黑兵蝇幼虫:一种研究缓慢生长鸡肠道、器官健康和肉质反应的单一健康方法。

IF 2.6 2区 农林科学 Q1 VETERINARY SCIENCES
Edoardo Fiorilla, Ilario Ferrocino, Marta Gariglio, Francesco Gai, Valeria Zambotto, Laura Ozella, Irene Franciosa, Marzia Giribaldi, Sara Antoniazzi, Federica Raspa, Eleonora Erika Cappone, Dmitri Fabrikov, Sara Pozzo, Valentina Bongiorno, Alice Calissano, Dorotea Ippolito, Stefania Bergagna, Karthika Srikanthithasan, Claudio Forte, Maria Teresa Capucchio, Achille Schiavone
{"title":"黑兵蝇幼虫:一种研究缓慢生长鸡肠道、器官健康和肉质反应的单一健康方法。","authors":"Edoardo Fiorilla, Ilario Ferrocino, Marta Gariglio, Francesco Gai, Valeria Zambotto, Laura Ozella, Irene Franciosa, Marzia Giribaldi, Sara Antoniazzi, Federica Raspa, Eleonora Erika Cappone, Dmitri Fabrikov, Sara Pozzo, Valentina Bongiorno, Alice Calissano, Dorotea Ippolito, Stefania Bergagna, Karthika Srikanthithasan, Claudio Forte, Maria Teresa Capucchio, Achille Schiavone","doi":"10.1186/s12917-024-04394-0","DOIUrl":null,"url":null,"abstract":"<p><strong>Background: </strong>The inclusion of sustainable protein sources in poultry feed has become essential for improving animal welfare in livestock production. Black soldier fly larvae are a promising solution due to their high protein content and sustainable production. However, most research has focused on fast-growing poultry breeds, while the effects on native breeds, such as the Bianca di Saluzzo, are less explored. This study aimed to evaluate the impact of BSFL supplementation in the diet of slow-growing chickens, with a focus on growth, intestinal health and meat quality for final consumers.</p><p><strong>Results: </strong>The study demonstrated that Black soldier fly larvae supplementation, both in dehydrated and live form, improved growth performance, with an increase in final weights compared to the control group. No significant differences were found in feed conversion ratio, liver and spleen weight or histomorphometry between groups. Black soldier fly larvae supplementation did not negatively affect immune function or liver metabolism. Higher production propionic acid was detected in the black soldier fly larvae fed groups compared to the control, suggesting an effect on volatile fatty acid production. Gut microbiota analysis showed an increase in beneficial bacteria, such as Faecalibacterium, in the live larvae group. Furthermore, the meat fatty acid profile and atherogenicity and thrombogenicity indices did not undergo significant changes, implying a low potential risk to consumers' cardiovascular health.</p><p><strong>Conclusions: </strong>Black soldier fly larvae supplementation in the diet of Bianca di Saluzzo improved growth without compromising animal health or meat quality. Moreover, the increase in beneficial volatile fatty acids and the modulation of gut microbiota suggest a positive impact on gut health. Finally, the absence of negative effects on meat lipid profiles confirms nutritional safety for consumers, making black soldier fly larvae a valid alternative in poultry feed. These results offer new perspectives for the use of Black soldier fly larvae in the nutrition of local breeds, contributing to sustainability in line with the One Health approach.</p>","PeriodicalId":9041,"journal":{"name":"BMC Veterinary Research","volume":"20 1","pages":"580"},"PeriodicalIF":2.6000,"publicationDate":"2024-12-27","publicationTypes":"Journal Article","fieldsOfStudy":null,"isOpenAccess":false,"openAccessPdf":"https://www.ncbi.nlm.nih.gov/pmc/articles/PMC11674367/pdf/","citationCount":"0","resultStr":"{\"title\":\"Black soldier fly larvae: a one health approach to investigate gut, and organ health and meat quality response in slow-growing chickens.\",\"authors\":\"Edoardo Fiorilla, Ilario Ferrocino, Marta Gariglio, Francesco Gai, Valeria Zambotto, Laura Ozella, Irene Franciosa, Marzia Giribaldi, Sara Antoniazzi, Federica Raspa, Eleonora Erika Cappone, Dmitri Fabrikov, Sara Pozzo, Valentina Bongiorno, Alice Calissano, Dorotea Ippolito, Stefania Bergagna, Karthika Srikanthithasan, Claudio Forte, Maria Teresa Capucchio, Achille Schiavone\",\"doi\":\"10.1186/s12917-024-04394-0\",\"DOIUrl\":null,\"url\":null,\"abstract\":\"<p><strong>Background: </strong>The inclusion of sustainable protein sources in poultry feed has become essential for improving animal welfare in livestock production. Black soldier fly larvae are a promising solution due to their high protein content and sustainable production. However, most research has focused on fast-growing poultry breeds, while the effects on native breeds, such as the Bianca di Saluzzo, are less explored. This study aimed to evaluate the impact of BSFL supplementation in the diet of slow-growing chickens, with a focus on growth, intestinal health and meat quality for final consumers.</p><p><strong>Results: </strong>The study demonstrated that Black soldier fly larvae supplementation, both in dehydrated and live form, improved growth performance, with an increase in final weights compared to the control group. No significant differences were found in feed conversion ratio, liver and spleen weight or histomorphometry between groups. Black soldier fly larvae supplementation did not negatively affect immune function or liver metabolism. Higher production propionic acid was detected in the black soldier fly larvae fed groups compared to the control, suggesting an effect on volatile fatty acid production. Gut microbiota analysis showed an increase in beneficial bacteria, such as Faecalibacterium, in the live larvae group. Furthermore, the meat fatty acid profile and atherogenicity and thrombogenicity indices did not undergo significant changes, implying a low potential risk to consumers' cardiovascular health.</p><p><strong>Conclusions: </strong>Black soldier fly larvae supplementation in the diet of Bianca di Saluzzo improved growth without compromising animal health or meat quality. Moreover, the increase in beneficial volatile fatty acids and the modulation of gut microbiota suggest a positive impact on gut health. Finally, the absence of negative effects on meat lipid profiles confirms nutritional safety for consumers, making black soldier fly larvae a valid alternative in poultry feed. These results offer new perspectives for the use of Black soldier fly larvae in the nutrition of local breeds, contributing to sustainability in line with the One Health approach.</p>\",\"PeriodicalId\":9041,\"journal\":{\"name\":\"BMC Veterinary Research\",\"volume\":\"20 1\",\"pages\":\"580\"},\"PeriodicalIF\":2.6000,\"publicationDate\":\"2024-12-27\",\"publicationTypes\":\"Journal Article\",\"fieldsOfStudy\":null,\"isOpenAccess\":false,\"openAccessPdf\":\"https://www.ncbi.nlm.nih.gov/pmc/articles/PMC11674367/pdf/\",\"citationCount\":\"0\",\"resultStr\":null,\"platform\":\"Semanticscholar\",\"paperid\":null,\"PeriodicalName\":\"BMC Veterinary Research\",\"FirstCategoryId\":\"97\",\"ListUrlMain\":\"https://doi.org/10.1186/s12917-024-04394-0\",\"RegionNum\":2,\"RegionCategory\":\"农林科学\",\"ArticlePicture\":[],\"TitleCN\":null,\"AbstractTextCN\":null,\"PMCID\":null,\"EPubDate\":\"\",\"PubModel\":\"\",\"JCR\":\"Q1\",\"JCRName\":\"VETERINARY SCIENCES\",\"Score\":null,\"Total\":0}","platform":"Semanticscholar","paperid":null,"PeriodicalName":"BMC Veterinary Research","FirstCategoryId":"97","ListUrlMain":"https://doi.org/10.1186/s12917-024-04394-0","RegionNum":2,"RegionCategory":"农林科学","ArticlePicture":[],"TitleCN":null,"AbstractTextCN":null,"PMCID":null,"EPubDate":"","PubModel":"","JCR":"Q1","JCRName":"VETERINARY SCIENCES","Score":null,"Total":0}
引用次数: 0

