空气污染与不依赖于超敏c反应蛋白的认知能力下降有关:来自中国中老年的见解。

IF 5.3 2区 环境科学与生态学 Q1 ENVIRONMENTAL SCIENCES
Li Huang, Xiangming Hu, Jia Liu, Jiajia Wang, Yingling Zhou, Guang Li, Guanghui Dong, Haojian Dong
{"title":"空气污染与不依赖于超敏c反应蛋白的认知能力下降有关:来自中国中老年的见解。","authors":"Li Huang, Xiangming Hu, Jia Liu, Jiajia Wang, Yingling Zhou, Guang Li, Guanghui Dong, Haojian Dong","doi":"10.1186/s12940-024-01148-1","DOIUrl":null,"url":null,"abstract":"<p><strong>Background: </strong>Long-term air pollution exposure and inflammation are considered to be associated with cognitive decline. However, whether air pollution exposure related cognitive decline is dependent on inflammation remains uncertain.</p><p><strong>Materials and methods: </strong>The present study collected data from China Health and Retirement Longitudinal Study (CHARLS) at baseline in 2011, with a follow up period in 2015. Concentration of air pollutants (particles with diameters ≤ 1.0 μm [PM<sub>1</sub>], ≤ 2.5 μm [PM<sub>2.5</sub>], ≤ 10 μm [PM<sub>10</sub>], nitrogen dioxide [NO<sub>2</sub>] and ozone [O<sub>3</sub>]) were obtained from China High Air Pollutants (CHAP) dataset. Hypersensitive C-reactive protein (hs-CRP), a systemic inflammation marker, was measured in blood of subjects and cognitive function was assessed by standardized questionnaire.</p><p><strong>Results: </strong>A total of 6434 participants were included in the study. Lower exposure to PM<sub>2.5</sub>, PM<sub>1</sub>, PM<sub>10</sub> and NO<sub>2</sub> were associated with mitigated cognitive decline. The odds ratios (ORs) for air pollutants changes and cognitive decline and 95% confidence intervals (CIs) were as follows: PM<sub>2.5</sub>-0.934(0.925, 0.943), PM<sub>1</sub>- 0.945 (0.935,0.955), PM<sub>10</sub>-0.977(0.972,0.982) and NO<sub>2</sub>-0.962(0.950,0.975), respectively. Hs-CRP showed no significant correlation with cognitive decline or change in levels of air pollution. The interaction regression analyses, both unadjusted and adjusted, did not uncover any significant correlation between hs-CRP and air pollution with respect to cognitive decline. Bootstrap test exhibited no significant mediating effect of hs-CRP on the relationship between any air pollutants and cognitive decline, the indirect effects of hs-CRP in conjunction with exposure to different air pollutants were all found to be non-significant, with the following bootstrap CIs and p-values: PM<sub>2.5</sub>-1.000([1.000,1.000], P = 0.480),PM<sub>1</sub>-1.000([1.000,1.000], P = 0.230),PM<sub>10</sub>-1.000([1.000,1.000], P = 0.650), O<sub>3</sub>-1.000([1.000,1.000], P = 0.470), ΔNO<sub>2</sub>-1.000([1.000,1.000], P = 0.830) .</p><p><strong>Conclusion: </strong>Ambient air pollution exposure was linked to cognitive decline independent of hs-CRP level.</p>","PeriodicalId":11686,"journal":{"name":"Environmental Health","volume":"23 1","pages":"111"},"PeriodicalIF":5.3000,"publicationDate":"2024-12-20","publicationTypes":"Journal Article","fieldsOfStudy":null,"isOpenAccess":false,"openAccessPdf":"https://www.ncbi.nlm.nih.gov/pmc/articles/PMC11662488/pdf/","citationCount":"0","resultStr":"{\"title\":\"Air pollution is linked to cognitive decline independent of hypersensitive C-reactive protein: insights from middle-aged and older Chinese.\",\"authors\":\"Li Huang, Xiangming Hu, Jia Liu, Jiajia Wang, Yingling Zhou, Guang Li, Guanghui Dong, Haojian Dong\",\"doi\":\"10.1186/s12940-024-01148-1\",\"DOIUrl\":null,\"url\":null,\"abstract\":\"<p><strong>Background: </strong>Long-term air pollution exposure and inflammation are considered to be associated with cognitive decline. However, whether air pollution exposure related cognitive decline is dependent on inflammation remains uncertain.</p><p><strong>Materials and methods: </strong>The present study collected data from China Health and Retirement Longitudinal Study (CHARLS) at baseline in 2011, with a follow up period in 2015. Concentration of air pollutants (particles with diameters ≤ 1.0 μm [PM<sub>1</sub>], ≤ 2.5 μm [PM<sub>2.5</sub>], ≤ 10 μm [PM<sub>10</sub>], nitrogen dioxide [NO<sub>2</sub>] and ozone [O<sub>3</sub>]) were obtained from China High Air Pollutants (CHAP) dataset. Hypersensitive C-reactive protein (hs-CRP), a systemic inflammation marker, was measured in blood of subjects and cognitive function was assessed by standardized questionnaire.</p><p><strong>Results: </strong>A total of 6434 participants were included in the study. Lower exposure to PM<sub>2.5</sub>, PM<sub>1</sub>, PM<sub>10</sub> and NO<sub>2</sub> were associated with mitigated cognitive decline. The odds ratios (ORs) for air pollutants changes and cognitive decline and 95% confidence intervals (CIs) were as follows: PM<sub>2.5</sub>-0.934(0.925, 0.943), PM<sub>1</sub>- 0.945 (0.935,0.955), PM<sub>10</sub>-0.977(0.972,0.982) and NO<sub>2</sub>-0.962(0.950,0.975), respectively. Hs-CRP showed no significant correlation with cognitive decline or change in levels of air pollution. The interaction regression analyses, both unadjusted and adjusted, did not uncover any significant correlation between hs-CRP and air pollution with respect to cognitive decline. Bootstrap test exhibited no significant mediating effect of hs-CRP on the relationship between any air pollutants and cognitive decline, the indirect effects of hs-CRP in conjunction with exposure to different air pollutants were all found to be non-significant, with the following bootstrap CIs and p-values: PM<sub>2.5</sub>-1.000([1.000,1.000], P = 0.480),PM<sub>1</sub>-1.000([1.000,1.000], P = 0.230),PM<sub>10</sub>-1.000([1.000,1.000], P = 0.650), O<sub>3</sub>-1.000([1.000,1.000], P = 0.470), ΔNO<sub>2</sub>-1.000([1.000,1.000], P = 0.830) .</p><p><strong>Conclusion: </strong>Ambient air pollution exposure was linked to cognitive decline independent of hs-CRP level.</p>\",\"PeriodicalId\":11686,\"journal\":{\"name\":\"Environmental Health\",\"volume\":\"23 1\",\"pages\":\"111\"},\"PeriodicalIF\":5.3000,\"publicationDate\":\"2024-12-20\",\"publicationTypes\":\"Journal Article\",\"fieldsOfStudy\":null,\"isOpenAccess\":false,\"openAccessPdf\":\"https://www.ncbi.nlm.nih.gov/pmc/articles/PMC11662488/pdf/\",\"citationCount\":\"0\",\"resultStr\":null,\"platform\":\"Semanticscholar\",\"paperid\":null,\"PeriodicalName\":\"Environmental Health\",\"FirstCategoryId\":\"93\",\"ListUrlMain\":\"https://doi.org/10.1186/s12940-024-01148-1\",\"RegionNum\":2,\"RegionCategory\":\"环境科学与生态学\",\"ArticlePicture\":[],\"TitleCN\":null,\"AbstractTextCN\":null,\"PMCID\":null,\"EPubDate\":\"\",\"PubModel\":\"\",\"JCR\":\"Q1\",\"JCRName\":\"ENVIRONMENTAL SCIENCES\",\"Score\":null,\"Total\":0}","platform":"Semanticscholar","paperid":null,"PeriodicalName":"Environmental Health","FirstCategoryId":"93","ListUrlMain":"https://doi.org/10.1186/s12940-024-01148-1","RegionNum":2,"RegionCategory":"环境科学与生态学","ArticlePicture":[],"TitleCN":null,"AbstractTextCN":null,"PMCID":null,"EPubDate":"","PubModel":"","JCR":"Q1","JCRName":"ENVIRONMENTAL SCIENCES","Score":null,"Total":0}
引用次数: 0

