Cerviron®阴道胚珠治疗症状性宫颈病变的临床表现和安全性:一项全国性、多中心研究

IF 1.5 Q3 MEDICINE, RESEARCH & EXPERIMENTAL
Izabella Petre Ph.D, MD , Daniela Oana Toader Ph.D, MD , Ramona Petrita PharmD, MS , Alexandru-Remus Pinta PharmD, MS , Andreea-Anda Alexa Ph.D , Romina Georgiana Bita Ph.D, MD
{"title":"Cerviron®阴道胚珠治疗症状性宫颈病变的临床表现和安全性:一项全国性、多中心研究","authors":"Izabella Petre Ph.D, MD ,&nbsp;Daniela Oana Toader Ph.D, MD ,&nbsp;Ramona Petrita PharmD, MS ,&nbsp;Alexandru-Remus Pinta PharmD, MS ,&nbsp;Andreea-Anda Alexa Ph.D ,&nbsp;Romina Georgiana Bita Ph.D, MD","doi":"10.1016/j.curtheres.2024.100762","DOIUrl":null,"url":null,"abstract":"<div><h3>Background</h3><div>Cervical ectropion is frequently associated with vaginal symptoms requiring therapeutic intervention. However, no scientific consensus has been reached regarding the use of local re-epithelialization therapy to prevent severe bleeding, wound inflammation, and infection of cervical lesions.</div></div><div><h3>Objective</h3><div>The aim of our study was to investigate the aspect of the cervix by colposcopy after a 3-month treatment with an intravaginal medical device in the context of postoperative care of the symptomatic ectropion. The study analyzed additional clinical parameters, such as the evolution of primary and secondary inflammation and the degree of cervical epithelialization as secondary objectives.</div></div><div><h3>Methods</h3><div>Our pilot study included 27 participants with symptomatic cervical ectopy, with or without an associated human papillomavirus infection. The treatment protocol consisted of the monthly delivery of the medical device intravaginally, during day 1 to day 15, with a total study duration of 3 months.</div></div><div><h3>Results</h3><div>The medical device had a positive impact on cervical epithelialization, in terms of aspect of the cervix returning to normal for 100% of the participants. Between study visits, it was observed that primary inflammation was reduced by 85.19%, whereas vaginal ulceration, colpitis, and leukorrhea were improved by 70.37%, 81.48%, and by 66.67%, respectively.</div></div><div><h3>Conclusions</h3><div>The degree of cervical epithelialization reflects how well the cervix has healed after an injury or infection. The device showed clinical performance in complete re-epithelialization after surgical procedures. Moreover, our study findings suggest that supportive treatment with this intravaginal medical device can be recommended for cervical wound healing in patients with human papillomavirus infection. ClinicalTrials.gov identifier: NCT04735718.</div></div>","PeriodicalId":10920,"journal":{"name":"Current Therapeutic Research-clinical and Experimental","volume":"101 ","pages":"Article 100762"},"PeriodicalIF":1.5000,"publicationDate":"2024-01-01","publicationTypes":"Journal Article","fieldsOfStudy":null,"isOpenAccess":false,"openAccessPdf":"https://www.ncbi.nlm.nih.gov/pmc/articles/PMC11665293/pdf/","citationCount":"0","resultStr":"{\"title\":\"Clinical Performance and Safety of Cerviron® Vaginal Ovules in the Management of Symptomatic Cervical Lesions: A National, Multicentric Study\",\"authors\":\"Izabella Petre Ph.D, MD ,&nbsp;Daniela Oana Toader Ph.D, MD ,&nbsp;Ramona Petrita PharmD, MS ,&nbsp;Alexandru-Remus Pinta PharmD, MS ,&nbsp;Andreea-Anda Alexa Ph.D ,&nbsp;Romina Georgiana Bita Ph.D, MD\",\"doi\":\"10.1016/j.curtheres.2024.100762\",\"DOIUrl\":null,\"url\":null,\"abstract\":\"<div><h3>Background</h3><div>Cervical ectropion is frequently associated with vaginal symptoms requiring therapeutic intervention. However, no scientific consensus has been reached regarding the use of local re-epithelialization therapy to prevent severe bleeding, wound inflammation, and infection of cervical lesions.</div></div><div><h3>Objective</h3><div>The aim of our study was to investigate the aspect of the cervix by colposcopy after a 3-month treatment with an intravaginal medical device in the context of postoperative care of the symptomatic ectropion. The study analyzed additional clinical parameters, such as the evolution of primary and secondary inflammation and the degree of cervical epithelialization as secondary objectives.</div></div><div><h3>Methods</h3><div>Our pilot study included 27 participants with symptomatic cervical ectopy, with or without an associated human papillomavirus infection. The treatment protocol consisted of the monthly delivery of the medical device intravaginally, during day 1 to day 15, with a total study duration of 3 months.</div></div><div><h3>Results</h3><div>The medical device had a positive impact on cervical epithelialization, in terms of aspect of the cervix returning to normal for 100% of the participants. Between study visits, it was observed that primary inflammation was reduced by 85.19%, whereas vaginal ulceration, colpitis, and leukorrhea were improved by 70.37%, 81.48%, and by 66.67%, respectively.</div></div><div><h3>Conclusions</h3><div>The degree of cervical epithelialization reflects how well the cervix has healed after an injury or infection. The device showed clinical performance in complete re-epithelialization after surgical procedures. Moreover, our study findings suggest that supportive treatment with this intravaginal medical device can be recommended for cervical wound healing in patients with human papillomavirus infection. ClinicalTrials.gov identifier: NCT04735718.</div></div>\",\"PeriodicalId\":10920,\"journal\":{\"name\":\"Current Therapeutic Research-clinical and Experimental\",\"volume\":\"101 \",\"pages\":\"Article 100762\"},\"PeriodicalIF\":1.5000,\"publicationDate\":\"2024-01-01\",\"publicationTypes\":\"Journal Article\",\"fieldsOfStudy\":null,\"isOpenAccess\":false,\"openAccessPdf\":\"https://www.ncbi.nlm.nih.gov/pmc/articles/PMC11665293/pdf/\",\"citationCount\":\"0\",\"resultStr\":null,\"platform\":\"Semanticscholar\",\"paperid\":null,\"PeriodicalName\":\"Current Therapeutic Research-clinical and Experimental\",\"FirstCategoryId\":\"1085\",\"ListUrlMain\":\"https://www.sciencedirect.com/science/article/pii/S0011393X24000328\",\"RegionNum\":0,\"RegionCategory\":null,\"ArticlePicture\":[],\"TitleCN\":null,\"AbstractTextCN\":null,\"PMCID\":null,\"EPubDate\":\"\",\"PubModel\":\"\",\"JCR\":\"Q3\",\"JCRName\":\"MEDICINE, RESEARCH & EXPERIMENTAL\",\"Score\":null,\"Total\":0}","platform":"Semanticscholar","paperid":null,"PeriodicalName":"Current Therapeutic Research-clinical and Experimental","FirstCategoryId":"1085","ListUrlMain":"https://www.sciencedirect.com/science/article/pii/S0011393X24000328","RegionNum":0,"RegionCategory":null,"ArticlePicture":[],"TitleCN":null,"AbstractTextCN":null,"PMCID":null,"EPubDate":"","PubModel":"","JCR":"Q3","JCRName":"MEDICINE, RESEARCH & EXPERIMENTAL","Score":null,"Total":0}
引用次数: 0

