接种 COVID-19 疫苗后口腔不良反应的特征以及与 COVID-19 患者口腔症状的相似性:味觉和唾液分泌失调。

IF 2.2 3区 医学 Q1 MEDICINE, GENERAL & INTERNAL
Medical Principles and Practice Pub Date : 2025-01-01 Epub Date: 2024-12-19 DOI:10.1159/000543182
Hironori Tsuchiya, Maki Mizogami
{"title":"接种 COVID-19 疫苗后口腔不良反应的特征以及与 COVID-19 患者口腔症状的相似性:味觉和唾液分泌失调。","authors":"Hironori Tsuchiya, Maki Mizogami","doi":"10.1159/000543182","DOIUrl":null,"url":null,"abstract":"<p><p>Although coronavirus disease 2019 (COVID-19) vaccines exhibit diverse side effects, taste and saliva secretory disorders have remained poorly understood despite their negative impact on the overall quality of life. The present study aimed to characterize oral adverse effects following COVID-19 vaccination and assess their similarities with oral symptoms in COVID-19 patients. A literature search was conducted in databases, including PubMed, LitCovid, and Google Scholar, to retrieve relevant studies. The narrative review indicated that a certain number of vaccinated people develop ageusia, dysgeusia, hypogeusia, xerostomia, and dry mouth, while they are rare compared with COVID-19 oral symptoms. The prevalence of oral adverse effects varies by country/region and such geographical differences may be related to the type of vaccine used. Similar to severe acute respiratory syndrome coronavirus 2 (SARS-CoV-2) infection, COVID-19 vaccination adversely affects taste perception and salivary secretion in females and older subjects more frequently than in males and younger subjects. Their impairments mostly appear within 3 days of vaccination, and bitter taste is specifically impaired in some cases. Considering that oral adverse effects following COVID-19 vaccination share some characteristics with oral symptoms in COVID-19 patients, it is speculated that the spike protein derived from COVID-19 vaccination and SARS-CoV-2 infection may be pathophysiologically responsible for taste and saliva secretory disorders. This is because such spike protein has the potential to interact with ACE2 expressed on the relevant cells, produce proinflammatory cytokines, and form antiphospholipid antibodies. Our results do not deny the advantages of COVID-19 vaccination, but attention should be paid to post-vaccination oral effects in addition to COVID-19 oral symptoms. Although coronavirus disease 2019 (COVID-19) vaccines exhibit diverse side effects, taste and saliva secretory disorders have remained poorly understood despite their negative impact on the overall quality of life. The present study aimed to characterize oral adverse effects following COVID-19 vaccination and assess their similarities with oral symptoms in COVID-19 patients. A literature search was conducted in databases, including PubMed, LitCovid, and Google Scholar, to retrieve relevant studies. The narrative review indicated that a certain number of vaccinated people develop ageusia, dysgeusia, hypogeusia, xerostomia, and dry mouth, while they are rare compared with COVID-19 oral symptoms. The prevalence of oral adverse effects varies by country/region and such geographical differences may be related to the type of vaccine used. Similar to severe acute respiratory syndrome coronavirus 2 (SARS-CoV-2) infection, COVID-19 vaccination adversely affects taste perception and salivary secretion in females and older subjects more frequently than in males and younger subjects. Their impairments mostly appear within 3 days of vaccination, and bitter taste is specifically impaired in some cases. Considering that oral adverse effects following COVID-19 vaccination share some characteristics with oral symptoms in COVID-19 patients, it is speculated that the spike protein derived from COVID-19 vaccination and SARS-CoV-2 infection may be pathophysiologically responsible for taste and saliva secretory disorders. This is because such spike protein has the potential to interact with ACE2 expressed on the relevant cells, produce proinflammatory cytokines, and form antiphospholipid antibodies. Our results do not deny the advantages of COVID-19 vaccination, but attention should be paid to post-vaccination oral effects in addition to COVID-19 oral symptoms.</p>","PeriodicalId":18455,"journal":{"name":"Medical Principles and Practice","volume":" ","pages":"101-120"},"PeriodicalIF":2.2000,"publicationDate":"2025-01-01","publicationTypes":"Journal Article","fieldsOfStudy":null,"isOpenAccess":false,"openAccessPdf":"https://www.ncbi.nlm.nih.gov/pmc/articles/PMC11936456/pdf/","citationCount":"0","resultStr":"{\"title\":\"Characteristics of Oral Adverse Effects following COVID-19 Vaccination and Similarities with Oral Symptoms in COVID-19 Patients: Taste and Saliva Secretory Disorders.