两种佛罗里达潜水鸟类:凤头鸟(anhinga anhinga)和双冠鸬鹚(Nannopterum auritum)的氧储存和代谢比较机制。

IF 1.6 3区 生物学 Q4 PHYSIOLOGY
Jeff White, Elizabeth R Schell, Neal J Dawson, Kevin G McCracken
{"title":"两种佛罗里达潜水鸟类:凤头鸟(anhinga anhinga)和双冠鸬鹚(Nannopterum auritum)的氧储存和代谢比较机制。","authors":"Jeff White, Elizabeth R Schell, Neal J Dawson, Kevin G McCracken","doi":"10.1007/s00360-024-01593-x","DOIUrl":null,"url":null,"abstract":"<p><p>Air-breathing vertebrates face many physiological challenges while breath-hold diving. In particular, they must endure intermittent periods of declining oxygen (O<sub>2</sub>) stores, as well as the need to rapidly replenish depleted O<sub>2</sub> at the surface prior to their next dive. While many species show adaptive increases in the O<sub>2</sub> storage capacity of the blood or muscles, others increase the oxidative capacity of the muscles through changes in mitochondrial arrangement, abundance, or remodeling of key metabolic pathways. Here, we assess the diving phenotypes of two sympatric diving birds: the anhinga (Anhinga anhinga) and the double-crested cormorant (Nannopterum auritum). In each, we measured blood- and muscle-O<sub>2</sub> storage capacity, as well as phenotypic characteristics such as muscle fiber composition, capillarity, and mitochondrial arrangement and abundance in the primary flight (pectoralis) and swimming (gastrocnemius) muscles. Finally, we compared the maximal activities of 10 key enzymes in the pectoralis, gastrocnemius, and left ventricle of the heart to assess tissue level oxidative capacity and fuel use. Our results indicate that both species utilize enhanced muscle-O<sub>2</sub> stores over blood-O<sub>2</sub>. This is most apparent in the large difference in available myoglobin in the gastrocnemius between the two species. Oxidative capacity varied significantly between the flight and swimming muscles and between the two species. However, both species showed lower oxidative capacity than expected compared to other diving birds. In particular, the anhinga exhibits a unique diving phenotype with a slightly higher reliance on glycolysis and lower aerobic ATP generation than double-crested cormorants.</p>","PeriodicalId":56033,"journal":{"name":"Journal of Comparative Physiology B-Biochemical Systems and Environmental Physiology","volume":" ","pages":"191-208"},"PeriodicalIF":1.6000,"publicationDate":"2025-04-01","publicationTypes":"Journal Article","fieldsOfStudy":null,"isOpenAccess":false,"openAccessPdf":"https://www.ncbi.nlm.nih.gov/pmc/articles/PMC12069429/pdf/","citationCount":"0","resultStr":"{\"title\":\"Comparative mechanisms for O<sub>2</sub> storage and metabolism in two Florida diving birds: the anhinga (Anhinga anhinga) and the double-crested cormorant (Nannopterum auritum).\",\"authors\":\"Jeff White, Elizabeth R Schell, Neal J Dawson, Kevin G McCracken\",\"doi\":\"10.1007/s00360-024-01593-x\",\"DOIUrl\":null,\"url\":null,\"abstract\":\"<p><p>Air-breathing vertebrates face many physiological challenges while breath-hold diving. In particular, they must endure intermittent periods of declining oxygen (O<sub>2</sub>) stores, as well as the need to rapidly replenish depleted O<sub>2</sub> at the surface prior to their next dive. While many species show adaptive increases in the O<sub>2</sub> storage capacity of the blood or muscles, others increase the oxidative capacity of the muscles through changes in mitochondrial arrangement, abundance, or remodeling of key metabolic pathways. Here, we assess the diving phenotypes of two sympatric diving birds: the anhinga (Anhinga anhinga) and the double-crested cormorant (Nannopterum auritum). In each, we measured blood- and muscle-O<sub>2</sub> storage capacity, as well as phenotypic characteristics such as muscle fiber composition, capillarity, and mitochondrial arrangement and abundance in the primary flight (pectoralis) and swimming (gastrocnemius) muscles. Finally, we compared the maximal activities of 10 key enzymes in the pectoralis, gastrocnemius, and left ventricle of the heart to assess tissue level oxidative capacity and fuel use. Our results indicate that both species utilize enhanced muscle-O<sub>2</sub> stores over blood-O<sub>2</sub>. This is most apparent in the large difference in available myoglobin in the gastrocnemius between the two species. Oxidative capacity varied significantly between the flight and swimming muscles and between the two species. However, both species showed lower oxidative capacity than expected compared to other diving birds. In particular, the anhinga exhibits a unique diving phenotype with a slightly higher reliance on glycolysis and lower aerobic ATP generation than double-crested cormorants.</p>\",\"PeriodicalId\":56033,\"journal\":{\"name\":\"Journal of Comparative Physiology B-Biochemical Systems and Environmental Physiology\",\"volume\":\" \",\"pages\":\"191-208\"},\"PeriodicalIF\":1.6000,\"publicationDate\":\"2025-04-01\",\"publicationTypes\":\"Journal Article\",\"fieldsOfStudy\":null,\"isOpenAccess\":false,\"openAccessPdf\":\"https://www.ncbi.nlm.nih.gov/pmc/articles/PMC12069429/pdf/\",\"citationCount\":\"0\",\"resultStr\":null,\"platform\":\"Semanticscholar\",\"paperid\":null,\"PeriodicalName\":\"Journal of Comparative Physiology B-Biochemical Systems and Environmental Physiology\",\"FirstCategoryId\":\"99\",\"ListUrlMain\":\"https://doi.org/10.1007/s00360-024-01593-x\",\"RegionNum\":3,\"RegionCategory\":\"生物学\",\"ArticlePicture\":[],\"TitleCN\":null,\"AbstractTextCN\":null,\"PMCID\":null,\"EPubDate\":\"2024/12/20 0:00:00\",\"PubModel\":\"Epub\",\"JCR\":\"Q4\",\"JCRName\":\"PHYSIOLOGY\",\"Score\":null,\"Total\":0}","platform":"Semanticscholar","paperid":null,"PeriodicalName":"Journal of Comparative Physiology B-Biochemical Systems and Environmental Physiology","FirstCategoryId":"99","ListUrlMain":"https://doi.org/10.1007/s00360-024-01593-x","RegionNum":3,"RegionCategory":"生物学","ArticlePicture":[],"TitleCN":null,"AbstractTextCN":null,"PMCID":null,"EPubDate":"2024/12/20 0:00:00","PubModel":"Epub","JCR":"Q4","JCRName":"PHYSIOLOGY","Score":null,"Total":0}
引用次数: 0

