退化高寒草甸近自然恢复后土壤碳储量的恢复和碳稳定的降低。

IF 3.9 2区 综合性期刊 Q1 MULTIDISCIPLINARY SCIENCES
Guoxing He, Xiaoni Liu, Yali Li, Heguang Xu, Tong Ji, Zhuoli Yang, Hao Qi, Chenglong Ma, Yunjun Wang, Degang Zhang, Dong Lin, Yafei Shi, Jiachang Jiang
{"title":"退化高寒草甸近自然恢复后土壤碳储量的恢复和碳稳定的降低。","authors":"Guoxing He, Xiaoni Liu, Yali Li, Heguang Xu, Tong Ji, Zhuoli Yang, Hao Qi, Chenglong Ma, Yunjun Wang, Degang Zhang, Dong Lin, Yafei Shi, Jiachang Jiang","doi":"10.1038/s41598-024-82434-3","DOIUrl":null,"url":null,"abstract":"<p><p>Near-natural restoration is acknowledged as an effective strategy for enhancing soil organic carbon (SOC) sequestration in degraded grasslands. However, the alterations in SOC fractions, stability, and relative sequestration capacity after restoration of degraded alpine meadows remain uncertain. In this study, we utilized the degraded alpine meadows on the northeastern edge of the Tibetan Plateau as a research area, with grazing as the control (CK) and restoration of 20 years of banned grazing (BG) and growing season resting grazing (RG). We analyzed the characteristics of SOC, SOC fractions, recalcitrant index (RI), and relative capacity of soil C sequestration (SCS<sub>capacity</sub>) under near-natural restoration measures. The objective of this study was to assess the recovery of SOC following near-natural restoration. The results showed that soil water content (SWC), SOC, soil total nitrogen (TN), and soil total phosphorus (TP) increased, while bulk density (BD) decreased in the degraded alpine meadow after near-natural restoration. In addition, near-natural restoration led to significant increases in particulate organic carbon (POC), readily oxidizable carbon (ROC), dissolved organic carbon (DOC), and microbial biomass carbon (MBC) content (P < 0.05). The SOC stock significantly increased, while the RI decreased. Compared to RG, BG had a greater increase in SOC stock. The study showed that 20 years of near-natural restoration in degraded alpine meadows mainly enhanced soil active carbon pools, while short-term restoration did not increase soil carbon stability. Therefore, avoiding re-exposure to overgrazing is essential to maintaining the restoration effect.</p>","PeriodicalId":21811,"journal":{"name":"Scientific Reports","volume":"14 1","pages":"31124"},"PeriodicalIF":3.9000,"publicationDate":"2024-12-28","publicationTypes":"Journal Article","fieldsOfStudy":null,"isOpenAccess":false,"openAccessPdf":"https://www.ncbi.nlm.nih.gov/pmc/articles/PMC11681000/pdf/","citationCount":"0","resultStr":"{\"title\":\"Recovery in soil carbon stocks but reduced carbon stabilization after near-natural restoration in degraded alpine meadows.\",\"authors\":\"Guoxing He, Xiaoni Liu, Yali Li, Heguang Xu, Tong Ji, Zhuoli Yang, Hao Qi, Chenglong Ma, Yunjun Wang, Degang Zhang, Dong Lin, Yafei Shi, Jiachang Jiang\",\"doi\":\"10.1038/s41598-024-82434-3\",\"DOIUrl\":null,\"url\":null,\"abstract\":\"<p><p>Near-natural restoration is acknowledged as an effective strategy for enhancing soil organic carbon (SOC) sequestration in degraded grasslands. However, the alterations in SOC fractions, stability, and relative sequestration capacity after restoration of degraded alpine meadows remain uncertain. In this study, we utilized the degraded alpine meadows on the northeastern edge of the Tibetan Plateau as a research area, with grazing as the control (CK) and restoration of 20 years of banned grazing (BG) and growing season resting grazing (RG). We analyzed the characteristics of SOC, SOC fractions, recalcitrant index (RI), and relative capacity of soil C sequestration (SCS<sub>capacity</sub>) under near-natural restoration measures. The objective of this study was to assess the recovery of SOC following near-natural restoration. The results showed that soil water content (SWC), SOC, soil total nitrogen (TN), and soil total phosphorus (TP) increased, while bulk density (BD) decreased in the degraded alpine meadow after near-natural restoration. In addition, near-natural restoration led to significant increases in particulate organic carbon (POC), readily oxidizable carbon (ROC), dissolved organic carbon (DOC), and microbial biomass carbon (MBC) content (P < 0.05). The SOC stock significantly increased, while the RI decreased. Compared to RG, BG had a greater increase in SOC stock. The study showed that 20 years of near-natural restoration in degraded alpine meadows mainly enhanced soil active carbon pools, while short-term restoration did not increase soil carbon stability. Therefore, avoiding re-exposure to overgrazing is essential to maintaining the restoration effect.</p>\",\"PeriodicalId\":21811,\"journal\":{\"name\":\"Scientific Reports\",\"volume\":\"14 1\",\"pages\":\"31124\"},\"PeriodicalIF\":3.9000,\"publicationDate\":\"2024-12-28\",\"publicationTypes\":\"Journal Article\",\"fieldsOfStudy\":null,\"isOpenAccess\":false,\"openAccessPdf\":\"https://www.ncbi.nlm.nih.gov/pmc/articles/PMC11681000/pdf/\",\"citationCount\":\"0\",\"resultStr\":null,\"platform\":\"Semanticscholar\",\"paperid\":null,\"PeriodicalName\":\"Scientific Reports\",\"FirstCategoryId\":\"103\",\"ListUrlMain\":\"https://doi.org/10.1038/s41598-024-82434-3\",\"RegionNum\":2,\"RegionCategory\":\"综合性期刊\",\"ArticlePicture\":[],\"TitleCN\":null,\"AbstractTextCN\":null,\"PMCID\":null,\"EPubDate\":\"\",\"PubModel\":\"\",\"JCR\":\"Q1\",\"JCRName\":\"MULTIDISCIPLINARY SCIENCES\",\"Score\":null,\"Total\":0}","platform":"Semanticscholar","paperid":null,"PeriodicalName":"Scientific Reports","FirstCategoryId":"103","ListUrlMain":"https://doi.org/10.1038/s41598-024-82434-3","RegionNum":2,"RegionCategory":"综合性期刊","ArticlePicture":[],"TitleCN":null,"AbstractTextCN":null,"PMCID":null,"EPubDate":"","PubModel":"","JCR":"Q1","JCRName":"MULTIDISCIPLINARY SCIENCES","Score":null,"Total":0}
引用次数: 0