摘要

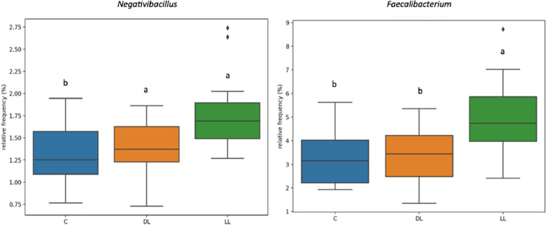
背景:在家禽饲料中加入可持续蛋白质来源对于提高畜牧生产中的动物福利至关重要。黑兵蝇幼虫因其高蛋白含量和可持续生产而成为一种很有前途的解决方案。然而,大多数研究都集中在快速生长的家禽品种上,而对本地品种(如Bianca di Saluzzo)的影响则较少探索。本研究旨在评估在生长缓慢的鸡日粮中添加BSFL的影响,重点关注最终消费者的生长、肠道健康和肉品质。结果:研究表明,与对照组相比,添加脱水和活的黑兵蝇幼虫改善了生长性能,最终体重增加。各组饲料系数、肝脾重量及组织形态均无显著差异。补充黑虻幼虫对免疫功能和肝脏代谢没有负面影响。与对照组相比,饲喂组的黑兵蝇幼虫丙酸产量较高,表明对挥发性脂肪酸的产生有影响。肠道菌群分析显示,在活的幼虫组中,有益细菌如Faecalibacterium增加了。此外,肉类脂肪酸分布、动脉粥样硬化性和血栓形成性指数没有发生显著变化,这意味着对消费者心血管健康的潜在风险很低。结论:在比安卡饲料中添加黑虻幼虫可促进比安卡生长,但不影响动物健康和肉品质。此外,有益挥发性脂肪酸的增加和肠道微生物群的调节表明对肠道健康有积极影响。最后,对肉类脂质谱没有负面影响,证实了消费者的营养安全性,使黑虻幼虫成为家禽饲料的有效替代品。这些结果为在当地品种的营养中使用黑兵蝇幼虫提供了新的视角,有助于符合同一个健康方法的可持续性。
本文章由计算机程序翻译,如有差异,请以英文原文为准。