摘要

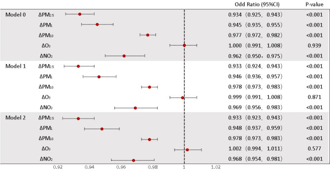
背景:长期暴露于空气污染和炎症被认为与认知能力下降有关。然而,空气污染暴露与认知能力下降是否依赖于炎症仍不确定。材料和方法:本研究收集了2011年基线时中国健康与退休纵向研究(CHARLS)的数据,并于2015年随访。利用中国高空气污染物(CHAP)数据集获取了空气污染物(粒径≤1.0 μm [PM1]、≤2.5 μm [PM2.5]、≤10 μm [PM10]、二氧化氮[NO2]和臭氧[O3])的浓度。检测受试者血液中全系统炎症标志物超敏c反应蛋白(hs-CRP),采用标准化问卷评估认知功能。结果:共纳入6434名受试者。较低的PM2.5、PM1、PM10和NO2暴露与认知能力下降的缓解有关。空气污染物变化与认知能力下降的比值比(ORs)和95%可信区间(ci)分别为PM2.5-0.934(0.925, 0.943)、PM1- 0.945(0.935,0.955)、PM10-0.977(0.972,0.982)和NO2-0.962(0.950,0.975)。Hs-CRP与认知能力下降或空气污染水平的变化没有显著相关性。相互作用回归分析,无论是未调整的还是调整的,都没有发现hs-CRP和空气污染在认知能力下降方面有任何显著的相关性。自举检验未发现hs-CRP对任何空气污染物与认知能力下降的关系有显著的中介作用,暴露于不同空气污染物时hs-CRP的间接作用均不显著,其自举CIs和p值如下:PM2.5-1.000([1.000,1.000], P = 0.480),PM1-1.000([1.000,1.000], P = 0.230),PM10-1.000([1.000,1.000], P = 0.650), O3-1.000([1.000,1.000], P = 0.470), ΔNO2-1.000([1.000,1.000], P = 0.830)。结论:环境空气污染暴露与认知能力下降有关,与hs-CRP水平无关。
本文章由计算机程序翻译,如有差异,请以英文原文为准。