摘要

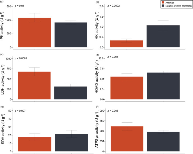
呼吸脊椎动物在憋气潜水时面临许多生理挑战。特别是,它们必须忍受氧气储存的间歇性下降,以及在下一次潜水之前迅速补充表面耗尽的氧气的需要。虽然许多物种表现出血液或肌肉的氧储存能力的适应性增加,但其他物种通过改变线粒体排列、丰度或重塑关键代谢途径来增加肌肉的氧化能力。在此,我们评估了两种同域潜水鸟类的潜水表型:凤头鸟(anhinga anhinga)和双冠鸬鹚(Nannopterum auritum)。在每个实验中,我们测量了血液和肌肉的氧气储存能力,以及肌肉纤维组成、毛细血管、线粒体排列和主要飞行(胸肌)和游泳(腓肠肌)肌肉的丰度等表型特征。最后,我们比较了胸肌、腓肠肌和左心室10种关键酶的最大活性,以评估组织水平的氧化能力和燃料使用。我们的研究结果表明,这两个物种都利用增强的肌肉氧储存而不是血液氧。这在两个物种之间腓肠肌中可用肌红蛋白的巨大差异中最为明显。氧化能力在飞行肌肉和游泳肌肉之间以及两个物种之间存在显著差异。然而,与其他潜水鸟类相比,这两个物种的氧化能力都低于预期。特别是,凤头鸬鹚表现出独特的潜水表型,与双冠鸬鹚相比,它对糖酵解的依赖程度略高,有氧ATP的产生程度略低。
本文章由计算机程序翻译,如有差异,请以英文原文为准。