摘要

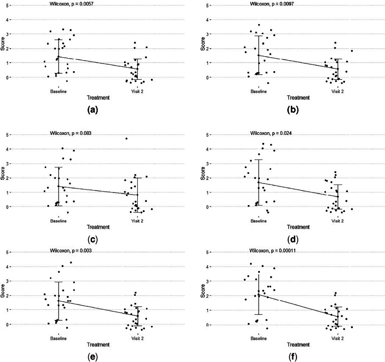
背景:宫颈外翻常与阴道症状相关,需要治疗干预。然而,关于使用局部再上皮化治疗来预防严重出血、伤口炎症和宫颈病变感染,尚未达成科学共识。目的:本研究的目的是探讨阴道内医疗器械治疗3个月后阴道镜对症状性外翻的护理。该研究分析了其他临床参数,如原发性和继发性炎症的演变以及宫颈上皮化程度作为次要目标。方法:我们的初步研究包括27名有症状的宫颈异位,伴有或不伴有相关的人乳头瘤病毒感染的参与者。治疗方案包括每月在第1天至第15天阴道内给药,总研究时间为3个月。结果:医疗器械对宫颈上皮化有积极的影响,100%的参与者宫颈恢复正常。在两次研究访问之间,观察到原发性炎症减少了85.19%,而阴道溃疡、阴道炎和白带分别改善了70.37%、81.48%和66.67%。结论:宫颈上皮化程度反映了损伤或感染后宫颈的愈合程度。该装置在外科手术后完全再上皮化方面表现出临床性能。此外,我们的研究结果表明,可以推荐使用这种阴道内医疗设备进行支持治疗,用于人乳头瘤病毒感染患者的宫颈伤口愈合。ClinicalTrials.gov识别码:NCT04735718。
本文章由计算机程序翻译,如有差异,请以英文原文为准。