\",\"authors\":\"Hironori Tsuchiya, Maki Mizogami\",\"doi\":\"10.1159/000543182\",\"DOIUrl\":null,\"url\":null,\"abstract\":\"<p><p>Although coronavirus disease 2019 (COVID-19) vaccines exhibit diverse side effects, taste and saliva secretory disorders have remained poorly understood despite their negative impact on the overall quality of life. The present study aimed to characterize oral adverse effects following COVID-19 vaccination and assess their similarities with oral symptoms in COVID-19 patients. A literature search was conducted in databases, including PubMed, LitCovid, and Google Scholar, to retrieve relevant studies. The narrative review indicated that a certain number of vaccinated people develop ageusia, dysgeusia, hypogeusia, xerostomia, and dry mouth, while they are rare compared with COVID-19 oral symptoms. The prevalence of oral adverse effects varies by country/region and such geographical differences may be related to the type of vaccine used. Similar to severe acute respiratory syndrome coronavirus 2 (SARS-CoV-2) infection, COVID-19 vaccination adversely affects taste perception and salivary secretion in females and older subjects more frequently than in males and younger subjects. Their impairments mostly appear within 3 days of vaccination, and bitter taste is specifically impaired in some cases. Considering that oral adverse effects following COVID-19 vaccination share some characteristics with oral symptoms in COVID-19 patients, it is speculated that the spike protein derived from COVID-19 vaccination and SARS-CoV-2 infection may be pathophysiologically responsible for taste and saliva secretory disorders. This is because such spike protein has the potential to interact with ACE2 expressed on the relevant cells, produce proinflammatory cytokines, and form antiphospholipid antibodies. Our results do not deny the advantages of COVID-19 vaccination, but attention should be paid to post-vaccination oral effects in addition to COVID-19 oral symptoms. Although coronavirus disease 2019 (COVID-19) vaccines exhibit diverse side effects, taste and saliva secretory disorders have remained poorly understood despite their negative impact on the overall quality of life. The present study aimed to characterize oral adverse effects following COVID-19 vaccination and assess their similarities with oral symptoms in COVID-19 patients. A literature search was conducted in databases, including PubMed, LitCovid, and Google Scholar, to retrieve relevant studies. The narrative review indicated that a certain number of vaccinated people develop ageusia, dysgeusia, hypogeusia, xerostomia, and dry mouth, while they are rare compared with COVID-19 oral symptoms. The prevalence of oral adverse effects varies by country/region and such geographical differences may be related to the type of vaccine used. Similar to severe acute respiratory syndrome coronavirus 2 (SARS-CoV-2) infection, COVID-19 vaccination adversely affects taste perception and salivary secretion in females and older subjects more frequently than in males and younger subjects. Their impairments mostly appear within 3 days of vaccination, and bitter taste is specifically impaired in some cases. Considering that oral adverse effects following COVID-19 vaccination share some characteristics with oral symptoms in COVID-19 patients, it is speculated that the spike protein derived from COVID-19 vaccination and SARS-CoV-2 infection may be pathophysiologically responsible for taste and saliva secretory disorders. This is because such spike protein has the potential to interact with ACE2 expressed on the relevant cells, produce proinflammatory cytokines, and form antiphospholipid antibodies. Our results do not deny the advantages of COVID-19 vaccination, but attention should be paid to post-vaccination oral effects in addition to COVID-19 oral symptoms.</p>\",\"PeriodicalId\":18455,\"journal\":{\"name\":\"Medical Principles and Practice\",\"volume\":\" \",\"pages\":\"101-120\"},\"PeriodicalIF\":2.2000,\"publicationDate\":\"2025-01-01\",\"publicationTypes\":\"Journal Article\",\"fieldsOfStudy\":null,\"isOpenAccess\":false,\"openAccessPdf\":\"https://www.ncbi.nlm.nih.gov/pmc/articles/PMC11936456/pdf/\",\"citationCount\":\"0\",\"resultStr\":null,\"platform\":\"Semanticscholar\",\"paperid\":null,\"PeriodicalName\":\"Medical Principles and Practice\",\"FirstCategoryId\":\"3\",\"ListUrlMain\":\"https://doi.org/10.1159/000543182\",\"RegionNum\":3,\"RegionCategory\":\"医学\",\"ArticlePicture\":[],\"TitleCN\":null,\"AbstractTextCN\":null,\"PMCID\":null,\"EPubDate\":\"2024/12/19 0:00:00\",\"PubModel\":\"Epub\",\"JCR\":\"Q1\",\"JCRName\":\"MEDICINE, GENERAL & INTERNAL\",\"Score\":null,\"Total\":0}","platform":"Semanticscholar","paperid":null,"PeriodicalName":"Medical Principles and Practice","FirstCategoryId":"3","ListUrlMain":"https://doi.org/10.1159/000543182","RegionNum":3,"RegionCategory":"医学","ArticlePicture":[],"TitleCN":null,"AbstractTextCN":null,"PMCID":null,"EPubDate":"2024/12/19 0:00:00","PubModel":"Epub","JCR":"Q1","JCRName":"MEDICINE, GENERAL & INTERNAL","Score":null,"Total":0}
引用次数: 0

