NaCl处理对大豆根瘤形成、异黄酮分泌及根瘤菌根瘤基因表达的影响

IF 2 4区 环境科学与生态学 Q3 BIOTECHNOLOGY & APPLIED MICROBIOLOGY
Yoshikazu Nitawaki, Takaaki Yasukochi, Shinya Naono, Akihiro Yamamoto, Yuichi Saeki
{"title":"NaCl处理对大豆根瘤形成、异黄酮分泌及根瘤菌根瘤基因表达的影响","authors":"Yoshikazu Nitawaki, Takaaki Yasukochi, Shinya Naono, Akihiro Yamamoto, Yuichi Saeki","doi":"10.1264/jsme2.ME24023","DOIUrl":null,"url":null,"abstract":"<p><p>We herein investigated the effects of salt (NaCl) stress on soybean nodulation by rhizobial strains. We specifically exami-ned: (1) the effects of NaCl on nodule maturity and positioning by inoculating three rhizobial strains (Bradyrhizobium diazoefficiens USDA110<sup>T</sup>, Bradyrhizobium elkanii USDA31, and Sinorhizobium fredii USDA191) onto soybean variety CNS, (2) the effects of the NaCl treatment on isoflavones (daidzein and genistein) secretion by CNS, (3) the effects of the NaCl treatment on gene expression induced by daidzein and genistein in rhizobia, and (4) the effects of the NaCl treatment on rhizobial growth. The results obtained were as follows: (1) the NaCl treatment delayed nodule development and reduced nodulation on the primary root following the USDA110<sup>T</sup> inoculation, minimal sensitivity regarding nodule formation in the USDA 31 inoculation, and significantly increased the mature nodule number and nodules on the primary root following the USDA 191 inoculation. (2) The NaCl treatment significantly reduced the secretion of daidzein from soybean roots, but did not significantly affect that of genistein. (3) NaCl treatment induced a significant decrease in genistein-induced nodC expression in USDA110<sup>T</sup>, but not in USDA31, and also caused a significant reduction in daidzein-induced nodC expression, but not genistein-induced expression, in USDA191. (4) NaCl treatment reduced survivability under acidic conditions, but increased survivability under saline-alkaline conditions for USDA191 than bradyrhizobia. These results indicate that saline conditions give S. fredii a competitive advantage over Bradyrhizobium during soybean infection.</p>","PeriodicalId":18482,"journal":{"name":"Microbes and Environments","volume":"39 4","pages":""},"PeriodicalIF":2.0000,"publicationDate":"2024-01-01","publicationTypes":"Journal Article","fieldsOfStudy":null,"isOpenAccess":false,"openAccessPdf":"https://www.ncbi.nlm.nih.gov/pmc/articles/PMC11821761/pdf/","citationCount":"0","resultStr":"{\"title\":\"Effects of NaCl Treatment on Root Nodule Formation, Isoflavone Secretion in Soybean, and Nodulation Gene Expression in Rhizobia.\",\"authors\":\"Yoshikazu Nitawaki, Takaaki Yasukochi, Shinya Naono, Akihiro Yamamoto, Yuichi Saeki\",\"doi\":\"10.1264/jsme2.ME24023\",\"DOIUrl\":null,\"url\":null,\"abstract\":\"<p><p>We herein investigated the effects of salt (NaCl) stress on soybean nodulation by rhizobial strains. We specifically exami-ned: (1) the effects of NaCl on nodule maturity and positioning by inoculating three rhizobial strains (Bradyrhizobium diazoefficiens USDA110<sup>T</sup>, Bradyrhizobium elkanii USDA31, and Sinorhizobium fredii USDA191) onto soybean variety CNS, (2) the effects of the NaCl treatment on isoflavones (daidzein and genistein) secretion by CNS, (3) the effects of the NaCl treatment on gene expression induced by daidzein and genistein in rhizobia, and (4) the effects of the NaCl treatment on rhizobial growth. The results obtained were as follows: (1) the NaCl treatment delayed nodule development and reduced nodulation on the primary root following the USDA110<sup>T</sup> inoculation, minimal sensitivity regarding nodule formation in the USDA 31 inoculation, and significantly increased the mature nodule number and nodules on the primary root following the USDA 191 inoculation. (2) The NaCl treatment significantly reduced the secretion of daidzein from soybean roots, but did not significantly affect that of genistein. (3) NaCl treatment induced a significant decrease in genistein-induced nodC expression in USDA110<sup>T</sup>, but not in USDA31, and also caused a significant reduction in daidzein-induced nodC expression, but not genistein-induced expression, in USDA191. (4) NaCl treatment reduced survivability under acidic conditions, but increased survivability under saline-alkaline conditions for USDA191 than bradyrhizobia. These results indicate that saline conditions give S. fredii a competitive advantage over Bradyrhizobium during soybean infection.</p>\",\"PeriodicalId\":18482,\"journal\":{\"name\":\"Microbes and Environments\",\"volume\":\"39 4\",\"pages\":\"\"},\"PeriodicalIF\":2.0000,\"publicationDate\":\"2024-01-01\",\"publicationTypes\":\"Journal Article\",\"fieldsOfStudy\":null,\"isOpenAccess\":false,\"openAccessPdf\":\"https://www.ncbi.nlm.nih.gov/pmc/articles/PMC11821761/pdf/\",\"citationCount\":\"0\",\"resultStr\":null,\"platform\":\"Semanticscholar\",\"paperid\":null,\"PeriodicalName\":\"Microbes and Environments\",\"FirstCategoryId\":\"93\",\"ListUrlMain\":\"https://doi.org/10.1264/jsme2.ME24023\",\"RegionNum\":4,\"RegionCategory\":\"环境科学与生态学\",\"ArticlePicture\":[],\"TitleCN\":null,\"AbstractTextCN\":null,\"PMCID\":null,\"EPubDate\":\"\",\"PubModel\":\"\",\"JCR\":\"Q3\",\"JCRName\":\"BIOTECHNOLOGY & APPLIED MICROBIOLOGY\",\"Score\":null,\"Total\":0}","platform":"Semanticscholar","paperid":null,"PeriodicalName":"Microbes and Environments","FirstCategoryId":"93","ListUrlMain":"https://doi.org/10.1264/jsme2.ME24023","RegionNum":4,"RegionCategory":"环境科学与生态学","ArticlePicture":[],"TitleCN":null,"AbstractTextCN":null,"PMCID":null,"EPubDate":"","PubModel":"","JCR":"Q3","JCRName":"BIOTECHNOLOGY & APPLIED MICROBIOLOGY","Score":null,"Total":0}
引用次数: 0

