短暂正念干预对篮球战术表现心理疲劳及恢复的影响。

IF 2.6 3区 综合性期刊 Q1 MULTIDISCIPLINARY SCIENCES
PLoS ONE Pub Date : 2024-12-31 eCollection Date: 2024-01-01 DOI:10.1371/journal.pone.0306815
Shudian Cao, Jia Liu, Soh Kim Geok, He Sun, Xiaopeng Wang
{"title":"短暂正念干预对篮球战术表现心理疲劳及恢复的影响。","authors":"Shudian Cao, Jia Liu, Soh Kim Geok, He Sun, Xiaopeng Wang","doi":"10.1371/journal.pone.0306815","DOIUrl":null,"url":null,"abstract":"<p><strong>Objective: </strong>The detrimental effects of mental fatigue (MF) have been established in sports, such as soccer, volleyball, and basketball. Mindfulness interventions are considered a promising method to help players counteract MF, but whether it could improve basketball tactical performance after MF in competition is not clear. This study aims to investigate the effect of brief mindfulness intervention on basketball tactical performance under MF.</p><p><strong>Method: </strong>This study employed a cluster randomized controlled trial (cRCT) design. It involved 54 male basketball players aged 18 to 24 from three universities. The participants were randomly assigned to one of three groups: control group (CG), mental fatigue group (MFG), and mental fatigue-mindfulness group (MF-MG). Players in the MFG and MF-MG underwent a 30-minute Stroop task to induce MF. Subsequently, players in the MF-MG engaged in a 30-minute audio mindfulness intervention. Basketball tactical performance was assessed in the small side games (SSG).</p><p><strong>Results: </strong>There were no significant differences in total tactics observed across groups and over time. However, when examining specific tactical sub-variables, significant differences were found in ball reversal, dribble penetration into the key area, and off-ball screen between the CG and MFG in the post-test. Furthermore, significant differences were noted in ball reversal, dribble penetration into the key area, on-ball screen, and off-ball screen between the MFG and MF-MG in the post-test.</p><p><strong>Conclusion: </strong>The basketball tactical performances, particularly in areas such as ball reversal, dribble penetration into the key area, on-ball screen, and off-ball screen, were negatively impacted by MF. Notably, the brief mindfulness intervention effectively restored these performance aspects. This suggests that coaches and trainers should place increased emphasis on players' mental well-being and consider incorporating brief mindfulness interventions into their training programs. More studies that investigate mindfulness intervention on the comprehensive aspects of basketball performance should be focused on in the future.</p>","PeriodicalId":20189,"journal":{"name":"PLoS ONE","volume":"19 12","pages":"e0306815"},"PeriodicalIF":2.6000,"publicationDate":"2024-12-31","publicationTypes":"Journal Article","fieldsOfStudy":null,"isOpenAccess":false,"openAccessPdf":"https://www.ncbi.nlm.nih.gov/pmc/articles/PMC11687761/pdf/","citationCount":"0","resultStr":"{\"title\":\"Effects of brief mindfulness intervention on mental fatigue and recovery in basketball tactical performance.\",\"authors\":\"Shudian Cao, Jia Liu, Soh Kim Geok, He Sun, Xiaopeng Wang\",\"doi\":\"10.1371/journal.pone.0306815\",\"DOIUrl\":null,\"url\":null,\"abstract\":\"<p><strong>Objective: </strong>The detrimental effects of mental fatigue (MF) have been established in sports, such as soccer, volleyball, and basketball. Mindfulness interventions are considered a promising method to help players counteract MF, but whether it could improve basketball tactical performance after MF in competition is not clear. This study aims to investigate the effect of brief mindfulness intervention on basketball tactical performance under MF.</p><p><strong>Method: </strong>This study employed a cluster randomized controlled trial (cRCT) design. It involved 54 male basketball players aged 18 to 24 from three universities. The participants were randomly assigned to one of three groups: control group (CG), mental fatigue group (MFG), and mental fatigue-mindfulness group (MF-MG). Players in the MFG and MF-MG underwent a 30-minute Stroop task to induce MF. Subsequently, players in the MF-MG engaged in a 30-minute audio mindfulness intervention. Basketball tactical performance was assessed in the small side games (SSG).</p><p><strong>Results: </strong>There were no significant differences in total tactics observed across groups and over time. However, when examining specific tactical sub-variables, significant differences were found in ball reversal, dribble penetration into the key area, and off-ball screen between the CG and MFG in the post-test. Furthermore, significant differences were noted in ball reversal, dribble penetration into the key area, on-ball screen, and off-ball screen between the MFG and MF-MG in the post-test.</p><p><strong>Conclusion: </strong>The basketball tactical performances, particularly in areas such as ball reversal, dribble penetration into the key area, on-ball screen, and off-ball screen, were negatively impacted by MF. Notably, the brief mindfulness intervention effectively restored these performance aspects. This suggests that coaches and trainers should place increased emphasis on players' mental well-being and consider incorporating brief mindfulness interventions into their training programs. More studies that investigate mindfulness intervention on the comprehensive aspects of basketball performance should be focused on in the future.</p>\",\"PeriodicalId\":20189,\"journal\":{\"name\":\"PLoS ONE\",\"volume\":\"19 12\",\"pages\":\"e0306815\"},\"PeriodicalIF\":2.6000,\"publicationDate\":\"2024-12-31\",\"publicationTypes\":\"Journal Article\",\"fieldsOfStudy\":null,\"isOpenAccess\":false,\"openAccessPdf\":\"https://www.ncbi.nlm.nih.gov/pmc/articles/PMC11687761/pdf/\",\"citationCount\":\"0\",\"resultStr\":null,\"platform\":\"Semanticscholar\",\"paperid\":null,\"PeriodicalName\":\"PLoS ONE\",\"FirstCategoryId\":\"103\",\"ListUrlMain\":\"https://doi.org/10.1371/journal.pone.0306815\",\"RegionNum\":3,\"RegionCategory\":\"综合性期刊\",\"ArticlePicture\":[],\"TitleCN\":null,\"AbstractTextCN\":null,\"PMCID\":null,\"EPubDate\":\"2024/1/1 0:00:00\",\"PubModel\":\"eCollection\",\"JCR\":\"Q1\",\"JCRName\":\"MULTIDISCIPLINARY SCIENCES\",\"Score\":null,\"Total\":0}","platform":"Semanticscholar","paperid":null,"PeriodicalName":"PLoS ONE","FirstCategoryId":"103","ListUrlMain":"https://doi.org/10.1371/journal.pone.0306815","RegionNum":3,"RegionCategory":"综合性期刊","ArticlePicture":[],"TitleCN":null,"AbstractTextCN":null,"PMCID":null,"EPubDate":"2024/1/1 0:00:00","PubModel":"eCollection","JCR":"Q1","JCRName":"MULTIDISCIPLINARY SCIENCES","Score":null,"Total":0}
引用次数: 0

