环孢素 A 通过减少牙龈成纤维细胞的 G1 细胞周期停滞而导致牙龈过度生长。

IF 2.6 3区 综合性期刊 Q1 MULTIDISCIPLINARY SCIENCES
PLoS ONE Pub Date : 2024-12-20 eCollection Date: 2024-01-01 DOI:10.1371/journal.pone.0309189
Reiri Takeuchi, Takatoshi Nomura, Manabu Yaguchi, Noriko Kuwahara, Yuta Amino, Chieko Taguchi, Itaru Suzuki, Haruka Suzuki, Teruaki Nagashima, Kazumune Arikawa, Yuichiro Okada, Takato Nomoto, Koichi Hiratsuka
{"title":"环孢素 A 通过减少牙龈成纤维细胞的 G1 细胞周期停滞而导致牙龈过度生长。","authors":"Reiri Takeuchi, Takatoshi Nomura, Manabu Yaguchi, Noriko Kuwahara, Yuta Amino, Chieko Taguchi, Itaru Suzuki, Haruka Suzuki, Teruaki Nagashima, Kazumune Arikawa, Yuichiro Okada, Takato Nomoto, Koichi Hiratsuka","doi":"10.1371/journal.pone.0309189","DOIUrl":null,"url":null,"abstract":"<p><p>Gingival overgrowth caused by cyclosporine A is due to increased fibroblast proliferation in gingival tissues. Cell cycle system balances proliferation and anti-proliferation of gingival fibroblasts and plays a role in the maintenance of its population in gingival tissues. When cells detect and respond to abnormalities (e.g. DNA damage), cell cycle progression is arrested in the G1 phase until the completion of damage restoration. In this study, we investigated the effects of cyclosporine A on G1 cell cycle arrest and on its regulators in gingival fibroblasts to clarify the mechanism of cyclosporine A-induced gingival overgrowth. Human gingival fibroblasts from healthy donors were cultured to semi-confluence and were then treated with or without 200 ng/mL (166 nM) cyclosporine A in D-MEM with 2% fetal bovine serum. Cell proliferation was assessed by counting total cell numbers. The distribution of cell cycle phases was assessed using flow cytometric analysis. The levels of mRNA and protein expression for cell cycle regulators were quantified using reverse transcription-quantitative PCR and western blot analysis, respectively. Treatment with cyclosporine A markedly increased cell proliferation, inhibited G1 cell cycle arrest, significantly increased CDC25A and CYCLIN E1 mRNA expression levels, significantly decreased P21, SMAD3 and SMAD4 mRNA expression levels, significantly upregulated the protein expression levels of CDC25A, CYCLIN E1, pCDK2 and pRB1 and significantly downregulated the protein expression levels of P21, SMAD3 and SMAD4. Treatment with cyclosporine A also increased MYC and ATM mRNA expression levels and decreased CDK2, ATR, P27, P53 and RB1 mRNA expression levels but not significantly. These results demonstrate that cyclosporine A causes gingival overgrowth due to the following mechanism in gingival fibroblasts: cyclosporine A increases levels of phospho-CDK2 and CYCLIN E1 by upregulating CDC25A and downregulating P21 with the downregulation of SMAD3 and SMAD4, which results in the inhibition of G1 cell cycle arrest.</p>","PeriodicalId":20189,"journal":{"name":"PLoS ONE","volume":"19 12","pages":"e0309189"},"PeriodicalIF":2.6000,"publicationDate":"2024-12-20","publicationTypes":"Journal Article","fieldsOfStudy":null,"isOpenAccess":false,"openAccessPdf":"https://www.ncbi.nlm.nih.gov/pmc/articles/PMC11661605/pdf/","citationCount":"0","resultStr":"{\"title\":\"Cyclosporine A causes gingival overgrowth via reduced G1 cell cycle arrest in gingival fibroblasts.\",\"authors\":\"Reiri Takeuchi, Takatoshi Nomura, Manabu Yaguchi, Noriko Kuwahara, Yuta Amino, Chieko Taguchi, Itaru Suzuki, Haruka Suzuki, Teruaki Nagashima, Kazumune Arikawa, Yuichiro Okada, Takato Nomoto, Koichi Hiratsuka\",\"doi\":\"10.1371/journal.pone.0309189\",\"DOIUrl\":null,\"url\":null,\"abstract\":\"<p><p>Gingival overgrowth caused by cyclosporine A is due to increased fibroblast proliferation in gingival tissues. Cell cycle system balances proliferation and anti-proliferation of gingival fibroblasts and plays a role in the maintenance of its population in gingival tissues. When cells detect and respond to abnormalities (e.g. DNA damage), cell cycle progression is arrested in the G1 phase until the completion of damage restoration. In this study, we investigated the effects of cyclosporine A on G1 cell cycle arrest and on its regulators in gingival fibroblasts to clarify the mechanism of cyclosporine A-induced gingival overgrowth. Human gingival fibroblasts from healthy donors were cultured to semi-confluence and were then treated with or without 200 ng/mL (166 nM) cyclosporine A in D-MEM with 2% fetal bovine serum. Cell proliferation was assessed by counting total cell numbers. The distribution of cell cycle phases was assessed using flow cytometric analysis. The levels of mRNA and protein expression for cell cycle regulators were quantified using reverse transcription-quantitative PCR and western blot analysis, respectively. Treatment with cyclosporine A markedly increased cell proliferation, inhibited G1 cell cycle arrest, significantly increased CDC25A and CYCLIN E1 mRNA expression levels, significantly decreased P21, SMAD3 and SMAD4 mRNA expression levels, significantly upregulated the protein expression levels of CDC25A, CYCLIN E1, pCDK2 and pRB1 and significantly downregulated the protein expression levels of P21, SMAD3 and SMAD4. Treatment with cyclosporine A also increased MYC and ATM mRNA expression levels and decreased CDK2, ATR, P27, P53 and RB1 mRNA expression levels but not significantly. These results demonstrate that cyclosporine A causes gingival overgrowth due to the following mechanism in gingival fibroblasts: cyclosporine A increases levels of phospho-CDK2 and CYCLIN E1 by upregulating CDC25A and downregulating P21 with the downregulation of SMAD3 and SMAD4, which results in the inhibition of G1 cell cycle arrest.</p>\",\"PeriodicalId\":20189,\"journal\":{\"name\":\"PLoS ONE\",\"volume\":\"19 12\",\"pages\":\"e0309189\"},\"PeriodicalIF\":2.6000,\"publicationDate\":\"2024-12-20\",\"publicationTypes\":\"Journal Article\",\"fieldsOfStudy\":null,\"isOpenAccess\":false,\"openAccessPdf\":\"https://www.ncbi.nlm.nih.gov/pmc/articles/PMC11661605/pdf/\",\"citationCount\":\"0\",\"resultStr\":null,\"platform\":\"Semanticscholar\",\"paperid\":null,\"PeriodicalName\":\"PLoS ONE\",\"FirstCategoryId\":\"103\",\"ListUrlMain\":\"https://doi.org/10.1371/journal.pone.0309189\",\"RegionNum\":3,\"RegionCategory\":\"综合性期刊\",\"ArticlePicture\":[],\"TitleCN\":null,\"AbstractTextCN\":null,\"PMCID\":null,\"EPubDate\":\"2024/1/1 0:00:00\",\"PubModel\":\"eCollection\",\"JCR\":\"Q1\",\"JCRName\":\"MULTIDISCIPLINARY SCIENCES\",\"Score\":null,\"Total\":0}","platform":"Semanticscholar","paperid":null,"PeriodicalName":"PLoS ONE","FirstCategoryId":"103","ListUrlMain":"https://doi.org/10.1371/journal.pone.0309189","RegionNum":3,"RegionCategory":"综合性期刊","ArticlePicture":[],"TitleCN":null,"AbstractTextCN":null,"PMCID":null,"EPubDate":"2024/1/1 0:00:00","PubModel":"eCollection","JCR":"Q1","JCRName":"MULTIDISCIPLINARY SCIENCES","Score":null,"Total":0}
引用次数: 0

