11854名孕妇妊娠后期血清视黄醇结合蛋白4水平对小/大胎龄儿发病率的影响:一项回顾性研究

IF 3 2区 医学 Q1 PUBLIC, ENVIRONMENTAL & OCCUPATIONAL HEALTH
Journal of Epidemiology Pub Date : 2025-06-05 Epub Date: 2025-04-30 DOI:10.2188/jea.JE20240275
Bin Zhang, Zhaolong Zhan, Sijie Xi, Feng Wang, Xiaosong Yuan
{"title":"11854名孕妇妊娠后期血清视黄醇结合蛋白4水平对小/大胎龄儿发病率的影响:一项回顾性研究","authors":"Bin Zhang, Zhaolong Zhan, Sijie Xi, Feng Wang, Xiaosong Yuan","doi":"10.2188/jea.JE20240275","DOIUrl":null,"url":null,"abstract":"<p><strong>Background: </strong>There is still uncertainty regarding the association between maternal serum levels of retinol-binding protein 4 (RBP4) and pregnancy outcomes. This study aimed to determine the association between RBP4 levels and incidence of small/large for gestational age (SGA/LGA) infants among the Chinese population.</p><p><strong>Methods: </strong>This was a retrospective study of 11,854 pregnant women who delivered at Changzhou Maternal and Child Health Care Hospital between 2016 and 2017 and whose serum RBP4 levels were measured at the time of admission. The incidence of SGA/LGA deliveries was retrieved from the medical records of the participants.</p><p><strong>Results: </strong>Maternal RBP4 levels in the second, third, and fourth quartiles (28.8-34.0, 34.1-40.0, and >40.0 mg/L, respectively) were associated with lower birthweights relative to those in the first quartile (<28.8 mg/L), with estimated average decreases of 51.30 g (95% confidence interval [CI], -70.51 to -32.10), 86.86 g (95% CI, -106.50 to -67.22) and 124.08 g (95% CI, -144.51 to -103.64), respectively (P for trend <0.01). Pregnant women in the fourth quartile for RBP4 levels had a greater SGA risk (odds ratio [OR] 2.14; 95% CI, 1.72-2.65) and lower LGA risk (OR 0.53; 95% CI, 0.45-0.63) than those in the first quartile after controlling for demographic variables, gestational age, pregnancy complications, and other laboratory results. The sensitivity analysis indicated the consistency of these findings.</p><p><strong>Conclusion: </strong>High RBP4 levels in late pregnancy are associated with an increased SGA risk and decreased LGA risk, indicating that serum RBP4 levels at the time of admission for delivery could be a promising predictor of SGA/LGA delivery.</p>","PeriodicalId":15799,"journal":{"name":"Journal of Epidemiology","volume":" ","pages":"287-296"},"PeriodicalIF":3.0000,"publicationDate":"2025-06-05","publicationTypes":"Journal Article","fieldsOfStudy":null,"isOpenAccess":false,"openAccessPdf":"https://www.ncbi.nlm.nih.gov/pmc/articles/PMC12066191/pdf/","citationCount":"0","resultStr":"{\"title\":\"Impact of Serum Retinol-binding Protein 4 Levels in Late Pregnancy on the Incidence of Small/Large for Gestational Age Infants Among 11,854 Pregnant Women: A Retrospective Study.