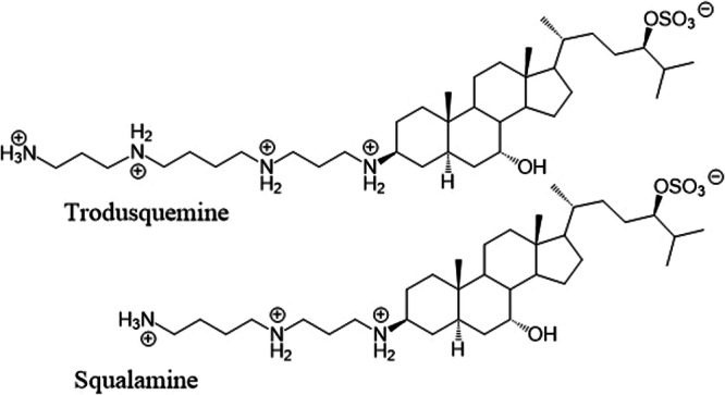
角鲨胺甾醇的抗衰老特性。

IF 6 Q2 GERIATRICS & GERONTOLOGY
Denise Barbut, Michele Perni, Michael Zasloff
{"title":"角鲨胺甾醇的抗衰老特性。","authors":"Denise Barbut, Michele Perni, Michael Zasloff","doi":"10.1038/s41514-024-00188-8","DOIUrl":null,"url":null,"abstract":"<p><p>The development of anti-aging drugs is challenged by both the apparent complexity of the physiological mechanisms involved in aging and the likelihood that many of these mechanisms remain unknown. As a consequence, the development of anti-aging compounds based on the rational targeting of specific pathways has fallen short of the goal. To date, the most impressive compound is rapamycin, a natural bacterial product initially identified as an antifungal, and only subsequently discovered to have anti-aging properties. In this review, we focus on two aminosterols from the dogfish shark, Squalus acanthias, that we discovered initially as broad-spectrum anti-microbial agents. This review is the first to gather together published studies conducted both in vitro and in numerous vertebrate species to demonstrate that these compounds target aging pathways at the cellular level and provide benefits in multiple aging-associated conditions in relevant animal models and in humans. The dogfish aminosterols should be recognized as potential anti-aging drugs.</p>","PeriodicalId":94160,"journal":{"name":"npj aging","volume":"10 1","pages":"62"},"PeriodicalIF":6.0000,"publicationDate":"2024-12-19","publicationTypes":"Journal Article","fieldsOfStudy":null,"isOpenAccess":false,"openAccessPdf":"https://www.ncbi.nlm.nih.gov/pmc/articles/PMC11659403/pdf/","citationCount":"0","resultStr":"{\"title\":\"Anti-aging properties of the aminosterols of the dogfish shark.\",\"authors\":\"Denise Barbut, Michele Perni, Michael Zasloff\",\"doi\":\"10.1038/s41514-024-00188-8\",\"DOIUrl\":null,\"url\":null,\"abstract\":\"<p><p>The development of anti-aging drugs is challenged by both the apparent complexity of the physiological mechanisms involved in aging and the likelihood that many of these mechanisms remain unknown. As a consequence, the development of anti-aging compounds based on the rational targeting of specific pathways has fallen short of the goal. To date, the most impressive compound is rapamycin, a natural bacterial product initially identified as an antifungal, and only subsequently discovered to have anti-aging properties. In this review, we focus on two aminosterols from the dogfish shark, Squalus acanthias, that we discovered initially as broad-spectrum anti-microbial agents. This review is the first to gather together published studies conducted both in vitro and in numerous vertebrate species to demonstrate that these compounds target aging pathways at the cellular level and provide benefits in multiple aging-associated conditions in relevant animal models and in humans. The dogfish aminosterols should be recognized as potential anti-aging drugs.</p>\",\"PeriodicalId\":94160,\"journal\":{\"name\":\"npj aging\",\"volume\":\"10 1\",\"pages\":\"62\"},\"PeriodicalIF\":6.0000,\"publicationDate\":\"2024-12-19\",\"publicationTypes\":\"Journal Article\",\"fieldsOfStudy\":null,\"isOpenAccess\":false,\"openAccessPdf\":\"https://www.ncbi.nlm.nih.gov/pmc/articles/PMC11659403/pdf/\",\"citationCount\":\"0\",\"resultStr\":null,\"platform\":\"Semanticscholar\",\"paperid\":null,\"PeriodicalName\":\"npj aging\",\"FirstCategoryId\":\"1085\",\"ListUrlMain\":\"https://doi.org/10.1038/s41514-024-00188-8\",\"RegionNum\":0,\"RegionCategory\":null,\"ArticlePicture\":[],\"TitleCN\":null,\"AbstractTextCN\":null,\"PMCID\":null,\"EPubDate\":\"\",\"PubModel\":\"\",\"JCR\":\"Q2\",\"JCRName\":\"GERIATRICS & GERONTOLOGY\",\"Score\":null,\"Total\":0}","platform":"Semanticscholar","paperid":null,"PeriodicalName":"npj aging","FirstCategoryId":"1085","ListUrlMain":"https://doi.org/10.1038/s41514-024-00188-8","RegionNum":0,"RegionCategory":null,"ArticlePicture":[],"TitleCN":null,"AbstractTextCN":null,"PMCID":null,"EPubDate":"","PubModel":"","JCR":"Q2","JCRName":"GERIATRICS & GERONTOLOGY","Score":null,"Total":0}
引用次数: 0

