乳腺癌患者转移定向立体定向放疗:一项国际多中心队列研究的结果

IF 3.2 3区 医学 Q2 ONCOLOGY
Alexander Fabian, Daniel Buergy, Fabian Weykamp, Juliane Hörner-Rieber, Denise Bernhardt, Judit Boda-Heggemann, Montserrat Pazos, Nora Mehrhof, David Kaul, Alicia S Bicu, Eugenia Vlaskou Badra, Susanne Rogers, Stefan Janssen, Hossein Hemmatazad, Katharina Hintelmann, Eleni Gkika, Tim Lange, Konstantinos Ferentinos, Heiko Karle, Thomas Brunner, Andrea Wittig, Marciana Nona-Duma, Oliver Blanck, David Krug
{"title":"乳腺癌患者转移定向立体定向放疗:一项国际多中心队列研究的结果","authors":"Alexander Fabian, Daniel Buergy, Fabian Weykamp, Juliane Hörner-Rieber, Denise Bernhardt, Judit Boda-Heggemann, Montserrat Pazos, Nora Mehrhof, David Kaul, Alicia S Bicu, Eugenia Vlaskou Badra, Susanne Rogers, Stefan Janssen, Hossein Hemmatazad, Katharina Hintelmann, Eleni Gkika, Tim Lange, Konstantinos Ferentinos, Heiko Karle, Thomas Brunner, Andrea Wittig, Marciana Nona-Duma, Oliver Blanck, David Krug","doi":"10.1007/s10585-024-10326-x","DOIUrl":null,"url":null,"abstract":"<p><p>Metastasis-directed therapy (MDT) for oligometastatic breast cancer (≤ 5 metastases) has shown little effect in specific scenarios of randomized trials. Therefore, we aimed to assess outcomes after metastasis-directed stereotactic radiotherapy (SRT) in various clinical scenarios. We conducted an international retrospective cohort study in thirteen centers including breast cancer patients receiving SRT to any metastatic site. Outcomes included local recurrence (LR), progression-free survival (PFS), and overall survival (OS). Cumulative incidence analysis was used for LR, Kaplan-Meier estimates for PFS and OS. Covariables included patient, disease, and SRT characteristics. We performed univariable and multivariable analyses (MVA). Among 444 patients, 751 metastases were treated with SRT. Of these, 73% were intracranial and 27% extracranial lesions. Oligometastatic disease (OMD) was present in 66% of the patients. LR after two years occurred significantly more often in intracranial (25%) versus extracranial lesions (7%). In MVA of patients with OMD treated for intracranial sites, higher performance status was significantly associated with longer PFS. Further, higher performance status, biologic subtype (HR-pos./HER2-pos.), and MDT to all sites were significantly associated with longer OS. In MVA of oligometastatic patients treated for extracranial sites, biologic subtype (HR-neg./HER2-pos.) and synchronous metastasis were associated with significantly longer PFS, whereas higher grading was associated with significantly shorter PFS. Moreover, biologic subtype (HR-neg./HER2-neg.) was associated with significantly shorter OS. In conclusion, the role of MDT for breast cancer may vary per clinical scenario. Patients with OMD treated for intracranial lesions who had MDT to all sites showed superior OS. Our results should be validated prospectively.</p>","PeriodicalId":10267,"journal":{"name":"Clinical & Experimental Metastasis","volume":"42 1","pages":"6"},"PeriodicalIF":3.2000,"publicationDate":"2024-12-21","publicationTypes":"Journal Article","fieldsOfStudy":null,"isOpenAccess":false,"openAccessPdf":"https://www.ncbi.nlm.nih.gov/pmc/articles/PMC11663153/pdf/","citationCount":"0","resultStr":"{\"title\":\"Metastasis-directed stereotactic radiotherapy in patients with breast cancer: results of an international multicenter cohort study.