摘要

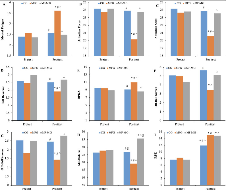
目的:研究足球、排球、篮球等体育运动中精神疲劳的危害。正念干预被认为是一种很有前途的方法来帮助球员对抗MF,但是否能提高比赛中MF后的篮球战术表现尚不清楚。本研究旨在探讨短时间正念干预对中频下篮球战术表现的影响。方法:采用整群随机对照试验(cRCT)设计。该研究涉及来自三所大学的54名18至24岁的男子篮球运动员。参与者被随机分为三组:对照组(CG)、精神疲劳组(MFG)和精神疲劳-正念组(MF-MG)。MFG组和MF- mg组的参与者接受了一个30分钟的Stroop任务来诱导MF。随后,MF-MG组的玩家进行了30分钟的音频正念干预。在小团体比赛中对篮球战术表现进行了评价。结果:在组间和时间内观察到的总战术没有显著差异。然而,当检查具体的战术子变量时,在后测试中,CG和MFG在球逆转,运球进入关键区域和无球掩护方面存在显著差异。此外,在后测中,MFG组和MF-MG组在球逆转、关键区域运球渗透、有球掩护和无球掩护方面存在显著差异。结论:MF对球员的篮球战术表现有显著的负面影响,尤其是在传球逆转、关键区域运球突破、持球掩护和无球掩护等方面。值得注意的是,短暂的正念干预有效地恢复了这些表现方面。这表明教练和训练师应该更加重视球员的心理健康,并考虑将短暂的正念干预纳入他们的训练计划中。未来应该关注更多关于正念干预对篮球表现综合方面影响的研究。
本文章由计算机程序翻译,如有差异,请以英文原文为准。

