巴西男男性行为青少年男性和变性女性每日口服暴露前艾滋病毒预防间接依从性措施的执行情况

IF 2.6 3区 综合性期刊 Q1 MULTIDISCIPLINARY SCIENCES
PLoS ONE Pub Date : 2024-12-31 eCollection Date: 2024-01-01 DOI:10.1371/journal.pone.0310861
Diana Zeballos, Laio Magno, Fabiane Soares, Jony Arrais Pinto Junior, Leila Amorim, Dirceu Greco, Alexandre Grangeiro, Inês Dourado
{"title":"巴西男男性行为青少年男性和变性女性每日口服暴露前艾滋病毒预防间接依从性措施的执行情况","authors":"Diana Zeballos, Laio Magno, Fabiane Soares, Jony Arrais Pinto Junior, Leila Amorim, Dirceu Greco, Alexandre Grangeiro, Inês Dourado","doi":"10.1371/journal.pone.0310861","DOIUrl":null,"url":null,"abstract":"<p><strong>Background: </strong>Consistent monitoring of PrEP adherence with accurate measurement tools at point-of-care could greatly contribute to reaching adolescents with poor adherence. We aimed to assess the performance of indirect adherence measures to oral PrEP among adolescent men who have sex with men (AMSM) and adolescent transgender women (ATGW).</p><p><strong>Methods: </strong>PrEP15-19 is a prospective, multicenter, PrEP demonstration cohort study that includes AMSM and ATGW aged 15-19 in three Brazilian cities. A diagnostic accuracy study was conducted using tenofovir-diphosphate (TFV-DP) concentrations in dried blood spots as the reference standard, along with three index tests: medication possession ratio (MPR), pill count, and self-report. We calculated the area under the curve (AUC) for protective TFV-DP levels (≥800 fmol/punch) and sensitivity (SE) and specificity (SP) for established cutoff points.</p><p><strong>Results: </strong>We included 302 samples from 188 participants. Most of participants were AMSM (78.7%), aged 18-19 years (80.3%), and non-whites (72.9%). The AUC was 0.59 for MPR, 0.69 for pill count, and 0.75 for self-report. When combining MPR and self-report, the AUC increased to 0.77. Sensitivity was high for the cutoff points identified by the Youden index, 80% for MPR, 92% for self-report, and 97% for pill count. However, specificities were low 40%, 46%, and 38%, respectively.</p><p><strong>Conclusions: </strong>Indirect measures were able to discriminate adolescents with good adherence. However, their performance in identifying those with low adherence might be limited, suggesting that it is necessary to initiate adherence interventions when there is no evidence of perfect adherence. Combining measures can provide wider information on adherence.</p>","PeriodicalId":20189,"journal":{"name":"PLoS ONE","volume":"19 12","pages":"e0310861"},"PeriodicalIF":2.6000,"publicationDate":"2024-12-31","publicationTypes":"Journal Article","fieldsOfStudy":null,"isOpenAccess":false,"openAccessPdf":"https://www.ncbi.nlm.nih.gov/pmc/articles/PMC11687640/pdf/","citationCount":"0","resultStr":"{\"title\":\"Performance of indirect adherence measures for daily oral pre-exposure prophylaxis for HIV among adolescent men who have sex with men and transgender women in Brazil.\",\"authors\":\"Diana Zeballos, Laio Magno, Fabiane Soares, Jony Arrais Pinto Junior, Leila Amorim, Dirceu Greco, Alexandre Grangeiro, Inês Dourado\",\"doi\":\"10.1371/journal.pone.0310861\",\"DOIUrl\":null,\"url\":null,\"abstract\":\"<p><strong>Background: </strong>Consistent monitoring of PrEP adherence with accurate measurement tools at point-of-care could greatly contribute to reaching adolescents with poor adherence. We aimed to assess the performance of indirect adherence measures to oral PrEP among adolescent men who have sex with men (AMSM) and adolescent transgender women (ATGW).</p><p><strong>Methods: </strong>PrEP15-19 is a prospective, multicenter, PrEP demonstration cohort study that includes AMSM and ATGW aged 15-19 in three Brazilian cities. A diagnostic accuracy study was conducted using tenofovir-diphosphate (TFV-DP) concentrations in dried blood spots as the reference standard, along with three index tests: medication possession ratio (MPR), pill count, and self-report. We calculated the area under the curve (AUC) for protective TFV-DP levels (≥800 fmol/punch) and sensitivity (SE) and specificity (SP) for established cutoff points.</p><p><strong>Results: </strong>We included 302 samples from 188 participants. Most of participants were AMSM (78.7%), aged 18-19 years (80.3%), and non-whites (72.9%). The AUC was 0.59 for MPR, 0.69 for pill count, and 0.75 for self-report. When combining MPR and self-report, the AUC increased to 0.77. Sensitivity was high for the cutoff points identified by the Youden index, 80% for MPR, 92% for self-report, and 97% for pill count. However, specificities were low 40%, 46%, and 38%, respectively.</p><p><strong>Conclusions: </strong>Indirect measures were able to discriminate adolescents with good adherence. However, their performance in identifying those with low adherence might be limited, suggesting that it is necessary to initiate adherence interventions when there is no evidence of perfect adherence. Combining measures can provide wider information on adherence.</p>\",\"PeriodicalId\":20189,\"journal\":{\"name\":\"PLoS ONE\",\"volume\":\"19 12\",\"pages\":\"e0310861\"},\"PeriodicalIF\":2.6000,\"publicationDate\":\"2024-12-31\",\"publicationTypes\":\"Journal Article\",\"fieldsOfStudy\":null,\"isOpenAccess\":false,\"openAccessPdf\":\"https://www.ncbi.nlm.nih.gov/pmc/articles/PMC11687640/pdf/\",\"citationCount\":\"0\",\"resultStr\":null,\"platform\":\"Semanticscholar\",\"paperid\":null,\"PeriodicalName\":\"PLoS ONE\",\"FirstCategoryId\":\"103\",\"ListUrlMain\":\"https://doi.org/10.1371/journal.pone.0310861\",\"RegionNum\":3,\"RegionCategory\":\"综合性期刊\",\"ArticlePicture\":[],\"TitleCN\":null,\"AbstractTextCN\":null,\"PMCID\":null,\"EPubDate\":\"2024/1/1 0:00:00\",\"PubModel\":\"eCollection\",\"JCR\":\"Q1\",\"JCRName\":\"MULTIDISCIPLINARY SCIENCES\",\"Score\":null,\"Total\":0}","platform":"Semanticscholar","paperid":null,"PeriodicalName":"PLoS ONE","FirstCategoryId":"103","ListUrlMain":"https://doi.org/10.1371/journal.pone.0310861","RegionNum":3,"RegionCategory":"综合性期刊","ArticlePicture":[],"TitleCN":null,"AbstractTextCN":null,"PMCID":null,"EPubDate":"2024/1/1 0:00:00","PubModel":"eCollection","JCR":"Q1","JCRName":"MULTIDISCIPLINARY SCIENCES","Score":null,"Total":0}
引用次数: 0