Comparative mechanisms for O<sub>2</sub> storage and metabolism in two Florida diving birds: the anhinga (Anhinga anhinga) and the double-crested cormorant (Nannopterum auritum).

Comparative mechanisms for O<sub>2</sub> storage and metabolism in two Florida diving birds: the anhinga (Anhinga anhinga) and the double-crested cormorant (Nannopterum auritum).

Comparative mechanisms for O<sub>2</sub> storage and metabolism in two Florida diving birds: the anhinga (Anhinga anhinga) and the double-crested cormorant (Nannopterum auritum).

Comparative mechanisms for O2 storage and metabolism in two Florida diving birds: the anhinga (Anhinga anhinga) and the double-crested cormorant (Nannopterum auritum).

Air-breathing vertebrates face many physiological challenges while breath-hold diving. In particular, they must endure intermittent periods of declining oxygen (O2) stores, as well as the need to rapidly replenish depleted O2 at the surface prior to their next dive. While many species show adaptive increases in the O2 storage capacity of the blood or muscles, others increase the oxidative capacity of the muscles through changes in mitochondrial arrangement, abundance, or remodeling of key metabolic pathways. Here, we assess the diving phenotypes of two sympatric diving birds: the anhinga (Anhinga anhinga) and the double-crested cormorant (Nannopterum auritum). In each, we measured blood- and muscle-O2 storage capacity, as well as phenotypic characteristics such as muscle fiber composition, capillarity, and mitochondrial arrangement and abundance in the primary flight (pectoralis) and swimming (gastrocnemius) muscles. Finally, we compared the maximal activities of 10 key enzymes in the pectoralis, gastrocnemius, and left ventricle of the heart to assess tissue level oxidative capacity and fuel use. Our results indicate that both species utilize enhanced muscle-O2 stores over blood-O2. This is most apparent in the large difference in available myoglobin in the gastrocnemius between the two species. Oxidative capacity varied significantly between the flight and swimming muscles and between the two species. However, both species showed lower oxidative capacity than expected compared to other diving birds. In particular, the anhinga exhibits a unique diving phenotype with a slightly higher reliance on glycolysis and lower aerobic ATP generation than double-crested cormorants.

求助全文
通过发布文献求助,成功后即可免费获取论文全文。 去求助
来源期刊
CiteScore
3.90
自引率
0.00%
发文量
51
审稿时长
3.5 months
期刊介绍: The Journal of Comparative Physiology B publishes peer-reviewed original articles and reviews on the comparative physiology of invertebrate and vertebrate animals. Special emphasis is placed on integrative studies that elucidate mechanisms at the whole-animal, organ, tissue, cellular and/or molecular levels. Review papers report on the current state of knowledge in an area of comparative physiology, and directions in which future research is needed.
×
引用
GB/T 7714-2015
复制
MLA
复制
APA
复制
导出至
BibTeX EndNote RefMan NoteFirst NoteExpress
×
提示
您的信息不完整,为了账户安全,请先补充。
现在去补充
×
提示
您因"违规操作"
具体请查看互助需知
我知道了
×
提示
确定
请完成安全验证×
copy
已复制链接
快去分享给好友吧!
我知道了
右上角分享
点击右上角分享
0
联系我们:info@booksci.cn Book学术提供免费学术资源搜索服务,方便国内外学者检索中英文文献。致力于提供最便捷和优质的服务体验。 Copyright © 2023 布克学术 All rights reserved.
京ICP备2023020795号-1
ghs 京公网安备 11010802042870号
Book学术文献互助
Book学术文献互助群
群 号:604180095
Book学术官方微信