Air pollution is linked to cognitive decline independent of hypersensitive C-reactive protein: insights from middle-aged and older Chinese.

Air pollution is linked to cognitive decline independent of hypersensitive C-reactive protein: insights from middle-aged and older Chinese.

Air pollution is linked to cognitive decline independent of hypersensitive C-reactive protein: insights from middle-aged and older Chinese.

Air pollution is linked to cognitive decline independent of hypersensitive C-reactive protein: insights from middle-aged and older Chinese.

Background: Long-term air pollution exposure and inflammation are considered to be associated with cognitive decline. However, whether air pollution exposure related cognitive decline is dependent on inflammation remains uncertain.

Materials and methods: The present study collected data from China Health and Retirement Longitudinal Study (CHARLS) at baseline in 2011, with a follow up period in 2015. Concentration of air pollutants (particles with diameters ≤ 1.0 μm [PM1], ≤ 2.5 μm [PM2.5], ≤ 10 μm [PM10], nitrogen dioxide [NO2] and ozone [O3]) were obtained from China High Air Pollutants (CHAP) dataset. Hypersensitive C-reactive protein (hs-CRP), a systemic inflammation marker, was measured in blood of subjects and cognitive function was assessed by standardized questionnaire.

Results: A total of 6434 participants were included in the study. Lower exposure to PM2.5, PM1, PM10 and NO2 were associated with mitigated cognitive decline. The odds ratios (ORs) for air pollutants changes and cognitive decline and 95% confidence intervals (CIs) were as follows: PM2.5-0.934(0.925, 0.943), PM1- 0.945 (0.935,0.955), PM10-0.977(0.972,0.982) and NO2-0.962(0.950,0.975), respectively. Hs-CRP showed no significant correlation with cognitive decline or change in levels of air pollution. The interaction regression analyses, both unadjusted and adjusted, did not uncover any significant correlation between hs-CRP and air pollution with respect to cognitive decline. Bootstrap test exhibited no significant mediating effect of hs-CRP on the relationship between any air pollutants and cognitive decline, the indirect effects of hs-CRP in conjunction with exposure to different air pollutants were all found to be non-significant, with the following bootstrap CIs and p-values: PM2.5-1.000([1.000,1.000], P = 0.480),PM1-1.000([1.000,1.000], P = 0.230),PM10-1.000([1.000,1.000], P = 0.650), O3-1.000([1.000,1.000], P = 0.470), ΔNO2-1.000([1.000,1.000], P = 0.830) .

Conclusion: Ambient air pollution exposure was linked to cognitive decline independent of hs-CRP level.

求助全文
通过发布文献求助,成功后即可免费获取论文全文。 去求助
来源期刊
Environmental Health
Environmental Health 环境科学-公共卫生、环境卫生与职业卫生
CiteScore
10.10
自引率
1.70%
发文量
115
审稿时长
3.0 months
期刊介绍: Environmental Health publishes manuscripts on all aspects of environmental and occupational medicine and related studies in toxicology and epidemiology. Environmental Health is aimed at scientists and practitioners in all areas of environmental science where human health and well-being are involved, either directly or indirectly. Environmental Health is a public health journal serving the public health community and scientists working on matters of public health interest and importance pertaining to the environment.
×
引用
GB/T 7714-2015
复制
MLA
复制
APA
复制
导出至
BibTeX EndNote RefMan NoteFirst NoteExpress
×
提示
您的信息不完整,为了账户安全,请先补充。
现在去补充
×
提示
您因"违规操作"
具体请查看互助需知
我知道了
×
提示
确定
请完成安全验证×
copy
已复制链接
快去分享给好友吧!
我知道了
右上角分享
点击右上角分享
0
联系我们:info@booksci.cn Book学术提供免费学术资源搜索服务,方便国内外学者检索中英文文献。致力于提供最便捷和优质的服务体验。 Copyright © 2023 布克学术 All rights reserved.
京ICP备2023020795号-1
ghs 京公网安备 11010802042870号
Book学术文献互助
Book学术文献互助群
群 号:604180095
Book学术官方微信