摘要

抗衰老药物的开发面临着两方面的挑战:衰老生理机制的明显复杂性,以及许多机制仍不为人知的可能性。因此,基于特定途径的合理靶向的抗衰老化合物的发展已达不到目标。迄今为止,最令人印象深刻的化合物是雷帕霉素,这是一种天然细菌产物,最初被认为是一种抗真菌药物,后来才发现它具有抗衰老的特性。本文综述了从角鲨鲨(Squalus acanthias)中发现的两种广谱抗菌药物氨基甾醇。这篇综述首次收集了在体外和许多脊椎动物物种中进行的已发表的研究,以证明这些化合物在细胞水平上靶向衰老途径,并在相关动物模型和人类的多种衰老相关条件下提供益处。角鲨胺甾醇应该被认为是潜在的抗衰老药物。
本文章由计算机程序翻译,如有差异,请以英文原文为准。

Anti-aging properties of the aminosterols of the dogfish shark.

Anti-aging properties of the aminosterols of the dogfish shark.

Anti-aging properties of the aminosterols of the dogfish shark.

Anti-aging properties of the aminosterols of the dogfish shark.

The development of anti-aging drugs is challenged by both the apparent complexity of the physiological mechanisms involved in aging and the likelihood that many of these mechanisms remain unknown. As a consequence, the development of anti-aging compounds based on the rational targeting of specific pathways has fallen short of the goal. To date, the most impressive compound is rapamycin, a natural bacterial product initially identified as an antifungal, and only subsequently discovered to have anti-aging properties. In this review, we focus on two aminosterols from the dogfish shark, Squalus acanthias, that we discovered initially as broad-spectrum anti-microbial agents. This review is the first to gather together published studies conducted both in vitro and in numerous vertebrate species to demonstrate that these compounds target aging pathways at the cellular level and provide benefits in multiple aging-associated conditions in relevant animal models and in humans. The dogfish aminosterols should be recognized as potential anti-aging drugs.

求助全文
通过发布文献求助,成功后即可免费获取论文全文。 去求助
来源期刊
CiteScore
8.90
自引率
0.00%
发文量
0
×
引用
GB/T 7714-2015
复制
MLA
复制
APA
复制
导出至
BibTeX EndNote RefMan NoteFirst NoteExpress
×
提示
您的信息不完整,为了账户安全,请先补充。
现在去补充
×
提示
您因"违规操作"
具体请查看互助需知
我知道了
×
提示
确定
请完成安全验证×
copy
已复制链接
快去分享给好友吧!
我知道了
右上角分享
点击右上角分享
0
联系我们:info@booksci.cn Book学术提供免费学术资源搜索服务,方便国内外学者检索中英文文献。致力于提供最便捷和优质的服务体验。 Copyright © 2023 布克学术 All rights reserved.
京ICP备2023020795号-1
ghs 京公网安备 11010802042870号
Book学术文献互助
Book学术文献互助群
群 号:604180095
Book学术官方微信