\",\"authors\":\"Alexander Fabian, Daniel Buergy, Fabian Weykamp, Juliane Hörner-Rieber, Denise Bernhardt, Judit Boda-Heggemann, Montserrat Pazos, Nora Mehrhof, David Kaul, Alicia S Bicu, Eugenia Vlaskou Badra, Susanne Rogers, Stefan Janssen, Hossein Hemmatazad, Katharina Hintelmann, Eleni Gkika, Tim Lange, Konstantinos Ferentinos, Heiko Karle, Thomas Brunner, Andrea Wittig, Marciana Nona-Duma, Oliver Blanck, David Krug\",\"doi\":\"10.1007/s10585-024-10326-x\",\"DOIUrl\":null,\"url\":null,\"abstract\":\"<p><p>Metastasis-directed therapy (MDT) for oligometastatic breast cancer (≤ 5 metastases) has shown little effect in specific scenarios of randomized trials. Therefore, we aimed to assess outcomes after metastasis-directed stereotactic radiotherapy (SRT) in various clinical scenarios. We conducted an international retrospective cohort study in thirteen centers including breast cancer patients receiving SRT to any metastatic site. Outcomes included local recurrence (LR), progression-free survival (PFS), and overall survival (OS). Cumulative incidence analysis was used for LR, Kaplan-Meier estimates for PFS and OS. Covariables included patient, disease, and SRT characteristics. We performed univariable and multivariable analyses (MVA). Among 444 patients, 751 metastases were treated with SRT. Of these, 73% were intracranial and 27% extracranial lesions. Oligometastatic disease (OMD) was present in 66% of the patients. LR after two years occurred significantly more often in intracranial (25%) versus extracranial lesions (7%). In MVA of patients with OMD treated for intracranial sites, higher performance status was significantly associated with longer PFS. Further, higher performance status, biologic subtype (HR-pos./HER2-pos.), and MDT to all sites were significantly associated with longer OS. In MVA of oligometastatic patients treated for extracranial sites, biologic subtype (HR-neg./HER2-pos.) and synchronous metastasis were associated with significantly longer PFS, whereas higher grading was associated with significantly shorter PFS. Moreover, biologic subtype (HR-neg./HER2-neg.) was associated with significantly shorter OS. In conclusion, the role of MDT for breast cancer may vary per clinical scenario. Patients with OMD treated for intracranial lesions who had MDT to all sites showed superior OS. Our results should be validated prospectively.</p>\",\"PeriodicalId\":10267,\"journal\":{\"name\":\"Clinical & Experimental Metastasis\",\"volume\":\"42 1\",\"pages\":\"6\"},\"PeriodicalIF\":3.2000,\"publicationDate\":\"2024-12-21\",\"publicationTypes\":\"Journal Article\",\"fieldsOfStudy\":null,\"isOpenAccess\":false,\"openAccessPdf\":\"https://www.ncbi.nlm.nih.gov/pmc/articles/PMC11663153/pdf/\",\"citationCount\":\"0\",\"resultStr\":null,\"platform\":\"Semanticscholar\",\"paperid\":null,\"PeriodicalName\":\"Clinical & Experimental Metastasis\",\"FirstCategoryId\":\"3\",\"ListUrlMain\":\"https://doi.org/10.1007/s10585-024-10326-x\",\"RegionNum\":3,\"RegionCategory\":\"医学\",\"ArticlePicture\":[],\"TitleCN\":null,\"AbstractTextCN\":null,\"PMCID\":null,\"EPubDate\":\"\",\"PubModel\":\"\",\"JCR\":\"Q2\",\"JCRName\":\"ONCOLOGY\",\"Score\":null,\"Total\":0}","platform":"Semanticscholar","paperid":null,"PeriodicalName":"Clinical & Experimental Metastasis","FirstCategoryId":"3","ListUrlMain":"https://doi.org/10.1007/s10585-024-10326-x","RegionNum":3,"RegionCategory":"医学","ArticlePicture":[],"TitleCN":null,"AbstractTextCN":null,"PMCID":null,"EPubDate":"","PubModel":"","JCR":"Q2","JCRName":"ONCOLOGY","Score":null,"Total":0}
引用次数: 0