摘要

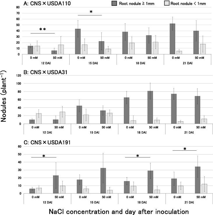
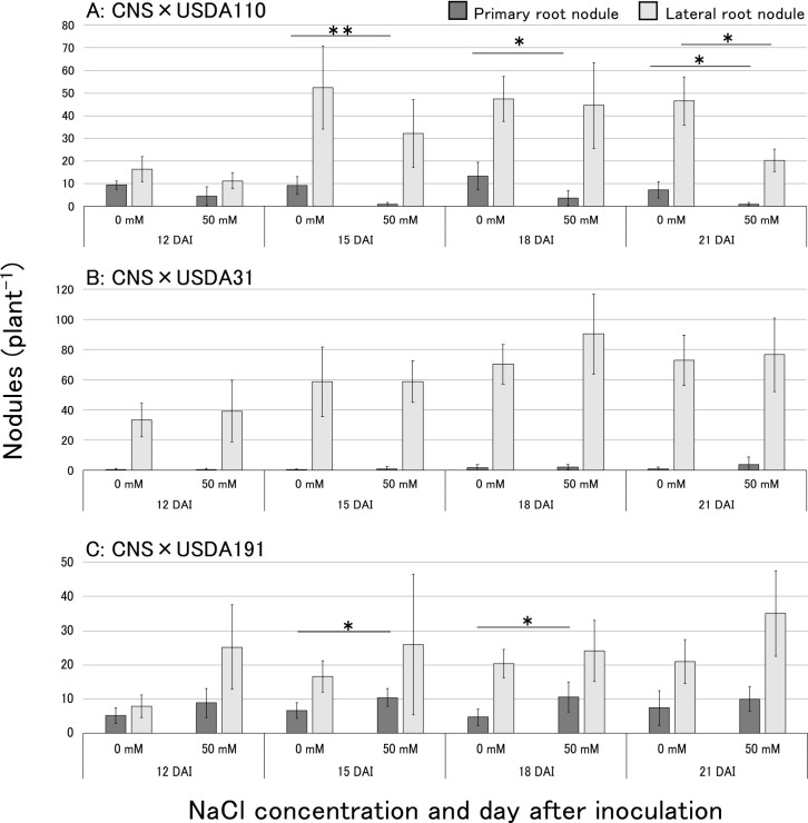
研究了盐胁迫对大豆根瘤菌结瘤的影响。我们具体考察了:(1)通过在大豆品种CNS上接种三种根瘤菌(重氮慢根瘤菌USDA110T、elkani慢根瘤菌USDA31、Sinorhizobium fredii USDA191),研究NaCl对根瘤菌成熟和定位的影响;(2)NaCl处理对CNS分泌异黄酮(大豆苷元和染料木素)的影响;(3)NaCl处理对根瘤菌中大豆苷元和染料木素诱导基因表达的影响;(4)NaCl处理对根瘤菌生长的影响。结果表明:(1)NaCl处理延迟了USDA110T接种后主根的根瘤发育,减少了根瘤的形成,USDA 31接种后对根瘤形成的敏感性最低,USDA 191接种后主根的成熟根瘤数和根瘤数显著增加。(2) NaCl处理显著降低了大豆根系中大豆苷元的分泌,但对染料木素的分泌影响不显著。(3) NaCl处理显著降低了USDA110T中染料木黄酮诱导的nodC表达,但在USDA31中没有;NaCl处理也显著降低了USDA191中大豆黄酮诱导的nodC表达,但不降低染料木黄酮诱导的nodC表达。(4)与慢生根瘤菌相比,NaCl处理降低了USDA191在酸性条件下的生存能力,但提高了其在盐碱条件下的生存能力。这些结果表明,在大豆侵染过程中,生理盐水条件使fredii比慢生根瘤菌具有竞争优势。
本文章由计算机程序翻译,如有差异,请以英文原文为准。