Clinical Performance and Safety of Cerviron® Vaginal Ovules in the Management of Symptomatic Cervical Lesions: A National, Multicentric Study

Clinical Performance and Safety of Cerviron® Vaginal Ovules in the Management of Symptomatic Cervical Lesions: A National, Multicentric Study

Clinical Performance and Safety of Cerviron® Vaginal Ovules in the Management of Symptomatic Cervical Lesions: A National, Multicentric Study

Clinical Performance and Safety of Cerviron® Vaginal Ovules in the Management of Symptomatic Cervical Lesions: A National, Multicentric Study

Background

Cervical ectropion is frequently associated with vaginal symptoms requiring therapeutic intervention. However, no scientific consensus has been reached regarding the use of local re-epithelialization therapy to prevent severe bleeding, wound inflammation, and infection of cervical lesions.

Objective

The aim of our study was to investigate the aspect of the cervix by colposcopy after a 3-month treatment with an intravaginal medical device in the context of postoperative care of the symptomatic ectropion. The study analyzed additional clinical parameters, such as the evolution of primary and secondary inflammation and the degree of cervical epithelialization as secondary objectives.

Methods

Our pilot study included 27 participants with symptomatic cervical ectopy, with or without an associated human papillomavirus infection. The treatment protocol consisted of the monthly delivery of the medical device intravaginally, during day 1 to day 15, with a total study duration of 3 months.

Results

The medical device had a positive impact on cervical epithelialization, in terms of aspect of the cervix returning to normal for 100% of the participants. Between study visits, it was observed that primary inflammation was reduced by 85.19%, whereas vaginal ulceration, colpitis, and leukorrhea were improved by 70.37%, 81.48%, and by 66.67%, respectively.

Conclusions

The degree of cervical epithelialization reflects how well the cervix has healed after an injury or infection. The device showed clinical performance in complete re-epithelialization after surgical procedures. Moreover, our study findings suggest that supportive treatment with this intravaginal medical device can be recommended for cervical wound healing in patients with human papillomavirus infection. ClinicalTrials.gov identifier: NCT04735718.
求助全文
通过发布文献求助,成功后即可免费获取论文全文。 去求助
来源期刊
CiteScore
3.50
自引率
0.00%
发文量
31
审稿时长
3 months
期刊介绍: We also encourage the submission of manuscripts presenting preclinical and very preliminary research that may stimulate further investigation of potentially relevant findings, as well as in-depth review articles on specific therapies or disease states, and applied health delivery or pharmacoeconomics. CTR encourages and supports the submission of manuscripts describing: • Interventions designed to understand or improve human health, disease treatment or disease prevention; • Studies that focus on problems that are uncommon in resource-rich countries; • Research that is "under-published" because of limited access to monetary resources such as English language support and Open Access fees (CTR offers deeply discounted English language editing); • Republication of articles previously published in non-English journals (eg, evidence-based guidelines) which could be useful if translated into English; • Preclinical and clinical product development studies that are not pursued for further investigation based upon early phase results.
×
引用
GB/T 7714-2015
复制
MLA
复制
APA
复制
导出至
BibTeX EndNote RefMan NoteFirst NoteExpress
×
提示
您的信息不完整,为了账户安全,请先补充。
现在去补充
×
提示
您因"违规操作"
具体请查看互助需知
我知道了
×
提示
确定
请完成安全验证×
copy
已复制链接
快去分享给好友吧!
我知道了
右上角分享
点击右上角分享
0
联系我们:info@booksci.cn Book学术提供免费学术资源搜索服务,方便国内外学者检索中英文文献。致力于提供最便捷和优质的服务体验。 Copyright © 2023 布克学术 All rights reserved.
京ICP备2023020795号-1
ghs 京公网安备 11010802042870号
Book学术文献互助
Book学术文献互助群
群 号:604180095
Book学术官方微信