动脉粥样硬化性血脂异常与隐源性卒中的主动脉并发症密切相关。

IF 2.8 2区 医学 Q2 PERIPHERAL VASCULAR DISEASE
Journal of atherosclerosis and thrombosis Pub Date : 2025-07-01 Epub Date: 2024-12-26 DOI:10.5551/jat.65289
Muneaki Kikuno, Yuji Ueno, Yohei Tateishi, Ayako Kuriki, Ryosuke Doijiri, Takahiro Shimizu, Hidehiro Takekawa, Kodai Kanemaru, Yoshiaki Shimada, Eriko Yamaguchi, Masatoshi Koga, Yuki Kamiya, Masafumi Ihara, Akira Tsujino, Koichi Hirata, Yasuhiro Hasegawa, Hitoshi Aizawa, Hiroo Terashi, Nobutaka Hattori, Takao Urabe
{"title":"动脉粥样硬化性血脂异常与隐源性卒中的主动脉并发症密切相关。","authors":"Muneaki Kikuno, Yuji Ueno, Yohei Tateishi, Ayako Kuriki, Ryosuke Doijiri, Takahiro Shimizu, Hidehiro Takekawa, Kodai Kanemaru, Yoshiaki Shimada, Eriko Yamaguchi, Masatoshi Koga, Yuki Kamiya, Masafumi Ihara, Akira Tsujino, Koichi Hirata, Yasuhiro Hasegawa, Hitoshi Aizawa, Hiroo Terashi, Nobutaka Hattori, Takao Urabe","doi":"10.5551/jat.65289","DOIUrl":null,"url":null,"abstract":"<p><strong>Aims: </strong>Atherogenic dyslipidemia (AD) is regarded as a residual risk of cardiovascular diseases characterized by low high-density lipoprotein cholesterol (HDL-C) and high triglyceride (TG) levels and related to the intracranial stenosis of atheromatous thrombotic brain infarction (ATBI). Further, atherosclerosis is possibly related to another stroke subtype, including cryptogenic stroke (CS). In particular, an aortic complicated lesion (ACL) is a notable embolic source of CS, since recurrence of aortogenic brain embolism is not rare. This study aimed to clarify the underlying association between AD and CS.</p><p><strong>Methods: </strong>CHALLENGE ESUS/CS (Mechanisms of Embolic Stroke Clarified by Transesophageal Echocardiography for ESUS/CS) had extensive data from CS patients who underwent transesophageal echocardiography (TEE). AD was defined as HDL-C ≤ 40 mg/dl and TG ≥ 150 mg/dl. Based on these criteria, patients were divided into an AD group and a non-AD group to compare the clinical features.</p><p><strong>Results: </strong>Of 664 CS patients (446 men, 68.7±12.8 years), 68 (10.2%) met the criteria of AD (AD group), and 596 (89.8%) were in the non-AD group. On multiple logistic regression analysis, body mass index (unit OR 1.11, 95%CI 1.04-1.19, p=0.002), diabetes mellitus (OR 2.23, 95%CI 1.28-3.87, p=0.004), ACL in the arch (OR 1.89, 95%CI 1.09-3.31, p=0.025), and deterioration during hospitalization (OR 3.96, 95%CI 1.32-10.68, p=0.009) were independently associated with AD.</p><p><strong>Conclusion: </strong>AD was not rare in the present CS population. Moreover, AD was crucially related to ACL in CS. Therefore, intensive and pleiotropic lipid-modifying therapy would be efficacious for further treatment of aortogenic brain embolism.</p>","PeriodicalId":15128,"journal":{"name":"Journal of atherosclerosis and thrombosis","volume":" ","pages":"804-822"},"PeriodicalIF":2.8000,"publicationDate":"2025-07-01","publicationTypes":"Journal Article","fieldsOfStudy":null,"isOpenAccess":false,"openAccessPdf":"https://www.ncbi.nlm.nih.gov/pmc/articles/PMC12237763/pdf/","citationCount":"0","resultStr":"{\"title\":\"Atherogenic Dyslipidemia Is Critically Related to Aortic Complicated Lesions in Cryptogenic Stroke.