比较接受持久vad与移植患者的精神健康和物质使用障碍:TriNetX数据库分析

IF 1.3 4区 医学 Q4 ENGINEERING, BIOMEDICAL
Chloe Grzyb, Dongping Du, Balakrishnan Mahesh, Nandini Nair
{"title":"比较接受持久vad与移植患者的精神健康和物质使用障碍:TriNetX数据库分析","authors":"Chloe Grzyb, Dongping Du, Balakrishnan Mahesh, Nandini Nair","doi":"10.1177/03913988241305309","DOIUrl":null,"url":null,"abstract":"<p><p>Ventricular assist device (VAD) and cardiac transplant patients experience significant strain on their physical and mental wellbeing postoperatively. Mental health and substance use disorders (MHDs and SUDs) have substantial effects on the quality of life and compliance of transplant and VAD patients. In this study, we compare and characterize MHDs and SUDs between VAD and cardiac allograft patients and transplant list patients with and without VADs. This study compares the incidence of MHDs and SUDs between VAD and cardiac transplant patients. Cohorts were defined using ICD-10 codes in TriNetX, a large public database. Patient characteristics were matched by using propensity score matching. Incidence was analyzed using the log-rank test. Statistical significance was set at <i>p</i> < 0.05. Survival analysis showed a statistically significant impact of adjustment disorder, nicotine dependence, and mood disorder in VAD patients as compared to cardiac allograft recipients. Depression and opioid use disorder had a significantly higher incidence in post-transplant patients compared to their VAD counterparts. Survival analysis showed that PTSD and mood disorder had a statistically significant effect on the patients waiting on transplant wait list without VADs as compared to those with VADs. MHDs and SUDs have profound implications on quality of life, survival, and medication compliance. The incidence of MHDs and SUDs differed between VAD versus cardiac transplant patients as well as the patients on the transplant waitlist with and without VADs. Mental health resources should be tailored to address risk factors that may be unique to each group of patients.</p>","PeriodicalId":13932,"journal":{"name":"International Journal of Artificial Organs","volume":" ","pages":"15-22"},"PeriodicalIF":1.3000,"publicationDate":"2025-01-01","publicationTypes":"Journal Article","fieldsOfStudy":null,"isOpenAccess":false,"openAccessPdf":"https://www.ncbi.nlm.nih.gov/pmc/articles/PMC11762330/pdf/","citationCount":"0","resultStr":"{\"title\":\"Comparing mental health and substance use disorders in patients receiving durable VADs versus transplants: A TriNetX database analysis.\",\"authors\":\"Chloe Grzyb, Dongping Du, Balakrishnan Mahesh, Nandini Nair\",\"doi\":\"10.1177/03913988241305309\",\"DOIUrl\":null,\"url\":null,\"abstract\":\"<p><p>Ventricular assist device (VAD) and cardiac transplant patients experience significant strain on their physical and mental wellbeing postoperatively. Mental health and substance use disorders (MHDs and SUDs) have substantial effects on the quality of life and compliance of transplant and VAD patients. In this study, we compare and characterize MHDs and SUDs between VAD and cardiac allograft patients and transplant list patients with and without VADs. This study compares the incidence of MHDs and SUDs between VAD and cardiac transplant patients. Cohorts were defined using ICD-10 codes in TriNetX, a large public database. Patient characteristics were matched by using propensity score matching. Incidence was analyzed using the log-rank test. Statistical significance was set at <i>p</i> < 0.05. Survival analysis showed a statistically significant impact of adjustment disorder, nicotine dependence, and mood disorder in VAD patients as compared to cardiac allograft recipients. Depression and opioid use disorder had a significantly higher incidence in post-transplant patients compared to their VAD counterparts. Survival analysis showed that PTSD and mood disorder had a statistically significant effect on the patients waiting on transplant wait list without VADs as compared to those with VADs. MHDs and SUDs have profound implications on quality of life, survival, and medication compliance. The incidence of MHDs and SUDs differed between VAD versus cardiac transplant patients as well as the patients on the transplant waitlist with and without VADs. Mental health resources should be tailored to address risk factors that may be unique to each group of patients.</p>\",\"PeriodicalId\":13932,\"journal\":{\"name\":\"International Journal of Artificial Organs\",\"volume\":\" \",\"pages\":\"15-22\"},\"PeriodicalIF\":1.3000,\"publicationDate\":\"2025-01-01\",\"publicationTypes\":\"Journal Article\",\"fieldsOfStudy\":null,\"isOpenAccess\":false,\"openAccessPdf\":\"https://www.ncbi.nlm.nih.gov/pmc/articles/PMC11762330/pdf/\",\"citationCount\":\"0\",\"resultStr\":null,\"platform\":\"Semanticscholar\",\"paperid\":null,\"PeriodicalName\":\"International Journal of Artificial Organs\",\"FirstCategoryId\":\"5\",\"ListUrlMain\":\"https://doi.org/10.1177/03913988241305309\",\"RegionNum\":4,\"RegionCategory\":\"医学\",\"ArticlePicture\":[],\"TitleCN\":null,\"AbstractTextCN\":null,\"PMCID\":null,\"EPubDate\":\"2024/12/26 0:00:00\",\"PubModel\":\"Epub\",\"JCR\":\"Q4\",\"JCRName\":\"ENGINEERING, BIOMEDICAL\",\"Score\":null,\"Total\":0}","platform":"Semanticscholar","paperid":null,"PeriodicalName":"International Journal of Artificial Organs","FirstCategoryId":"5","ListUrlMain":"https://doi.org/10.1177/03913988241305309","RegionNum":4,"RegionCategory":"医学","ArticlePicture":[],"TitleCN":null,"AbstractTextCN":null,"PMCID":null,"EPubDate":"2024/12/26 0:00:00","PubModel":"Epub","JCR":"Q4","JCRName":"ENGINEERING, BIOMEDICAL","Score":null,"Total":0}
引用次数: 0

