amateurs were asked to perform in the 1- and 3-degree conditions (left-to-right line) at a distance of 3 m from the hole. Participants wore shutter goggles to inhibit visual feedback of outcomes. The aim, address, ball launch direction (analyzed as angles), and kinematics of the putter head and ball were measured. The results of this study experimentally confirmed the amateur side and indicated that the aim, address, and launch directions of the amateurs were smaller than those of the professionals. As for reproducing the slope task, we found that the amateurs underestimated the steepness on both conditions when compared to professionals. Additionally, golfers' aim and slope recognition were weakly correlated. These suggest that amateurs, compared to professionals, were unable to choose the optimal speed of the putter head and the launch direction of the ball in relation to the slope. Furthermore, amateurs' recognition was worse than that of professionals, which may affect their aim.

求助全文
通过发布文献求助,成功后即可免费获取论文全文。 去求助
来源期刊
PLoS ONE
PLoS ONE 生物-生物学
CiteScore
6.20
自引率
5.40%
发文量
14242
审稿时长
3.7 months
期刊介绍: PLOS ONE is an international, peer-reviewed, open-access, online publication. PLOS ONE welcomes reports on primary research from any scientific discipline. It provides: * Open-access—freely accessible online, authors retain copyright * Fast publication times * Peer review by expert, practicing researchers * Post-publication tools to indicate quality and impact * Community-based dialogue on articles * Worldwide media coverage
×
引用
GB/T 7714-2015
复制
MLA
复制
APA
复制
导出至
BibTeX EndNote RefMan NoteFirst NoteExpress
×
提示
您的信息不完整,为了账户安全,请先补充。
现在去补充
×
提示
您因"违规操作"
具体请查看互助需知
我知道了
×
提示
确定
请完成安全验证×
copy
已复制链接
快去分享给好友吧!
我知道了
右上角分享
点击右上角分享
0
联系我们:info@booksci.cn Book学术提供免费学术资源搜索服务,方便国内外学者检索中英文文献。致力于提供最便捷和优质的服务体验。 Copyright © 2023 布克学术 All rights reserved.
京ICP备2023020795号-1
ghs 京公网安备 11010802042870号
Book学术文献互助
Book学术文献互助群
群 号:604180095
Book学术官方微信