Effects of NaCl Treatment on Root Nodule Formation, Isoflavone Secretion in Soybean, and Nodulation Gene Expression in Rhizobia.

Effects of NaCl Treatment on Root Nodule Formation, Isoflavone Secretion in Soybean, and Nodulation Gene Expression in Rhizobia.

Effects of NaCl Treatment on Root Nodule Formation, Isoflavone Secretion in Soybean, and Nodulation Gene Expression in Rhizobia.

Effects of NaCl Treatment on Root Nodule Formation, Isoflavone Secretion in Soybean, and Nodulation Gene Expression in Rhizobia.

We herein investigated the effects of salt (NaCl) stress on soybean nodulation by rhizobial strains. We specifically exami-ned: (1) the effects of NaCl on nodule maturity and positioning by inoculating three rhizobial strains (Bradyrhizobium diazoefficiens USDA110T, Bradyrhizobium elkanii USDA31, and Sinorhizobium fredii USDA191) onto soybean variety CNS, (2) the effects of the NaCl treatment on isoflavones (daidzein and genistein) secretion by CNS, (3) the effects of the NaCl treatment on gene expression induced by daidzein and genistein in rhizobia, and (4) the effects of the NaCl treatment on rhizobial growth. The results obtained were as follows: (1) the NaCl treatment delayed nodule development and reduced nodulation on the primary root following the USDA110T inoculation, minimal sensitivity regarding nodule formation in the USDA 31 inoculation, and significantly increased the mature nodule number and nodules on the primary root following the USDA 191 inoculation. (2) The NaCl treatment significantly reduced the secretion of daidzein from soybean roots, but did not significantly affect that of genistein. (3) NaCl treatment induced a significant decrease in genistein-induced nodC expression in USDA110T, but not in USDA31, and also caused a significant reduction in daidzein-induced nodC expression, but not genistein-induced expression, in USDA191. (4) NaCl treatment reduced survivability under acidic conditions, but increased survivability under saline-alkaline conditions for USDA191 than bradyrhizobia. These results indicate that saline conditions give S. fredii a competitive advantage over Bradyrhizobium during soybean infection.

求助全文
通过发布文献求助,成功后即可免费获取论文全文。 去求助
来源期刊
Microbes and Environments
Microbes and Environments 生物-生物工程与应用微生物
CiteScore
4.10
自引率
13.60%
发文量
66
审稿时长
3 months
期刊介绍: Microbial ecology in natural and engineered environments; Microbial degradation of xenobiotic compounds; Microbial processes in biogeochemical cycles; Microbial interactions and signaling with animals and plants; Interactions among microorganisms; Microorganisms related to public health; Phylogenetic and functional diversity of microbial communities; Genomics, metagenomics, and bioinformatics for microbiology; Application of microorganisms to agriculture, fishery, and industry; Molecular biology and biochemistry related to environmental microbiology; Methodology in general and environmental microbiology; Interdisciplinary research areas for microbial ecology (e.g., Astrobiology, and Origins of Life); Taxonomic description of novel microorganisms with ecological perspective; Physiology and metabolisms of microorganisms; Evolution of genes and microorganisms; Genome report of microorganisms with ecological perspective.
×
引用
GB/T 7714-2015
复制
MLA
复制
APA
复制
导出至
BibTeX EndNote RefMan NoteFirst NoteExpress
×
提示
您的信息不完整,为了账户安全,请先补充。
现在去补充
×
提示
您因"违规操作"
具体请查看互助需知
我知道了
×
提示
确定
请完成安全验证×
copy
已复制链接
快去分享给好友吧!
我知道了
右上角分享
点击右上角分享
0
联系我们:info@booksci.cn Book学术提供免费学术资源搜索服务,方便国内外学者检索中英文文献。致力于提供最便捷和优质的服务体验。 Copyright © 2023 布克学术 All rights reserved.
京ICP备2023020795号-1
ghs 京公网安备 11010802042870号
Book学术文献互助
Book学术文献互助群
群 号:604180095
Book学术官方微信