摘要

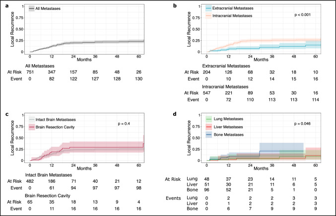
在随机试验的特定情况下,针对低转移性乳腺癌(≤5个转移)的转移导向治疗(MDT)效果甚微。因此,我们的目的是评估在各种临床情况下转移定向立体定向放疗(SRT)的结果。我们在13个中心进行了一项国际回顾性队列研究,包括接受SRT转移到任何转移部位的乳腺癌患者。结果包括局部复发(LR)、无进展生存(PFS)和总生存(OS)。LR采用累积发生率分析,PFS和OS采用Kaplan-Meier估计。协变量包括患者、疾病和SRT特征。我们进行单变量和多变量分析(MVA)。在444例患者中,751例转移灶接受了SRT治疗。其中,73%为颅内病变,27%为颅外病变。66%的患者存在寡转移性疾病(OMD)。两年后发生在颅内(25%)的LR明显高于颅外病变(7%)。在颅内部位治疗的OMD患者的MVA中,较高的表现状态与较长的PFS显着相关。此外,更高的性能状态、生物亚型(HR-pos./HER2-pos.)和所有部位的MDT与更长的生存期显著相关。在颅外部位低转移患者的MVA中,生物亚型(hr -阴性/HER2-pos.)和同步转移与PFS显著延长相关,而更高的分级与PFS显著缩短相关。此外,生物学亚型(hr -阴性/ her2 -阴性)与较短的OS相关。总之,MDT对乳腺癌的作用可能因临床情况而异。对颅内病变进行MDT治疗的OMD患者表现出更好的OS。我们的结果需要进行前瞻性的验证。
本文章由计算机程序翻译,如有差异,请以英文原文为准。

Metastasis-directed stereotactic radiotherapy in patients with breast cancer: results of an international multicenter cohort study.

Metastasis-directed stereotactic radiotherapy in patients with breast cancer: results of an international multicenter cohort study.

Metastasis-directed stereotactic radiotherapy in patients with breast cancer: results of an international multicenter cohort study.

Metastasis-directed stereotactic radiotherapy in patients with breast cancer: results of an international multicenter cohort study.

Metastasis-directed therapy (MDT) for oligometastatic breast cancer (≤ 5 metastases) has shown little effect in specific scenarios of randomized trials. Therefore, we aimed to assess outcomes after metastasis-directed stereotactic radiotherapy (SRT) in various clinical scenarios. We conducted an international retrospective cohort study in thirteen centers including breast cancer patients receiving SRT to any metastatic site. Outcomes included local recurrence (LR), progression-free survival (PFS), and overall survival (OS). Cumulative incidence analysis was used for LR, Kaplan-Meier estimates for PFS and OS. Covariables included patient, disease, and SRT characteristics. We performed univariable and multivariable analyses (MVA). Among 444 patients, 751 metastases were treated with SRT. Of these, 73% were intracranial and 27% extracranial lesions. Oligometastatic disease (OMD) was present in 66% of the patients. LR after two years occurred significantly more often in intracranial (25%) versus extracranial lesions (7%). In MVA of patients with OMD treated for intracranial sites, higher performance status was significantly associated with longer PFS. Further, higher performance status, biologic subtype (HR-pos./HER2-pos.), and MDT to all sites were significantly associated with longer OS. In MVA of oligometastatic patients treated for extracranial sites, biologic subtype (HR-neg./HER2-pos.) and synchronous metastasis were associated with significantly longer PFS, whereas higher grading was associated with significantly shorter PFS. Moreover, biologic subtype (HR-neg./HER2-neg.) was associated with significantly shorter OS. In conclusion, the role of MDT for breast cancer may vary per clinical scenario. Patients with OMD treated for intracranial lesions who had MDT to all sites showed superior OS. Our results should be validated prospectively.

求助全文
通过发布文献求助,成功后即可免费获取论文全文。 去求助
来源期刊
CiteScore
7.80
自引率
5.00%
发文量
55
审稿时长
12 months
期刊介绍: The Journal''s scope encompasses all aspects of metastasis research, whether laboratory-based, experimental or clinical and therapeutic. It covers such areas as molecular biology, pharmacology, tumor biology, and clinical cancer treatment (with all its subdivisions of surgery, chemotherapy and radio-therapy as well as pathology and epidemiology) insofar as these disciplines are concerned with the Journal''s core subject of metastasis formation, prevention and treatment.
×
引用
GB/T 7714-2015
复制
MLA
复制
APA
复制
导出至
BibTeX EndNote RefMan NoteFirst NoteExpress
×
提示
您的信息不完整,为了账户安全,请先补充。
现在去补充
×
提示
您因"违规操作"
具体请查看互助需知
我知道了
×
提示
确定
请完成安全验证×
copy
已复制链接
快去分享给好友吧!
我知道了
右上角分享
点击右上角分享
0
联系我们:info@booksci.cn Book学术提供免费学术资源搜索服务,方便国内外学者检索中英文文献。致力于提供最便捷和优质的服务体验。 Copyright © 2023 布克学术 All rights reserved.
京ICP备2023020795号-1
ghs 京公网安备 11010802042870号
Book学术文献互助
Book学术文献互助群
群 号:604180095
Book学术官方微信