摘要

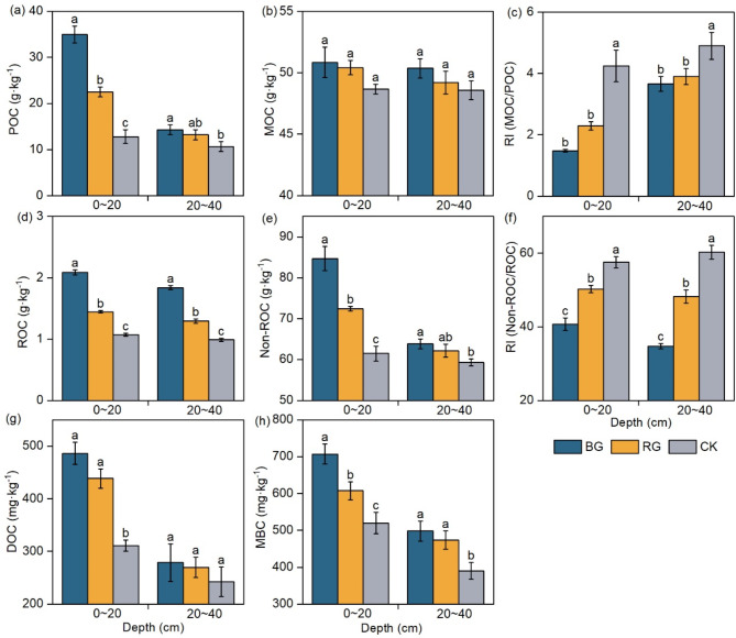
近自然恢复是增强退化草地土壤有机碳固存的有效策略。然而,退化的高寒草甸恢复后有机碳组分、稳定性和相对固碳能力的变化仍不确定。本研究以青藏高原东北缘退化的高寒草甸为研究区,以放牧为对照(CK),恢复20年禁牧(BG)和生长季休牧(RG)。分析了近自然恢复措施下土壤有机碳(SOC)、有机碳组分、顽固性指数(RI)和相对固碳能力(SCScapacity)的特征。本研究的目的是评估近自然恢复后土壤有机碳的恢复。结果表明:近自然恢复后,退化的高寒草甸土壤含水量(SWC)、有机碳(SOC)、全氮(TN)和全磷(TP)增加,容重(BD)降低;此外,近自然恢复导致颗粒有机碳(POC)、易氧化碳(ROC)、溶解有机碳(DOC)和微生物生物量碳(MBC)含量显著增加
本文章由计算机程序翻译,如有差异,请以英文原文为准。

Recovery in soil carbon stocks but reduced carbon stabilization after near-natural restoration in degraded alpine meadows.