\",\"authors\":\"Muneaki Kikuno, Yuji Ueno, Yohei Tateishi, Ayako Kuriki, Ryosuke Doijiri, Takahiro Shimizu, Hidehiro Takekawa, Kodai Kanemaru, Yoshiaki Shimada, Eriko Yamaguchi, Masatoshi Koga, Yuki Kamiya, Masafumi Ihara, Akira Tsujino, Koichi Hirata, Yasuhiro Hasegawa, Hitoshi Aizawa, Hiroo Terashi, Nobutaka Hattori, Takao Urabe\",\"doi\":\"10.5551/jat.65289\",\"DOIUrl\":null,\"url\":null,\"abstract\":\"<p><strong>Aims: </strong>Atherogenic dyslipidemia (AD) is regarded as a residual risk of cardiovascular diseases characterized by low high-density lipoprotein cholesterol (HDL-C) and high triglyceride (TG) levels and related to the intracranial stenosis of atheromatous thrombotic brain infarction (ATBI). Further, atherosclerosis is possibly related to another stroke subtype, including cryptogenic stroke (CS). In particular, an aortic complicated lesion (ACL) is a notable embolic source of CS, since recurrence of aortogenic brain embolism is not rare. This study aimed to clarify the underlying association between AD and CS.</p><p><strong>Methods: </strong>CHALLENGE ESUS/CS (Mechanisms of Embolic Stroke Clarified by Transesophageal Echocardiography for ESUS/CS) had extensive data from CS patients who underwent transesophageal echocardiography (TEE). AD was defined as HDL-C ≤ 40 mg/dl and TG ≥ 150 mg/dl. Based on these criteria, patients were divided into an AD group and a non-AD group to compare the clinical features.</p><p><strong>Results: </strong>Of 664 CS patients (446 men, 68.7±12.8 years), 68 (10.2%) met the criteria of AD (AD group), and 596 (89.8%) were in the non-AD group. On multiple logistic regression analysis, body mass index (unit OR 1.11, 95%CI 1.04-1.19, p=0.002), diabetes mellitus (OR 2.23, 95%CI 1.28-3.87, p=0.004), ACL in the arch (OR 1.89, 95%CI 1.09-3.31, p=0.025), and deterioration during hospitalization (OR 3.96, 95%CI 1.32-10.68, p=0.009) were independently associated with AD.</p><p><strong>Conclusion: </strong>AD was not rare in the present CS population. Moreover, AD was crucially related to ACL in CS. Therefore, intensive and pleiotropic lipid-modifying therapy would be efficacious for further treatment of aortogenic brain embolism.</p>\",\"PeriodicalId\":15128,\"journal\":{\"name\":\"Journal of atherosclerosis and thrombosis\",\"volume\":\" \",\"pages\":\"804-822\"},\"PeriodicalIF\":2.8000,\"publicationDate\":\"2025-07-01\",\"publicationTypes\":\"Journal Article\",\"fieldsOfStudy\":null,\"isOpenAccess\":false,\"openAccessPdf\":\"https://www.ncbi.nlm.nih.gov/pmc/articles/PMC12237763/pdf/\",\"citationCount\":\"0\",\"resultStr\":null,\"platform\":\"Semanticscholar\",\"paperid\":null,\"PeriodicalName\":\"Journal of atherosclerosis and thrombosis\",\"FirstCategoryId\":\"3\",\"ListUrlMain\":\"https://doi.org/10.5551/jat.65289\",\"RegionNum\":2,\"RegionCategory\":\"医学\",\"ArticlePicture\":[],\"TitleCN\":null,\"AbstractTextCN\":null,\"PMCID\":null,\"EPubDate\":\"2024/12/26 0:00:00\",\"PubModel\":\"Epub\",\"JCR\":\"Q2\",\"JCRName\":\"PERIPHERAL VASCULAR DISEASE\",\"Score\":null,\"Total\":0}","platform":"Semanticscholar","paperid":null,"PeriodicalName":"Journal of atherosclerosis and thrombosis","FirstCategoryId":"3","ListUrlMain":"https://doi.org/10.5551/jat.65289","RegionNum":2,"RegionCategory":"医学","ArticlePicture":[],"TitleCN":null,"AbstractTextCN":null,"PMCID":null,"EPubDate":"2024/12/26 0:00:00","PubModel":"Epub","JCR":"Q2","JCRName":"PERIPHERAL VASCULAR DISEASE","Score":null,"Total":0}
引用次数: 0