\",\"authors\":\"Bin Zhang, Zhaolong Zhan, Sijie Xi, Feng Wang, Xiaosong Yuan\",\"doi\":\"10.2188/jea.JE20240275\",\"DOIUrl\":null,\"url\":null,\"abstract\":\"<p><strong>Background: </strong>There is still uncertainty regarding the association between maternal serum levels of retinol-binding protein 4 (RBP4) and pregnancy outcomes. This study aimed to determine the association between RBP4 levels and incidence of small/large for gestational age (SGA/LGA) infants among the Chinese population.</p><p><strong>Methods: </strong>This was a retrospective study of 11,854 pregnant women who delivered at Changzhou Maternal and Child Health Care Hospital between 2016 and 2017 and whose serum RBP4 levels were measured at the time of admission. The incidence of SGA/LGA deliveries was retrieved from the medical records of the participants.</p><p><strong>Results: </strong>Maternal RBP4 levels in the second, third, and fourth quartiles (28.8-34.0, 34.1-40.0, and >40.0 mg/L, respectively) were associated with lower birthweights relative to those in the first quartile (<28.8 mg/L), with estimated average decreases of 51.30 g (95% confidence interval [CI], -70.51 to -32.10), 86.86 g (95% CI, -106.50 to -67.22) and 124.08 g (95% CI, -144.51 to -103.64), respectively (P for trend <0.01). Pregnant women in the fourth quartile for RBP4 levels had a greater SGA risk (odds ratio [OR] 2.14; 95% CI, 1.72-2.65) and lower LGA risk (OR 0.53; 95% CI, 0.45-0.63) than those in the first quartile after controlling for demographic variables, gestational age, pregnancy complications, and other laboratory results. The sensitivity analysis indicated the consistency of these findings.</p><p><strong>Conclusion: </strong>High RBP4 levels in late pregnancy are associated with an increased SGA risk and decreased LGA risk, indicating that serum RBP4 levels at the time of admission for delivery could be a promising predictor of SGA/LGA delivery.</p>\",\"PeriodicalId\":15799,\"journal\":{\"name\":\"Journal of Epidemiology\",\"volume\":\" \",\"pages\":\"287-296\"},\"PeriodicalIF\":3.0000,\"publicationDate\":\"2025-06-05\",\"publicationTypes\":\"Journal Article\",\"fieldsOfStudy\":null,\"isOpenAccess\":false,\"openAccessPdf\":\"https://www.ncbi.nlm.nih.gov/pmc/articles/PMC12066191/pdf/\",\"citationCount\":\"0\",\"resultStr\":null,\"platform\":\"Semanticscholar\",\"paperid\":null,\"PeriodicalName\":\"Journal of Epidemiology\",\"FirstCategoryId\":\"3\",\"ListUrlMain\":\"https://doi.org/10.2188/jea.JE20240275\",\"RegionNum\":2,\"RegionCategory\":\"医学\",\"ArticlePicture\":[],\"TitleCN\":null,\"AbstractTextCN\":null,\"PMCID\":null,\"EPubDate\":\"2025/4/30 0:00:00\",\"PubModel\":\"Epub\",\"JCR\":\"Q1\",\"JCRName\":\"PUBLIC, ENVIRONMENTAL & OCCUPATIONAL HEALTH\",\"Score\":null,\"Total\":0}","platform":"Semanticscholar","paperid":null,"PeriodicalName":"Journal of Epidemiology","FirstCategoryId":"3","ListUrlMain":"https://doi.org/10.2188/jea.JE20240275","RegionNum":2,"RegionCategory":"医学","ArticlePicture":[],"TitleCN":null,"AbstractTextCN":null,"PMCID":null,"EPubDate":"2025/4/30 0:00:00","PubModel":"Epub","JCR":"Q1","JCRName":"PUBLIC, ENVIRONMENTAL & OCCUPATIONAL HEALTH","Score":null,"Total":0}
引用次数: 0

