比较新型原生益生菌和副益生菌在dss诱导的结肠炎中调节氧化应激和炎症的作用:对高脂肪饮食中强化治疗策略的影响

IF 2.7 4区 医学 Q3 IMMUNOLOGY
Niloofar Rezaie, Shadi Aghamohammad, Elham Haj Agha Gholizadeh Khiavi, Mohammad Reza Pourshafie, Malihe Talebi, Mahdi Rohani
{"title":"比较新型原生益生菌和副益生菌在dss诱导的结肠炎中调节氧化应激和炎症的作用:对高脂肪饮食中强化治疗策略的影响","authors":"Niloofar Rezaie, Shadi Aghamohammad, Elham Haj Agha Gholizadeh Khiavi, Mohammad Reza Pourshafie, Malihe Talebi, Mahdi Rohani","doi":"10.1186/s12865-024-00678-0","DOIUrl":null,"url":null,"abstract":"<p><strong>Aim: </strong>IBD is a condition that may result from the presence of oxidative stress. The objective of this research is to evaluate and compare the potency of probiotics and paraprobiotics to modulate oxidative stress and inflammation.</p><p><strong>Methods and results: </strong>In the initial phase, the antioxidant capabilities of 88 strains from Lactobacillus and Bifidobacterium were evaluated. In the subsequent phase, during the in-vivo stage, four experimental groups were established, consisting of a high-fat diet (HFD) + PBS, HFD + DSS, HFD + DSS + 10^<sup>9</sup> cfu/ml of 6 selected native probiotic, and HFD + DSS + 10^<sup>9</sup> cfu/ml of paraprobiotic (from 6 selected strains), with male wild-type C57BL/6 mice being assigned to these groups. The phenotypical indices and pathological scores along with the evaluation of the expression of genes associated with the NF-kB and Nrf2 signaling pathways, as well as enzymes linked to oxidant/anti-oxidant activities, and proinflammatory/inflammatory cytokines were performed. A significant difference was noted among the groups exposed to DSS and groups that given our native agents. The mice receiving a blend of probiotics and paraprobiotics alongside DSS demonstrated a mitigation of the harmful impacts caused by DSS, both regarding phenotypic traits, including pathological scores and also the level of cytokines and antioxidant markers and also molecular indicators like the Nrf2 and NF-kB associated genes. Also, there was no notable difference between our native probiotic and paraprobiotic.</p><p><strong>Conclusion: </strong>The study's findings provide evidence that the expression of inflammation can be successfully alleviated by utilizing our native probiotics and paraprobiotics, with a greater emphasis on the latter due to its inherent safety.</p><p><strong>Impact statements: </strong>This study highlighted the anti-inflammatory and antioxidant properties of probiotic and paraprobiotic that could be useful for patients with inflammatory status.</p>","PeriodicalId":9040,"journal":{"name":"BMC Immunology","volume":"25 1","pages":"85"},"PeriodicalIF":2.7000,"publicationDate":"2024-12-20","publicationTypes":"Journal Article","fieldsOfStudy":null,"isOpenAccess":false,"openAccessPdf":"https://www.ncbi.nlm.nih.gov/pmc/articles/PMC11662435/pdf/","citationCount":"0","resultStr":"{\"title\":\"Comparison of novel native probiotics and paraprobiotics in modulating oxidative stress and inflammation in DSS-induced colitis: implications for enhanced therapeutic strategies in high fat diet.\",\"authors\":\"Niloofar Rezaie, Shadi Aghamohammad, Elham Haj Agha Gholizadeh Khiavi, Mohammad Reza Pourshafie, Malihe Talebi, Mahdi Rohani\",\"doi\":\"10.1186/s12865-024-00678-0\",\"DOIUrl\":null,\"url\":null,\"abstract\":\"<p><strong>Aim: </strong>IBD is a condition that may result from the presence of oxidative stress. The objective of this research is to evaluate and compare the potency of probiotics and paraprobiotics to modulate oxidative stress and inflammation.</p><p><strong>Methods and results: </strong>In the initial phase, the antioxidant capabilities of 88 strains from Lactobacillus and Bifidobacterium were evaluated. In the subsequent phase, during the in-vivo stage, four experimental groups were established, consisting of a high-fat diet (HFD) + PBS, HFD + DSS, HFD + DSS + 10^<sup>9</sup> cfu/ml of 6 selected native probiotic, and HFD + DSS + 10^<sup>9</sup> cfu/ml of paraprobiotic (from 6 selected strains), with male wild-type C57BL/6 mice being assigned to these groups. The phenotypical indices and pathological scores along with the evaluation of the expression of genes associated with the NF-kB and Nrf2 signaling pathways, as well as enzymes linked to oxidant/anti-oxidant activities, and proinflammatory/inflammatory cytokines were performed. A significant difference was noted among the groups exposed to DSS and groups that given our native agents. The mice receiving a blend of probiotics and paraprobiotics alongside DSS demonstrated a mitigation of the harmful impacts caused by DSS, both regarding phenotypic traits, including pathological scores and also the level of cytokines and antioxidant markers and also molecular indicators like the Nrf2 and NF-kB associated genes. Also, there was no notable difference between our native probiotic and paraprobiotic.</p><p><strong>Conclusion: </strong>The study's findings provide evidence that the expression of inflammation can be successfully alleviated by utilizing our native probiotics and paraprobiotics, with a greater emphasis on the latter due to its inherent safety.</p><p><strong>Impact statements: </strong>This study highlighted the anti-inflammatory and antioxidant properties of probiotic and paraprobiotic that could be useful for patients with inflammatory status.</p>\",\"PeriodicalId\":9040,\"journal\":{\"name\":\"BMC Immunology\",\"volume\":\"25 1\",\"pages\":\"85\"},\"PeriodicalIF\":2.7000,\"publicationDate\":\"2024-12-20\",\"publicationTypes\":\"Journal Article\",\"fieldsOfStudy\":null,\"isOpenAccess\":false,\"openAccessPdf\":\"https://www.ncbi.nlm.nih.gov/pmc/articles/PMC11662435/pdf/\",\"citationCount\":\"0\",\"resultStr\":null,\"platform\":\"Semanticscholar\",\"paperid\":null,\"PeriodicalName\":\"BMC Immunology\",\"FirstCategoryId\":\"3\",\"ListUrlMain\":\"https://doi.org/10.1186/s12865-024-00678-0\",\"RegionNum\":4,\"RegionCategory\":\"医学\",\"ArticlePicture\":[],\"TitleCN\":null,\"AbstractTextCN\":null,\"PMCID\":null,\"EPubDate\":\"\",\"PubModel\":\"\",\"JCR\":\"Q3\",\"JCRName\":\"IMMUNOLOGY\",\"Score\":null,\"Total\":0}","platform":"Semanticscholar","paperid":null,"PeriodicalName":"BMC Immunology","FirstCategoryId":"3","ListUrlMain":"https://doi.org/10.1186/s12865-024-00678-0","RegionNum":4,"RegionCategory":"医学","ArticlePicture":[],"TitleCN":null,"AbstractTextCN":null,"PMCID":null,"EPubDate":"","PubModel":"","JCR":"Q3","JCRName":"IMMUNOLOGY","Score":null,"Total":0}
引用次数: 0