摘要

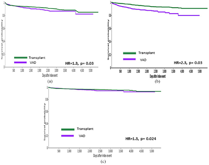
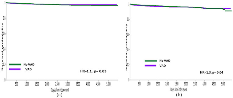
心室辅助装置(VAD)和心脏移植术后患者的身心健康承受着巨大的压力。精神健康和物质使用障碍(mhd和SUDs)对移植和VAD患者的生活质量和依从性有重大影响。在这项研究中,我们比较和表征了VAD和心脏异体移植患者以及有和没有VAD的移植名单患者的mhd和sud。本研究比较了VAD和心脏移植患者mhd和sud的发生率。使用TriNetX(一个大型公共数据库)中的ICD-10代码定义队列。采用倾向评分匹配对患者特征进行匹配。发生率分析采用log-rank检验。统计学意义设为p
本文章由计算机程序翻译,如有差异,请以英文原文为准。

Comparing mental health and substance use disorders in patients receiving durable VADs versus transplants: A TriNetX database analysis.

Comparing mental health and substance use disorders in patients receiving durable VADs versus transplants: A TriNetX database analysis.

Comparing mental health and substance use disorders in patients receiving durable VADs versus transplants: A TriNetX database analysis.

Comparing mental health and substance use disorders in patients receiving durable VADs versus transplants: A TriNetX database analysis.

Ventricular assist device (VAD) and cardiac transplant patients experience significant strain on their physical and mental wellbeing postoperatively. Mental health and substance use disorders (MHDs and SUDs) have substantial effects on the quality of life and compliance of transplant and VAD patients. In this study, we compare and characterize MHDs and SUDs between VAD and cardiac allograft patients and transplant list patients with and without VADs. This study compares the incidence of MHDs and SUDs between VAD and cardiac transplant patients. Cohorts were defined using ICD-10 codes in TriNetX, a large public database. Patient characteristics were matched by using propensity score matching. Incidence was analyzed using the log-rank test. Statistical significance was set at p < 0.05. Survival analysis showed a statistically significant impact of adjustment disorder, nicotine dependence, and mood disorder in VAD patients as compared to cardiac allograft recipients. Depression and opioid use disorder had a significantly higher incidence in post-transplant patients compared to their VAD counterparts. Survival analysis showed that PTSD and mood disorder had a statistically significant effect on the patients waiting on transplant wait list without VADs as compared to those with VADs. MHDs and SUDs have profound implications on quality of life, survival, and medication compliance. The incidence of MHDs and SUDs differed between VAD versus cardiac transplant patients as well as the patients on the transplant waitlist with and without VADs. Mental health resources should be tailored to address risk factors that may be unique to each group of patients.

求助全文
通过发布文献求助,成功后即可免费获取论文全文。 去求助
来源期刊
International Journal of Artificial Organs
International Journal of Artificial Organs 医学-工程:生物医学
CiteScore
3.40
自引率
5.90%
发文量
92
审稿时长
3 months
期刊介绍: The International Journal of Artificial Organs (IJAO) publishes peer-reviewed research and clinical, experimental and theoretical, contributions to the field of artificial, bioartificial and tissue-engineered organs. The mission of the IJAO is to foster the development and optimization of artificial, bioartificial and tissue-engineered organs, for implantation or use in procedures, to treat functional deficits of all human tissues and organs.
×
引用
GB/T 7714-2015
复制
MLA
复制
APA
复制
导出至
BibTeX EndNote RefMan NoteFirst NoteExpress
×
提示
您的信息不完整,为了账户安全,请先补充。
现在去补充
×
提示
您因"违规操作"
具体请查看互助需知
我知道了
×
提示
确定
请完成安全验证×
copy
已复制链接
快去分享给好友吧!
我知道了
右上角分享
点击右上角分享
0
联系我们:info@booksci.cn Book学术提供免费学术资源搜索服务,方便国内外学者检索中英文文献。致力于提供最便捷和优质的服务体验。 Copyright © 2023 布克学术 All rights reserved.
京ICP备2023020795号-1
ghs 京公网安备 11010802042870号
Book学术文献互助
Book学术文献互助群
群 号:604180095
Book学术官方微信