不只是特朗普:两党美国人在自己的总统领导下更支持违反自由民主党规范的行为。

IF 2.7 1区 社会学 Q1 COMMUNICATION
Public Opinion Quarterly Pub Date : 2024-10-23 eCollection Date: 2024-01-01 DOI:10.1093/poq/nfae042
Levente Littvay, Jennifer L McCoy, Gabor Simonovits
{"title":"不只是特朗普:两党美国人在自己的总统领导下更支持违反自由民主党规范的行为。","authors":"Levente Littvay, Jennifer L McCoy, Gabor Simonovits","doi":"10.1093/poq/nfae042","DOIUrl":null,"url":null,"abstract":"<p><p>There is a growing worry about the health of American democracy, and political scientists and pundits alike are looking for possible explanations. Surveys conducted during the Trump presidency showed considerable citizen support for liberal democratic norm erosions, especially among Republicans. However, recent experimental research also shows that voters of both parties are more tolerant of norm erosion committed by politicians of the party they prefer. In this note, we aim to reconcile these contradictory findings by analyzing surveys spanning from 2006 to 2021 on the public's tolerance of executive concentration of power. We also collect original data under both the Trump and Biden administrations gauging support for a broad array of liberal democratic norm erosions. Support for such erosions, in fact, has been relatively similar across Democrats and Republicans once we account for the party of the president. Support for executive aggrandizement has been prevalent among supporters of the president's party at least since the second term of the Bush administration. Increased checks and balances on the executive, through divided government, amplifies this effect further. Taken together, these findings suggest that universal support for the liberal democratic status quo has been weaker among those who support the president's party, well before and since the Trump presidency.</p>","PeriodicalId":51359,"journal":{"name":"Public Opinion Quarterly","volume":"88 3","pages":"1044-1058"},"PeriodicalIF":2.7000,"publicationDate":"2024-10-23","publicationTypes":"Journal Article","fieldsOfStudy":null,"isOpenAccess":false,"openAccessPdf":"https://www.ncbi.nlm.nih.gov/pmc/articles/PMC11664217/pdf/","citationCount":"0","resultStr":"{\"title\":\"It's Not Just Trump: Americans of Both Parties Support Liberal Democratic Norm Violations More Under Their Own President.\",\"authors\":\"Levente Littvay, Jennifer L McCoy, Gabor Simonovits\",\"doi\":\"10.1093/poq/nfae042\",\"DOIUrl\":null,\"url\":null,\"abstract\":\"<p><p>There is a growing worry about the health of American democracy, and political scientists and pundits alike are looking for possible explanations. Surveys conducted during the Trump presidency showed considerable citizen support for liberal democratic norm erosions, especially among Republicans. However, recent experimental research also shows that voters of both parties are more tolerant of norm erosion committed by politicians of the party they prefer. In this note, we aim to reconcile these contradictory findings by analyzing surveys spanning from 2006 to 2021 on the public's tolerance of executive concentration of power. We also collect original data under both the Trump and Biden administrations gauging support for a broad array of liberal democratic norm erosions. Support for such erosions, in fact, has been relatively similar across Democrats and Republicans once we account for the party of the president. Support for executive aggrandizement has been prevalent among supporters of the president's party at least since the second term of the Bush administration. Increased checks and balances on the executive, through divided government, amplifies this effect further. Taken together, these findings suggest that universal support for the liberal democratic status quo has been weaker among those who support the president's party, well before and since the Trump presidency.</p>\",\"PeriodicalId\":51359,\"journal\":{\"name\":\"Public Opinion Quarterly\",\"volume\":\"88 3\",\"pages\":\"1044-1058\"},\"PeriodicalIF\":2.7000,\"publicationDate\":\"2024-10-23\",\"publicationTypes\":\"Journal Article\",\"fieldsOfStudy\":null,\"isOpenAccess\":false,\"openAccessPdf\":\"https://www.ncbi.nlm.nih.gov/pmc/articles/PMC11664217/pdf/\",\"citationCount\":\"0\",\"resultStr\":null,\"platform\":\"Semanticscholar\",\"paperid\":null,\"PeriodicalName\":\"Public Opinion Quarterly\",\"FirstCategoryId\":\"90\",\"ListUrlMain\":\"https://doi.org/10.1093/poq/nfae042\",\"RegionNum\":1,\"RegionCategory\":\"社会学\",\"ArticlePicture\":[],\"TitleCN\":null,\"AbstractTextCN\":null,\"PMCID\":null,\"EPubDate\":\"2024/1/1 0:00:00\",\"PubModel\":\"eCollection\",\"JCR\":\"Q1\",\"JCRName\":\"COMMUNICATION\",\"Score\":null,\"Total\":0}","platform":"Semanticscholar","paperid":null,"PeriodicalName":"Public Opinion Quarterly","FirstCategoryId":"90","ListUrlMain":"https://doi.org/10.1093/poq/nfae042","RegionNum":1,"RegionCategory":"社会学","ArticlePicture":[],"TitleCN":null,"AbstractTextCN":null,"PMCID":null,"EPubDate":"2024/1/1 0:00:00","PubModel":"eCollection","JCR":"Q1","JCRName":"COMMUNICATION","Score":null,"Total":0}
引用次数: 0