Recovery in soil carbon stocks but reduced carbon stabilization after near-natural restoration in degraded alpine meadows.

Recovery in soil carbon stocks but reduced carbon stabilization after near-natural restoration in degraded alpine meadows.

Recovery in soil carbon stocks but reduced carbon stabilization after near-natural restoration in degraded alpine meadows.

Near-natural restoration is acknowledged as an effective strategy for enhancing soil organic carbon (SOC) sequestration in degraded grasslands. However, the alterations in SOC fractions, stability, and relative sequestration capacity after restoration of degraded alpine meadows remain uncertain. In this study, we utilized the degraded alpine meadows on the northeastern edge of the Tibetan Plateau as a research area, with grazing as the control (CK) and restoration of 20 years of banned grazing (BG) and growing season resting grazing (RG). We analyzed the characteristics of SOC, SOC fractions, recalcitrant index (RI), and relative capacity of soil C sequestration (SCScapacity) under near-natural restoration measures. The objective of this study was to assess the recovery of SOC following near-natural restoration. The results showed that soil water content (SWC), SOC, soil total nitrogen (TN), and soil total phosphorus (TP) increased, while bulk density (BD) decreased in the degraded alpine meadow after near-natural restoration. In addition, near-natural restoration led to significant increases in particulate organic carbon (POC), readily oxidizable carbon (ROC), dissolved organic carbon (DOC), and microbial biomass carbon (MBC) content (P < 0.05). The SOC stock significantly increased, while the RI decreased. Compared to RG, BG had a greater increase in SOC stock. The study showed that 20 years of near-natural restoration in degraded alpine meadows mainly enhanced soil active carbon pools, while short-term restoration did not increase soil carbon stability. Therefore, avoiding re-exposure to overgrazing is essential to maintaining the restoration effect.

求助全文
通过发布文献求助,成功后即可免费获取论文全文。 去求助
来源期刊
Scientific Reports
Scientific Reports Natural Science Disciplines-
CiteScore
7.50
自引率
4.30%
发文量
19567
审稿时长
3.9 months
期刊介绍: We publish original research from all areas of the natural sciences, psychology, medicine and engineering. You can learn more about what we publish by browsing our specific scientific subject areas below or explore Scientific Reports by browsing all articles and collections. Scientific Reports has a 2-year impact factor: 4.380 (2021), and is the 6th most-cited journal in the world, with more than 540,000 citations in 2020 (Clarivate Analytics, 2021). •Engineering Engineering covers all aspects of engineering, technology, and applied science. It plays a crucial role in the development of technologies to address some of the world''s biggest challenges, helping to save lives and improve the way we live. •Physical sciences Physical sciences are those academic disciplines that aim to uncover the underlying laws of nature — often written in the language of mathematics. It is a collective term for areas of study including astronomy, chemistry, materials science and physics. •Earth and environmental sciences Earth and environmental sciences cover all aspects of Earth and planetary science and broadly encompass solid Earth processes, surface and atmospheric dynamics, Earth system history, climate and climate change, marine and freshwater systems, and ecology. It also considers the interactions between humans and these systems. •Biological sciences Biological sciences encompass all the divisions of natural sciences examining various aspects of vital processes. The concept includes anatomy, physiology, cell biology, biochemistry and biophysics, and covers all organisms from microorganisms, animals to plants. •Health sciences The health sciences study health, disease and healthcare. This field of study aims to develop knowledge, interventions and technology for use in healthcare to improve the treatment of patients.
×
引用
GB/T 7714-2015
复制
MLA
复制
APA
复制
导出至
BibTeX EndNote RefMan NoteFirst NoteExpress
×
提示
您的信息不完整,为了账户安全,请先补充。
现在去补充
×
提示
您因"违规操作"
具体请查看互助需知
我知道了
×
提示
确定
请完成安全验证×
copy
已复制链接
快去分享给好友吧!
我知道了
右上角分享
点击右上角分享
0
联系我们:info@booksci.cn Book学术提供免费学术资源搜索服务,方便国内外学者检索中英文文献。致力于提供最便捷和优质的服务体验。 Copyright © 2023 布克学术 All rights reserved.
京ICP备2023020795号-1
ghs 京公网安备 11010802042870号
Book学术文献互助
Book学术文献互助群
群 号:604180095
Book学术官方微信