摘要

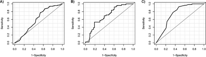
背景:在护理点使用准确的测量工具对PrEP依从性进行持续监测,可以极大地帮助依从性差的青少年。我们的目的是评估青春期男男性行为者(AMSM)和青春期变性女性(ATGW)口服PrEP的间接依从性措施的表现。方法:PrEP15-19是一项前瞻性、多中心、PrEP示范队列研究,包括巴西三个城市15-19岁的AMSM和ATGW。以二磷酸替诺福韦(ttfv - dp)干血斑浓度为参考标准,结合药物占有率(MPR)、药片数和自我报告3项指标试验进行诊断准确性研究。我们计算了ttfv - dp保护性水平(≥800 fmol/punch)的曲线下面积(AUC)以及确定的截止点的灵敏度(SE)和特异性(SP)。结果:我们纳入了188名参与者的302份样本。大多数参与者是AMSM(78.7%), 18-19岁(80.3%)和非白人(72.9%)。MPR的AUC为0.59,药片数为0.69,自我报告为0.75。当MPR与自我报告相结合时,AUC增加到0.77。由约登指数确定的截止点灵敏度很高,MPR为80%,自我报告为92%,药片数为97%。然而,特异性较低,分别为40%、46%和38%。结论:间接方法能够区分依从性好的青少年。然而,他们在识别低依从性方面的表现可能是有限的,这表明在没有证据表明完全依从性的情况下,有必要启动依从性干预。综合措施可以提供更广泛的依从性信息。
本文章由计算机程序翻译,如有差异,请以英文原文为准。