摘要

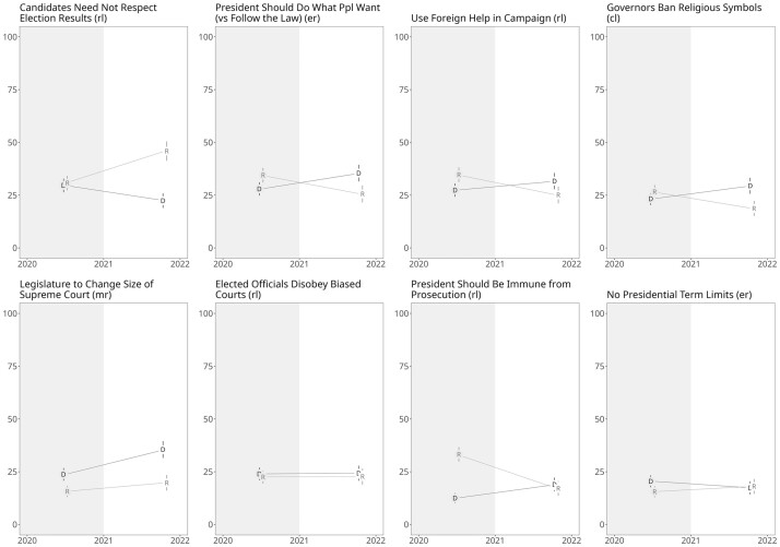
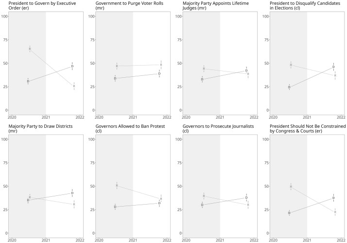
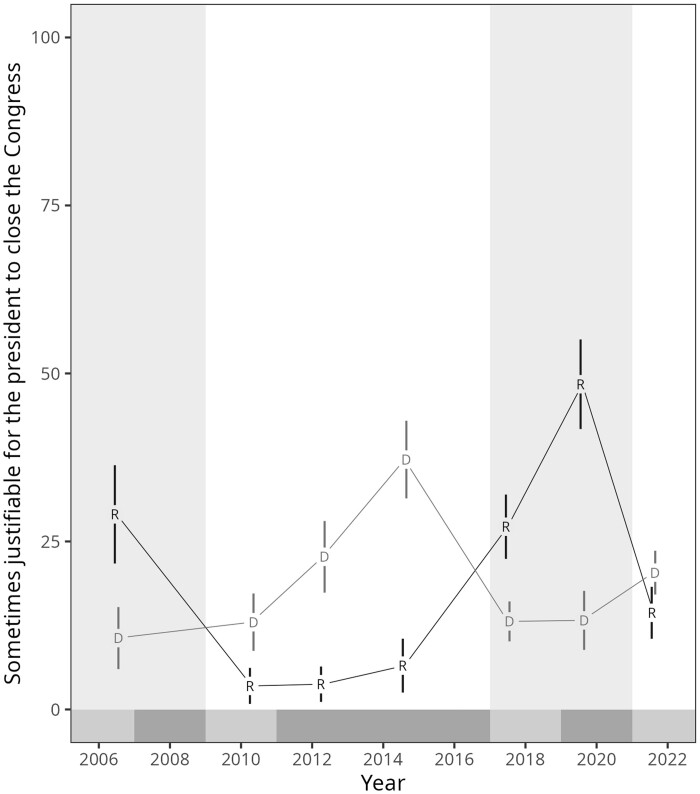
人们越来越担心美国民主的健康,政治学家和权威人士都在寻找可能的解释。在特朗普担任总统期间进行的调查显示,相当多的公民支持自由民主规范的侵蚀,尤其是在共和党人中。然而,最近的实验研究也表明,两党的选民对他们喜欢的政党的政治家所犯的规范侵蚀更能容忍。在本文中,我们旨在通过分析2006年至2021年有关公众对行政权力集中的容忍度的调查,来调和这些相互矛盾的发现。我们还收集了特朗普和拜登政府时期的原始数据,以衡量对一系列广泛的自由民主规范侵蚀的支持。事实上,如果考虑到总统所属的党派,民主党和共和党对这种侵蚀的支持程度相对相似。至少从布什政府的第二任期开始,支持扩大行政权力的呼声就在共和党的支持者中普遍存在。通过分裂的政府加强对行政部门的制衡,进一步放大了这种影响。综上所述,这些发现表明,在特朗普担任总统之前和之后,支持总统所在政党的人对自由民主现状的普遍支持一直较弱。
本文章由计算机程序翻译,如有差异,请以英文原文为准。