摘要

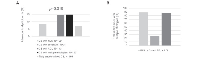
目的:动脉粥样硬化性血脂异常(AD)被认为是一种以低高密度脂蛋白胆固醇(HDL-C)和高甘油三酯(TG)水平为特征的心血管疾病的残留风险,与动脉粥样硬化性血栓性脑梗死(ATBI)颅内狭窄有关。此外,动脉粥样硬化可能与另一种中风亚型有关,包括隐源性中风(CS)。特别是主动脉复杂性病变(ACL)是一个值得注意的CS栓塞源,因为主动脉源性脑栓塞的复发并不罕见。本研究旨在阐明AD与CS之间的潜在关联。方法:挑战ESUS/CS (ESUS/CS的经食管超声心动图阐明栓塞性卒中的机制)从接受经食管超声心动图(TEE)的CS患者中获得了广泛的数据。AD定义为HDL-C≤40 mg/dl, TG≥150 mg/dl。根据这些标准,将患者分为AD组和非AD组,比较临床特征。结果:664例CS患者(男性446例,68.7±12.8岁)中,符合AD标准的有68例(10.2%)(AD组),非AD组596例(89.8%)。多元logistic回归分析显示,体重指数(单位OR 1.11, 95%CI 1.04-1.19, p=0.002)、糖尿病(OR 2.23, 95%CI 1.28-3.87, p=0.004)、足弓前交叉韧带(OR 1.89, 95%CI 1.09-3.31, p=0.025)、住院期间病情恶化(OR 3.96, 95%CI 1.32-10.68, p=0.009)与AD独立相关。结论:AD在CS人群中并不少见。此外,在CS中,AD与ACL的关系至关重要。因此,强化和多效性脂质调节治疗将是进一步治疗主动脉源性脑栓塞的有效方法。
本文章由计算机程序翻译,如有差异,请以英文原文为准。

Atherogenic Dyslipidemia Is Critically Related to Aortic Complicated Lesions in Cryptogenic Stroke.

Atherogenic Dyslipidemia Is Critically Related to Aortic Complicated Lesions in Cryptogenic Stroke.

Atherogenic Dyslipidemia Is Critically Related to Aortic Complicated Lesions in Cryptogenic Stroke.

Atherogenic Dyslipidemia Is Critically Related to Aortic Complicated Lesions in Cryptogenic Stroke.

Aims: Atherogenic dyslipidemia (AD) is regarded as a residual risk of cardiovascular diseases characterized by low high-density lipoprotein cholesterol (HDL-C) and high triglyceride (TG) levels and related to the intracranial stenosis of atheromatous thrombotic brain infarction (ATBI). Further, atherosclerosis is possibly related to another stroke subtype, including cryptogenic stroke (CS). In particular, an aortic complicated lesion (ACL) is a notable embolic source of CS, since recurrence of aortogenic brain embolism is not rare. This study aimed to clarify the underlying association between AD and CS.

Methods: CHALLENGE ESUS/CS (Mechanisms of Embolic Stroke Clarified by Transesophageal Echocardiography for ESUS/CS) had extensive data from CS patients who underwent transesophageal echocardiography (TEE). AD was defined as HDL-C ≤ 40 mg/dl and TG ≥ 150 mg/dl. Based on these criteria, patients were divided into an AD group and a non-AD group to compare the clinical features.

Results: Of 664 CS patients (446 men, 68.7±12.8 years), 68 (10.2%) met the criteria of AD (AD group), and 596 (89.8%) were in the non-AD group. On multiple logistic regression analysis, body mass index (unit OR 1.11, 95%CI 1.04-1.19, p=0.002), diabetes mellitus (OR 2.23, 95%CI 1.28-3.87, p=0.004), ACL in the arch (OR 1.89, 95%CI 1.09-3.31, p=0.025), and deterioration during hospitalization (OR 3.96, 95%CI 1.32-10.68, p=0.009) were independently associated with AD.

Conclusion: AD was not rare in the present CS population. Moreover, AD was crucially related to ACL in CS. Therefore, intensive and pleiotropic lipid-modifying therapy would be efficacious for further treatment of aortogenic brain embolism.

求助全文
通过发布文献求助,成功后即可免费获取论文全文。 去求助
来源期刊
CiteScore
6.60
自引率
15.90%
发文量
271
审稿时长
1 months
期刊介绍: JAT publishes articles focused on all aspects of research on atherosclerosis, vascular biology, thrombosis, lipid and metabolism.
×
引用
GB/T 7714-2015
复制
MLA
复制
APA
复制
导出至
BibTeX EndNote RefMan NoteFirst NoteExpress
×
提示
您的信息不完整,为了账户安全,请先补充。
现在去补充
×
提示
您因"违规操作"
具体请查看互助需知
我知道了
×
提示
确定
请完成安全验证×
copy
已复制链接
快去分享给好友吧!
我知道了
右上角分享
点击右上角分享
0
联系我们:info@booksci.cn Book学术提供免费学术资源搜索服务,方便国内外学者检索中英文文献。致力于提供最便捷和优质的服务体验。 Copyright © 2023 布克学术 All rights reserved.
京ICP备2023020795号-1
ghs 京公网安备 11010802042870号
Book学术文献互助
Book学术文献互助群
群 号:604180095
Book学术官方微信