摘要

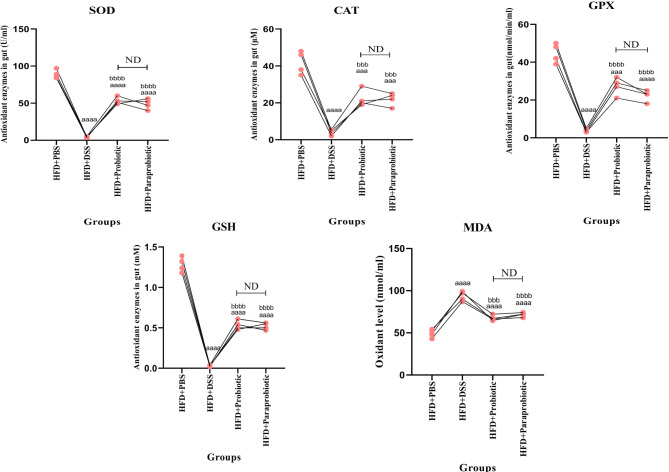
目的:IBD是一种可能由氧化应激引起的疾病。本研究的目的是评估和比较益生菌和副益生菌调节氧化应激和炎症的效力。方法与结果:在初始阶段,对88株乳酸菌和双歧杆菌进行了抗氧化能力评价。在体内阶段,将雄性野生型C57BL/6小鼠分为高脂饲料(HFD) + PBS、HFD + DSS、HFD + DSS + 10^9 cfu/ml的6种选定的天然益生菌和HFD + DSS + 10^9 cfu/ml的6种选定菌株的副益生菌4个实验组。进行表型指数和病理评分,以及与NF-kB和Nrf2信号通路相关的基因表达评估,以及与氧化/抗氧化活性相关的酶和促炎/炎症细胞因子。暴露于DSS的组和给予我们的本地制剂的组之间存在显着差异。与DSS一起接受益生菌和副益生菌混合治疗的小鼠,在表型特征(包括病理评分、细胞因子和抗氧化标记物水平以及Nrf2和NF-kB相关基因等分子指标)方面,均显示出DSS造成的有害影响有所减轻。此外,我们的原生益生菌和副益生菌之间没有显着差异。结论:本研究结果表明,利用我们的原生益生菌和副益生菌可以成功减轻炎症的表达,而后者因其固有的安全性而更受重视。影响声明:本研究强调了益生菌和副益生菌的抗炎和抗氧化特性,对炎症状态的患者可能有用。
本文章由计算机程序翻译,如有差异,请以英文原文为准。