Performance of indirect adherence measures for daily oral pre-exposure prophylaxis for HIV among adolescent men who have sex with men and transgender women in Brazil.

Performance of indirect adherence measures for daily oral pre-exposure prophylaxis for HIV among adolescent men who have sex with men and transgender women in Brazil.

Performance of indirect adherence measures for daily oral pre-exposure prophylaxis for HIV among adolescent men who have sex with men and transgender women in Brazil.

Performance of indirect adherence measures for daily oral pre-exposure prophylaxis for HIV among adolescent men who have sex with men and transgender women in Brazil.

Background: Consistent monitoring of PrEP adherence with accurate measurement tools at point-of-care could greatly contribute to reaching adolescents with poor adherence. We aimed to assess the performance of indirect adherence measures to oral PrEP among adolescent men who have sex with men (AMSM) and adolescent transgender women (ATGW).

Methods: PrEP15-19 is a prospective, multicenter, PrEP demonstration cohort study that includes AMSM and ATGW aged 15-19 in three Brazilian cities. A diagnostic accuracy study was conducted using tenofovir-diphosphate (TFV-DP) concentrations in dried blood spots as the reference standard, along with three index tests: medication possession ratio (MPR), pill count, and self-report. We calculated the area under the curve (AUC) for protective TFV-DP levels (≥800 fmol/punch) and sensitivity (SE) and specificity (SP) for established cutoff points.

Results: We included 302 samples from 188 participants. Most of participants were AMSM (78.7%), aged 18-19 years (80.3%), and non-whites (72.9%). The AUC was 0.59 for MPR, 0.69 for pill count, and 0.75 for self-report. When combining MPR and self-report, the AUC increased to 0.77. Sensitivity was high for the cutoff points identified by the Youden index, 80% for MPR, 92% for self-report, and 97% for pill count. However, specificities were low 40%, 46%, and 38%, respectively.

Conclusions: Indirect measures were able to discriminate adolescents with good adherence. However, their performance in identifying those with low adherence might be limited, suggesting that it is necessary to initiate adherence interventions when there is no evidence of perfect adherence. Combining measures can provide wider information on adherence.

求助全文
通过发布文献求助,成功后即可免费获取论文全文。 去求助
来源期刊
PLoS ONE
PLoS ONE 生物-生物学
CiteScore
6.20
自引率
5.40%
发文量
14242
审稿时长
3.7 months
期刊介绍: PLOS ONE is an international, peer-reviewed, open-access, online publication. PLOS ONE welcomes reports on primary research from any scientific discipline. It provides: * Open-access—freely accessible online, authors retain copyright * Fast publication times * Peer review by expert, practicing researchers * Post-publication tools to indicate quality and impact * Community-based dialogue on articles * Worldwide media coverage
×
引用
GB/T 7714-2015
复制
MLA
复制
APA
复制
导出至
BibTeX EndNote RefMan NoteFirst NoteExpress
×
提示
您的信息不完整,为了账户安全,请先补充。
现在去补充
×
提示
您因"违规操作"
具体请查看互助需知
我知道了
×
提示
确定
请完成安全验证×
copy
已复制链接
快去分享给好友吧!
我知道了
右上角分享
点击右上角分享
0
联系我们:info@booksci.cn Book学术提供免费学术资源搜索服务,方便国内外学者检索中英文文献。致力于提供最便捷和优质的服务体验。 Copyright © 2023 布克学术 All rights reserved.
京ICP备2023020795号-1
ghs 京公网安备 11010802042870号
Book学术文献互助
Book学术文献互助群
群 号:604180095
Book学术官方微信