Black soldier fly larvae: a one health approach to investigate gut, and organ health and meat quality response in slow-growing chickens.

Black soldier fly larvae: a one health approach to investigate gut, and organ health and meat quality response in slow-growing chickens.

Black soldier fly larvae: a one health approach to investigate gut, and organ health and meat quality response in slow-growing chickens.

Black soldier fly larvae: a one health approach to investigate gut, and organ health and meat quality response in slow-growing chickens.

Background: The inclusion of sustainable protein sources in poultry feed has become essential for improving animal welfare in livestock production. Black soldier fly larvae are a promising solution due to their high protein content and sustainable production. However, most research has focused on fast-growing poultry breeds, while the effects on native breeds, such as the Bianca di Saluzzo, are less explored. This study aimed to evaluate the impact of BSFL supplementation in the diet of slow-growing chickens, with a focus on growth, intestinal health and meat quality for final consumers.

Results: The study demonstrated that Black soldier fly larvae supplementation, both in dehydrated and live form, improved growth performance, with an increase in final weights compared to the control group. No significant differences were found in feed conversion ratio, liver and spleen weight or histomorphometry between groups. Black soldier fly larvae supplementation did not negatively affect immune function or liver metabolism. Higher production propionic acid was detected in the black soldier fly larvae fed groups compared to the control, suggesting an effect on volatile fatty acid production. Gut microbiota analysis showed an increase in beneficial bacteria, such as Faecalibacterium, in the live larvae group. Furthermore, the meat fatty acid profile and atherogenicity and thrombogenicity indices did not undergo significant changes, implying a low potential risk to consumers' cardiovascular health.

Conclusions: Black soldier fly larvae supplementation in the diet of Bianca di Saluzzo improved growth without compromising animal health or meat quality. Moreover, the increase in beneficial volatile fatty acids and the modulation of gut microbiota suggest a positive impact on gut health. Finally, the absence of negative effects on meat lipid profiles confirms nutritional safety for consumers, making black soldier fly larvae a valid alternative in poultry feed. These results offer new perspectives for the use of Black soldier fly larvae in the nutrition of local breeds, contributing to sustainability in line with the One Health approach.

求助全文
通过发布文献求助,成功后即可免费获取论文全文。 去求助
来源期刊
BMC Veterinary Research
BMC Veterinary Research VETERINARY SCIENCES-
CiteScore
4.80
自引率
3.80%
发文量
420
审稿时长
3-6 weeks
期刊介绍: BMC Veterinary Research is an open access, peer-reviewed journal that considers articles on all aspects of veterinary science and medicine, including the epidemiology, diagnosis, prevention and treatment of medical conditions of domestic, companion, farm and wild animals, as well as the biomedical processes that underlie their health.
×
引用
GB/T 7714-2015
复制
MLA
复制
APA
复制
导出至
BibTeX EndNote RefMan NoteFirst NoteExpress
×
提示
您的信息不完整,为了账户安全,请先补充。
现在去补充
×
提示
您因"违规操作"
具体请查看互助需知
我知道了
×
提示
确定
请完成安全验证×
copy
已复制链接
快去分享给好友吧!
我知道了
右上角分享
点击右上角分享
0
联系我们:info@booksci.cn Book学术提供免费学术资源搜索服务,方便国内外学者检索中英文文献。致力于提供最便捷和优质的服务体验。 Copyright © 2023 布克学术 All rights reserved.
京ICP备2023020795号-1
ghs 京公网安备 11010802042870号
Book学术文献互助
Book学术文献互助群
群 号:604180095
Book学术官方微信