摘要

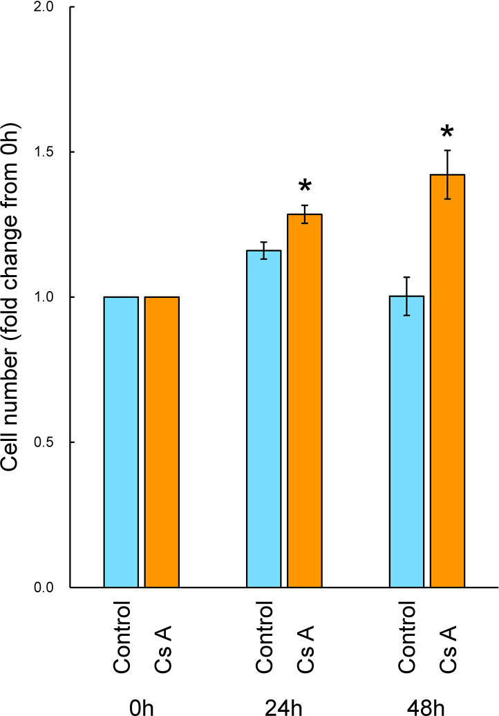
环孢素A引起的牙龈过度生长是由于牙龈组织中成纤维细胞增殖增加所致。细胞周期系统平衡牙龈成纤维细胞的增殖和抗增殖,并在牙龈组织中维持成纤维细胞的数量。当细胞检测到异常(如DNA损伤)并作出反应时,细胞周期进程被阻止在G1期,直到损伤恢复完成。本研究通过研究环孢素A对牙龈成纤维细胞G1细胞周期阻滞及其调控因子的影响,阐明环孢素A诱导牙龈过度生长的机制。将健康供体的人牙龈成纤维细胞培养至半融合状态,然后在含2%胎牛血清的D-MEM中分别添加或不添加200 ng/mL (166 nM)环孢素A。通过计数细胞总数评估细胞增殖情况。流式细胞术分析细胞周期期分布。分别用逆转录-定量PCR和western blot分析细胞周期调控因子mRNA和蛋白的表达水平。环孢素A可显著促进细胞增殖,抑制G1细胞周期阻滞,显著提高CDC25A和CYCLIN E1 mRNA表达水平,显著降低P21、SMAD3和SMAD4 mRNA表达水平,显著上调CDC25A、CYCLIN E1、pCDK2和pRB1蛋白表达水平,显著下调P21、SMAD3和SMAD4蛋白表达水平。环孢素A也增加了MYC和ATM mRNA的表达水平,降低了CDK2、ATR、P27、P53和RB1 mRNA的表达水平,但不显著。这些结果表明,环孢素A在牙龈成纤维细胞中引起牙龈过度生长的机制如下:环孢素A通过上调CDC25A,下调P21,下调SMAD3和SMAD4,从而增加磷酸化cdk2和CYCLIN E1的水平,从而抑制G1细胞周期阻滞。
本文章由计算机程序翻译,如有差异,请以英文原文为准。