摘要

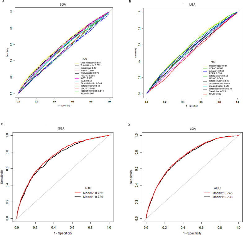
背景:孕妇血清视黄醇结合蛋白4 (RBP4)水平与妊娠结局之间的关系尚不确定。本研究旨在确定中国人群中RBP4水平与小/大胎龄婴儿(SGA/LGA)发生率之间的关系。方法:对2016 - 2017年常州市妇幼保健院分娩的11854例孕妇进行回顾性研究,入院时检测血清RBP4水平。从参与者的医疗记录中检索SGA/LGA分娩的发生率。结果:产妇RBP4水平在第二、第三和第四四分位数(分别为28.8-34.0、34.1-40.0和bb0 -40.0 mg/L)与出生体重较低相关(结论:妊娠后期高RBP4水平与SGA风险增加和LGA风险降低相关,表明入院分娩时血清RBP4水平可能是SGA/LGA分娩的一个有希望的预测指标。
本文章由计算机程序翻译,如有差异,请以英文原文为准。

Impact of Serum Retinol-binding Protein 4 Levels in Late Pregnancy on the Incidence of Small/Large for Gestational Age Infants Among 11,854 Pregnant Women: A Retrospective Study.

Impact of Serum Retinol-binding Protein 4 Levels in Late Pregnancy on the Incidence of Small/Large for Gestational Age Infants Among 11,854 Pregnant Women: A Retrospective Study.

Background: There is still uncertainty regarding the association between maternal serum levels of retinol-binding protein 4 (RBP4) and pregnancy outcomes. This study aimed to determine the association between RBP4 levels and incidence of small/large for gestational age (SGA/LGA) infants among the Chinese population.

Methods: This was a retrospective study of 11,854 pregnant women who delivered at Changzhou Maternal and Child Health Care Hospital between 2016 and 2017 and whose serum RBP4 levels were measured at the time of admission. The incidence of SGA/LGA deliveries was retrieved from the medical records of the participants.

Results: Maternal RBP4 levels in the second, third, and fourth quartiles (28.8-34.0, 34.1-40.0, and >40.0 mg/L, respectively) were associated with lower birthweights relative to those in the first quartile (<28.8 mg/L), with estimated average decreases of 51.30 g (95% confidence interval [CI], -70.51 to -32.10), 86.86 g (95% CI, -106.50 to -67.22) and 124.08 g (95% CI, -144.51 to -103.64), respectively (P for trend <0.01). Pregnant women in the fourth quartile for RBP4 levels had a greater SGA risk (odds ratio [OR] 2.14; 95% CI, 1.72-2.65) and lower LGA risk (OR 0.53; 95% CI, 0.45-0.63) than those in the first quartile after controlling for demographic variables, gestational age, pregnancy complications, and other laboratory results. The sensitivity analysis indicated the consistency of these findings.

Conclusion: High RBP4 levels in late pregnancy are associated with an increased SGA risk and decreased LGA risk, indicating that serum RBP4 levels at the time of admission for delivery could be a promising predictor of SGA/LGA delivery.

求助全文
通过发布文献求助,成功后即可免费获取论文全文。 去求助
来源期刊
Journal of Epidemiology
Journal of Epidemiology 医学-公共卫生、环境卫生与职业卫生
CiteScore
7.50
自引率
4.30%
发文量
172
审稿时长
6-12 weeks
期刊介绍: The Journal of Epidemiology is the official open access scientific journal of the Japan Epidemiological Association. The Journal publishes a broad range of original research on epidemiology as it relates to human health, and aims to promote communication among those engaged in the field of epidemiological research and those who use epidemiological findings.
×
引用
GB/T 7714-2015
复制
MLA
复制
APA
复制
导出至
BibTeX EndNote RefMan NoteFirst NoteExpress
×
提示
您的信息不完整,为了账户安全,请先补充。
现在去补充
×
提示
您因"违规操作"
具体请查看互助需知
我知道了
×
提示
确定
请完成安全验证×
copy
已复制链接
快去分享给好友吧!
我知道了
右上角分享
点击右上角分享
0
联系我们:info@booksci.cn Book学术提供免费学术资源搜索服务,方便国内外学者检索中英文文献。致力于提供最便捷和优质的服务体验。 Copyright © 2023 布克学术 All rights reserved.
京ICP备2023020795号-1
ghs 京公网安备 11010802042870号
Book学术文献互助
Book学术文献互助群
群 号:604180095
Book学术官方微信