CPAP治疗对中重度睡眠呼吸暂停患者认知和疲劳的影响:一项纵向观察研究。

IF 2.1 Q3 CLINICAL NEUROLOGY
Oumaïma Benkirane, Olivier Mairesse, Philippe Peigneux
{"title":"CPAP治疗对中重度睡眠呼吸暂停患者认知和疲劳的影响:一项纵向观察研究。","authors":"Oumaïma Benkirane, Olivier Mairesse, Philippe Peigneux","doi":"10.3390/clockssleep6040051","DOIUrl":null,"url":null,"abstract":"<p><p>Continued solicitation of cognitive resources eventually leads to cognitive fatigue (CF), i.e., a decrease in cognitive efficiency that develops during sustained cognitive demands in conditions of constrained processing time, independently of sleepiness. The expression of CF and its impact on cognition are partly contingent upon prior sleep quality and its restorative effects. Sleep in obstructive sleep apnea (OSA) may be largely restored through the use of continuous positive airway pressure (CPAP) treatment, contributing to a gradual improvement in sleep quality. In this longitudinal observational study, we investigated immediate and longer-term behavioral effects of CPAP treatment on cognitive functioning, evaluating outcomes after the initiation of treatment, and at three and six months, in compliant CPAP-treated OSA patients. Results indicate that CPAP therapy significantly enhances subjective sleep quality and cognitive functions, including episodic memory, inhibition, sustained attention, working memory, and executive control. Noticeable performance improvements were observed in CF-inducing tasks, particularly after six months of CPAP use. Participants also reported substantial gains in quality of life, reduced daytime sleepiness, and improved mood. These results confirm that CPAP therapy not only alleviates immediate physiological disturbances associated with OSA, but also supports cognitive recovery and enhanced overall daily functioning.</p>","PeriodicalId":33568,"journal":{"name":"Clocks & Sleep","volume":"6 4","pages":"789-816"},"PeriodicalIF":2.1000,"publicationDate":"2024-12-23","publicationTypes":"Journal Article","fieldsOfStudy":null,"isOpenAccess":false,"openAccessPdf":"https://www.ncbi.nlm.nih.gov/pmc/articles/PMC11674386/pdf/","citationCount":"0","resultStr":"{\"title\":\"Impact of CPAP Therapy on Cognition and Fatigue in Patients with Moderate to Severe Sleep Apnea: A Longitudinal Observational Study.\",\"authors\":\"Oumaïma Benkirane, Olivier Mairesse, Philippe Peigneux\",\"doi\":\"10.3390/clockssleep6040051\",\"DOIUrl\":null,\"url\":null,\"abstract\":\"<p><p>Continued solicitation of cognitive resources eventually leads to cognitive fatigue (CF), i.e., a decrease in cognitive efficiency that develops during sustained cognitive demands in conditions of constrained processing time, independently of sleepiness. The expression of CF and its impact on cognition are partly contingent upon prior sleep quality and its restorative effects. Sleep in obstructive sleep apnea (OSA) may be largely restored through the use of continuous positive airway pressure (CPAP) treatment, contributing to a gradual improvement in sleep quality. In this longitudinal observational study, we investigated immediate and longer-term behavioral effects of CPAP treatment on cognitive functioning, evaluating outcomes after the initiation of treatment, and at three and six months, in compliant CPAP-treated OSA patients. Results indicate that CPAP therapy significantly enhances subjective sleep quality and cognitive functions, including episodic memory, inhibition, sustained attention, working memory, and executive control. Noticeable performance improvements were observed in CF-inducing tasks, particularly after six months of CPAP use. Participants also reported substantial gains in quality of life, reduced daytime sleepiness, and improved mood. These results confirm that CPAP therapy not only alleviates immediate physiological disturbances associated with OSA, but also supports cognitive recovery and enhanced overall daily functioning.</p>\",\"PeriodicalId\":33568,\"journal\":{\"name\":\"Clocks & Sleep\",\"volume\":\"6 4\",\"pages\":\"789-816\"},\"PeriodicalIF\":2.1000,\"publicationDate\":\"2024-12-23\",\"publicationTypes\":\"Journal Article\",\"fieldsOfStudy\":null,\"isOpenAccess\":false,\"openAccessPdf\":\"https://www.ncbi.nlm.nih.gov/pmc/articles/PMC11674386/pdf/\",\"citationCount\":\"0\",\"resultStr\":null,\"platform\":\"Semanticscholar\",\"paperid\":null,\"PeriodicalName\":\"Clocks & Sleep\",\"FirstCategoryId\":\"1085\",\"ListUrlMain\":\"https://doi.org/10.3390/clockssleep6040051\",\"RegionNum\":0,\"RegionCategory\":null,\"ArticlePicture\":[],\"TitleCN\":null,\"AbstractTextCN\":null,\"PMCID\":null,\"EPubDate\":\"\",\"PubModel\":\"\",\"JCR\":\"Q3\",\"JCRName\":\"CLINICAL NEUROLOGY\",\"Score\":null,\"Total\":0}","platform":"Semanticscholar","paperid":null,"PeriodicalName":"Clocks & Sleep","FirstCategoryId":"1085","ListUrlMain":"https://doi.org/10.3390/clockssleep6040051","RegionNum":0,"RegionCategory":null,"ArticlePicture":[],"TitleCN":null,"AbstractTextCN":null,"PMCID":null,"EPubDate":"","PubModel":"","JCR":"Q3","JCRName":"CLINICAL NEUROLOGY","Score":null,"Total":0}
引用次数: 0