Cyclosporine A causes gingival overgrowth via reduced G1 cell cycle arrest in gingival fibroblasts.

Cyclosporine A causes gingival overgrowth via reduced G1 cell cycle arrest in gingival fibroblasts.

Cyclosporine A causes gingival overgrowth via reduced G1 cell cycle arrest in gingival fibroblasts.

Cyclosporine A causes gingival overgrowth via reduced G1 cell cycle arrest in gingival fibroblasts.

Gingival overgrowth caused by cyclosporine A is due to increased fibroblast proliferation in gingival tissues. Cell cycle system balances proliferation and anti-proliferation of gingival fibroblasts and plays a role in the maintenance of its population in gingival tissues. When cells detect and respond to abnormalities (e.g. DNA damage), cell cycle progression is arrested in the G1 phase until the completion of damage restoration. In this study, we investigated the effects of cyclosporine A on G1 cell cycle arrest and on its regulators in gingival fibroblasts to clarify the mechanism of cyclosporine A-induced gingival overgrowth. Human gingival fibroblasts from healthy donors were cultured to semi-confluence and were then treated with or without 200 ng/mL (166 nM) cyclosporine A in D-MEM with 2% fetal bovine serum. Cell proliferation was assessed by counting total cell numbers. The distribution of cell cycle phases was assessed using flow cytometric analysis. The levels of mRNA and protein expression for cell cycle regulators were quantified using reverse transcription-quantitative PCR and western blot analysis, respectively. Treatment with cyclosporine A markedly increased cell proliferation, inhibited G1 cell cycle arrest, significantly increased CDC25A and CYCLIN E1 mRNA expression levels, significantly decreased P21, SMAD3 and SMAD4 mRNA expression levels, significantly upregulated the protein expression levels of CDC25A, CYCLIN E1, pCDK2 and pRB1 and significantly downregulated the protein expression levels of P21, SMAD3 and SMAD4. Treatment with cyclosporine A also increased MYC and ATM mRNA expression levels and decreased CDK2, ATR, P27, P53 and RB1 mRNA expression levels but not significantly. These results demonstrate that cyclosporine A causes gingival overgrowth due to the following mechanism in gingival fibroblasts: cyclosporine A increases levels of phospho-CDK2 and CYCLIN E1 by upregulating CDC25A and downregulating P21 with the downregulation of SMAD3 and SMAD4, which results in the inhibition of G1 cell cycle arrest.

求助全文
通过发布文献求助,成功后即可免费获取论文全文。 去求助
来源期刊
PLoS ONE
PLoS ONE 生物-生物学
CiteScore
6.20
自引率
5.40%
发文量
14242
审稿时长
3.7 months
期刊介绍: PLOS ONE is an international, peer-reviewed, open-access, online publication. PLOS ONE welcomes reports on primary research from any scientific discipline. It provides: * Open-access—freely accessible online, authors retain copyright * Fast publication times * Peer review by expert, practicing researchers * Post-publication tools to indicate quality and impact * Community-based dialogue on articles * Worldwide media coverage
×
引用
GB/T 7714-2015
复制
MLA
复制
APA
复制
导出至
BibTeX EndNote RefMan NoteFirst NoteExpress
×
提示
您的信息不完整,为了账户安全,请先补充。
现在去补充
×
提示
您因"违规操作"
具体请查看互助需知
我知道了
×
提示
确定
请完成安全验证×
copy
已复制链接
快去分享给好友吧!
我知道了
右上角分享
点击右上角分享
0
联系我们:info@booksci.cn Book学术提供免费学术资源搜索服务,方便国内外学者检索中英文文献。致力于提供最便捷和优质的服务体验。 Copyright © 2023 布克学术 All rights reserved.
京ICP备2023020795号-1
ghs 京公网安备 11010802042870号
Book学术文献互助
Book学术文献互助群
群 号:604180095
Book学术官方微信