Comparison of novel native probiotics and paraprobiotics in modulating oxidative stress and inflammation in DSS-induced colitis: implications for enhanced therapeutic strategies in high fat diet.

Comparison of novel native probiotics and paraprobiotics in modulating oxidative stress and inflammation in DSS-induced colitis: implications for enhanced therapeutic strategies in high fat diet.

Comparison of novel native probiotics and paraprobiotics in modulating oxidative stress and inflammation in DSS-induced colitis: implications for enhanced therapeutic strategies in high fat diet.

Comparison of novel native probiotics and paraprobiotics in modulating oxidative stress and inflammation in DSS-induced colitis: implications for enhanced therapeutic strategies in high fat diet.

Aim: IBD is a condition that may result from the presence of oxidative stress. The objective of this research is to evaluate and compare the potency of probiotics and paraprobiotics to modulate oxidative stress and inflammation.

Methods and results: In the initial phase, the antioxidant capabilities of 88 strains from Lactobacillus and Bifidobacterium were evaluated. In the subsequent phase, during the in-vivo stage, four experimental groups were established, consisting of a high-fat diet (HFD) + PBS, HFD + DSS, HFD + DSS + 10^9 cfu/ml of 6 selected native probiotic, and HFD + DSS + 10^9 cfu/ml of paraprobiotic (from 6 selected strains), with male wild-type C57BL/6 mice being assigned to these groups. The phenotypical indices and pathological scores along with the evaluation of the expression of genes associated with the NF-kB and Nrf2 signaling pathways, as well as enzymes linked to oxidant/anti-oxidant activities, and proinflammatory/inflammatory cytokines were performed. A significant difference was noted among the groups exposed to DSS and groups that given our native agents. The mice receiving a blend of probiotics and paraprobiotics alongside DSS demonstrated a mitigation of the harmful impacts caused by DSS, both regarding phenotypic traits, including pathological scores and also the level of cytokines and antioxidant markers and also molecular indicators like the Nrf2 and NF-kB associated genes. Also, there was no notable difference between our native probiotic and paraprobiotic.

Conclusion: The study's findings provide evidence that the expression of inflammation can be successfully alleviated by utilizing our native probiotics and paraprobiotics, with a greater emphasis on the latter due to its inherent safety.

Impact statements: This study highlighted the anti-inflammatory and antioxidant properties of probiotic and paraprobiotic that could be useful for patients with inflammatory status.

求助全文
通过发布文献求助,成功后即可免费获取论文全文。 去求助
来源期刊
BMC Immunology
BMC Immunology 医学-免疫学
CiteScore
5.50
自引率
0.00%
发文量
54
审稿时长
1 months
期刊介绍: BMC Immunology is an open access journal publishing original peer-reviewed research articles in molecular, cellular, tissue-level, organismal, functional, and developmental aspects of the immune system as well as clinical studies and animal models of human diseases.
×
引用
GB/T 7714-2015
复制
MLA
复制
APA
复制
导出至
BibTeX EndNote RefMan NoteFirst NoteExpress
×
提示
您的信息不完整,为了账户安全,请先补充。
现在去补充
×
提示
您因"违规操作"
具体请查看互助需知
我知道了
×
提示
确定
请完成安全验证×
copy
已复制链接
快去分享给好友吧!
我知道了
右上角分享
点击右上角分享
0
联系我们:info@booksci.cn Book学术提供免费学术资源搜索服务,方便国内外学者检索中英文文献。致力于提供最便捷和优质的服务体验。 Copyright © 2023 布克学术 All rights reserved.
京ICP备2023020795号-1
ghs 京公网安备 11010802042870号
Book学术文献互助
Book学术文献互助群
群 号:604180095
Book学术官方微信