摘要

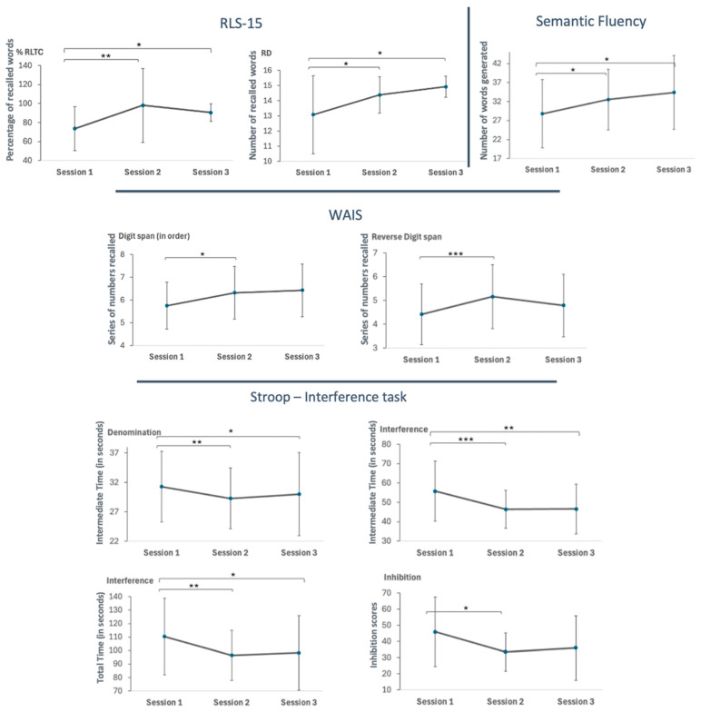
持续的认知资源请求最终导致认知疲劳(CF),也就是说,在有限的处理时间条件下,持续的认知需求会导致认知效率的下降,而与嗜睡无关。CF的表达及其对认知的影响部分取决于先前的睡眠质量及其恢复作用。阻塞性睡眠呼吸暂停(OSA)患者的睡眠可以通过持续气道正压通气(CPAP)治疗得到很大程度的恢复,有助于睡眠质量的逐步改善。在这项纵向观察研究中,我们调查了CPAP治疗对认知功能的即时和长期行为影响,评估了依从性CPAP治疗的OSA患者在治疗开始后、3个月和6个月时的结果。结果表明,CPAP治疗显著提高主观睡眠质量和认知功能,包括情景记忆、抑制、持续注意、工作记忆和执行控制。在cf诱导任务中观察到明显的性能改善,特别是在使用CPAP六个月后。参与者还报告说,他们的生活质量大幅提高,白天困倦减少,情绪也有所改善。这些结果证实,CPAP治疗不仅可以缓解与OSA相关的即时生理障碍,还可以支持认知恢复和增强整体日常功能。
本文章由计算机程序翻译,如有差异,请以英文原文为准。

Impact of CPAP Therapy on Cognition and Fatigue in Patients with Moderate to Severe Sleep Apnea: A Longitudinal Observational Study.

Impact of CPAP Therapy on Cognition and Fatigue in Patients with Moderate to Severe Sleep Apnea: A Longitudinal Observational Study.

Impact of CPAP Therapy on Cognition and Fatigue in Patients with Moderate to Severe Sleep Apnea: A Longitudinal Observational Study.

Impact of CPAP Therapy on Cognition and Fatigue in Patients with Moderate to Severe Sleep Apnea: A Longitudinal Observational Study.

Continued solicitation of cognitive resources eventually leads to cognitive fatigue (CF), i.e., a decrease in cognitive efficiency that develops during sustained cognitive demands in conditions of constrained processing time, independently of sleepiness. The expression of CF and its impact on cognition are partly contingent upon prior sleep quality and its restorative effects. Sleep in obstructive sleep apnea (OSA) may be largely restored through the use of continuous positive airway pressure (CPAP) treatment, contributing to a gradual improvement in sleep quality. In this longitudinal observational study, we investigated immediate and longer-term behavioral effects of CPAP treatment on cognitive functioning, evaluating outcomes after the initiation of treatment, and at three and six months, in compliant CPAP-treated OSA patients. Results indicate that CPAP therapy significantly enhances subjective sleep quality and cognitive functions, including episodic memory, inhibition, sustained attention, working memory, and executive control. Noticeable performance improvements were observed in CF-inducing tasks, particularly after six months of CPAP use. Participants also reported substantial gains in quality of life, reduced daytime sleepiness, and improved mood. These results confirm that CPAP therapy not only alleviates immediate physiological disturbances associated with OSA, but also supports cognitive recovery and enhanced overall daily functioning.

求助全文
通过发布文献求助,成功后即可免费获取论文全文。 去求助
来源期刊
Clocks & Sleep
Clocks & Sleep Multiple-
CiteScore
4.40
自引率
0.00%
发文量
0
审稿时长
7 weeks
×
引用
GB/T 7714-2015
复制
MLA
复制
APA
复制
导出至
BibTeX EndNote RefMan NoteFirst NoteExpress
×
提示
您的信息不完整,为了账户安全,请先补充。
现在去补充
×
提示
您因"违规操作"
具体请查看互助需知
我知道了
×
提示
确定
请完成安全验证×
copy
已复制链接
快去分享给好友吧!
我知道了
右上角分享
点击右上角分享
0
联系我们:info@booksci.cn Book学术提供免费学术资源搜索服务,方便国内外学者检索中英文文献。致力于提供最便捷和优质的服务体验。 Copyright © 2023 布克学术 All rights reserved.
京ICP备2023020795号-1
ghs 京公网安备 11010802042870号
Book学术文献互助
Book学术文献互助群
群 号:604180095
Book学术官方微信