Effects of brief mindfulness intervention on mental fatigue and recovery in basketball tactical performance.

Effects of brief mindfulness intervention on mental fatigue and recovery in basketball tactical performance.

Effects of brief mindfulness intervention on mental fatigue and recovery in basketball tactical performance.

Effects of brief mindfulness intervention on mental fatigue and recovery in basketball tactical performance.

Objective: The detrimental effects of mental fatigue (MF) have been established in sports, such as soccer, volleyball, and basketball. Mindfulness interventions are considered a promising method to help players counteract MF, but whether it could improve basketball tactical performance after MF in competition is not clear. This study aims to investigate the effect of brief mindfulness intervention on basketball tactical performance under MF.

Method: This study employed a cluster randomized controlled trial (cRCT) design. It involved 54 male basketball players aged 18 to 24 from three universities. The participants were randomly assigned to one of three groups: control group (CG), mental fatigue group (MFG), and mental fatigue-mindfulness group (MF-MG). Players in the MFG and MF-MG underwent a 30-minute Stroop task to induce MF. Subsequently, players in the MF-MG engaged in a 30-minute audio mindfulness intervention. Basketball tactical performance was assessed in the small side games (SSG).

Results: There were no significant differences in total tactics observed across groups and over time. However, when examining specific tactical sub-variables, significant differences were found in ball reversal, dribble penetration into the key area, and off-ball screen between the CG and MFG in the post-test. Furthermore, significant differences were noted in ball reversal, dribble penetration into the key area, on-ball screen, and off-ball screen between the MFG and MF-MG in the post-test.

Conclusion: The basketball tactical performances, particularly in areas such as ball reversal, dribble penetration into the key area, on-ball screen, and off-ball screen, were negatively impacted by MF. Notably, the brief mindfulness intervention effectively restored these performance aspects. This suggests that coaches and trainers should place increased emphasis on players' mental well-being and consider incorporating brief mindfulness interventions into their training programs. More studies that investigate mindfulness intervention on the comprehensive aspects of basketball performance should be focused on in the future.

求助全文
通过发布文献求助,成功后即可免费获取论文全文。 去求助
来源期刊
PLoS ONE
PLoS ONE 生物-生物学
CiteScore
6.20
自引率
5.40%
发文量
14242
审稿时长
3.7 months
期刊介绍: PLOS ONE is an international, peer-reviewed, open-access, online publication. PLOS ONE welcomes reports on primary research from any scientific discipline. It provides: * Open-access—freely accessible online, authors retain copyright * Fast publication times * Peer review by expert, practicing researchers * Post-publication tools to indicate quality and impact * Community-based dialogue on articles * Worldwide media coverage
×
引用
GB/T 7714-2015
复制
MLA
复制
APA
复制
导出至
BibTeX EndNote RefMan NoteFirst NoteExpress
×
提示
您的信息不完整,为了账户安全,请先补充。
现在去补充
×
提示
您因"违规操作"
具体请查看互助需知
我知道了
×
提示
确定
请完成安全验证×
copy
已复制链接
快去分享给好友吧!
我知道了
右上角分享
点击右上角分享
0
联系我们:info@booksci.cn Book学术提供免费学术资源搜索服务,方便国内外学者检索中英文文献。致力于提供最便捷和优质的服务体验。 Copyright © 2023 布克学术 All rights reserved.
京ICP备2023020795号-1
ghs 京公网安备 11010802042870号
Book学术文献互助
Book学术文献互助群
群 号:604180095
Book学术官方微信