It's Not Just Trump: Americans of Both Parties Support Liberal Democratic Norm Violations More Under Their Own President.

It's Not Just Trump: Americans of Both Parties Support Liberal Democratic Norm Violations More Under Their Own President.

It's Not Just Trump: Americans of Both Parties Support Liberal Democratic Norm Violations More Under Their Own President.

It's Not Just Trump: Americans of Both Parties Support Liberal Democratic Norm Violations More Under Their Own President.

There is a growing worry about the health of American democracy, and political scientists and pundits alike are looking for possible explanations. Surveys conducted during the Trump presidency showed considerable citizen support for liberal democratic norm erosions, especially among Republicans. However, recent experimental research also shows that voters of both parties are more tolerant of norm erosion committed by politicians of the party they prefer. In this note, we aim to reconcile these contradictory findings by analyzing surveys spanning from 2006 to 2021 on the public's tolerance of executive concentration of power. We also collect original data under both the Trump and Biden administrations gauging support for a broad array of liberal democratic norm erosions. Support for such erosions, in fact, has been relatively similar across Democrats and Republicans once we account for the party of the president. Support for executive aggrandizement has been prevalent among supporters of the president's party at least since the second term of the Bush administration. Increased checks and balances on the executive, through divided government, amplifies this effect further. Taken together, these findings suggest that universal support for the liberal democratic status quo has been weaker among those who support the president's party, well before and since the Trump presidency.

求助全文
通过发布文献求助,成功后即可免费获取论文全文。 去求助
来源期刊
CiteScore
4.40
自引率
2.90%
发文量
51
期刊介绍: Published since 1937, Public Opinion Quarterly is among the most frequently cited journals of its kind. Such interdisciplinary leadership benefits academicians and all social science researchers by providing a trusted source for a wide range of high quality research. POQ selectively publishes important theoretical contributions to opinion and communication research, analyses of current public opinion, and investigations of methodological issues involved in survey validity—including questionnaire construction, interviewing and interviewers, sampling strategy, and mode of administration. The theoretical and methodological advances detailed in pages of POQ ensure its importance as a research resource.
×
引用
GB/T 7714-2015
复制
MLA
复制
APA
复制
导出至
BibTeX EndNote RefMan NoteFirst NoteExpress
×
提示
您的信息不完整,为了账户安全,请先补充。
现在去补充
×
提示
您因"违规操作"
具体请查看互助需知
我知道了
×
提示
确定
请完成安全验证×
copy
已复制链接
快去分享给好友吧!
我知道了
右上角分享
点击右上角分享
0
联系我们:info@booksci.cn Book学术提供免费学术资源搜索服务,方便国内外学者检索中英文文献。致力于提供最便捷和优质的服务体验。 Copyright © 2023 布克学术 All rights reserved.
京ICP备2023020795号-1
ghs 京公网安备 11010802042870号
Book学术文献互助
Book学术文献互助群
群 号:604180095
Book学术官方微信