摘要

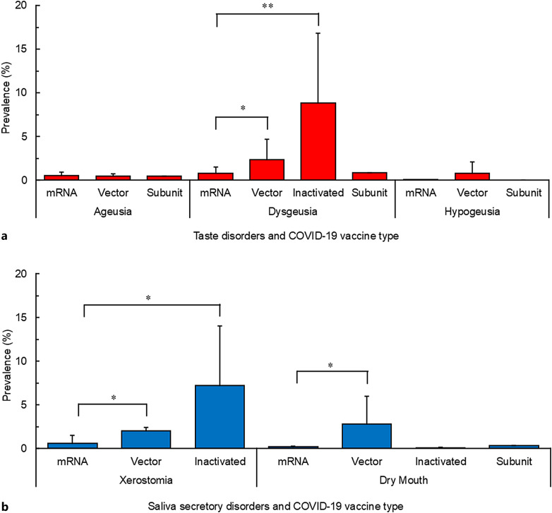
尽管COVID-19疫苗表现出多种副作用,但尽管对整体生活质量产生负面影响,但对味觉和唾液分泌障碍的了解仍然很少。本研究旨在描述COVID-19疫苗接种后的口腔不良反应,并评估其与COVID-19患者口腔症状的相似性。在PubMed、LitCovid、谷歌Scholar等数据库进行文献检索,检索相关研究。叙述性综述显示,一定数量的接种者出现了老年、发音困难、发音不足、口干和口干,但与COVID-19口腔症状相比,这是罕见的。口服不良反应的流行率因国家/地区而异,这种地理差异可能与所使用的疫苗类型有关。与SARS-CoV-2感染类似,COVID-19疫苗接种对女性和老年受试者的味觉和唾液分泌的不利影响比男性和年轻受试者更频繁。他们的损伤大多在接种疫苗后三天内出现,在某些情况下,苦味特别受损。考虑到COVID-19疫苗接种后的口腔不良反应与COVID-19患者的口腔症状有一些共同的特点,推测COVID-19疫苗接种和SARS-CoV-2感染产生的刺突蛋白可能是导致味觉和唾液分泌障碍的病理生理原因。这是因为这种刺突蛋白有可能与相关细胞上表达的ACE2相互作用,产生促炎细胞因子,形成抗磷脂抗体。我们的研究结果并不否定COVID-19疫苗接种的优势,但除了COVID-19口腔症状外,还应注意疫苗接种后的口服效果。
本文章由计算机程序翻译,如有差异,请以英文原文为准。

Characteristics of Oral Adverse Effects following COVID-19 Vaccination and Similarities with Oral Symptoms in COVID-19 Patients: Taste and Saliva Secretory Disorders.

Characteristics of Oral Adverse Effects following COVID-19 Vaccination and Similarities with Oral Symptoms in COVID-19 Patients: Taste and Saliva Secretory Disorders.

Characteristics of Oral Adverse Effects following COVID-19 Vaccination and Similarities with Oral Symptoms in COVID-19 Patients: Taste and Saliva Secretory Disorders.

Characteristics of Oral Adverse Effects following COVID-19 Vaccination and Similarities with Oral Symptoms in COVID-19 Patients: Taste and Saliva Secretory Disorders.

Although coronavirus disease 2019 (COVID-19) vaccines exhibit diverse side effects, taste and saliva secretory disorders have remained poorly understood despite their negative impact on the overall quality of life. The present study aimed to characterize oral adverse effects following COVID-19 vaccination and assess their similarities with oral symptoms in COVID-19 patients. A literature search was conducted in databases, including PubMed, LitCovid, and Google Scholar, to retrieve relevant studies. The narrative review indicated that a certain number of vaccinated people develop ageusia, dysgeusia, hypogeusia, xerostomia, and dry mouth, while they are rare compared with COVID-19 oral symptoms. The prevalence of oral adverse effects varies by country/region and such geographical differences may be related to the type of vaccine used. Similar to severe acute respiratory syndrome coronavirus 2 (SARS-CoV-2) infection, COVID-19 vaccination adversely affects taste perception and salivary secretion in females and older subjects more frequently than in males and younger subjects. Their impairments mostly appear within 3 days of vaccination, and bitter taste is specifically impaired in some cases. Considering that oral adverse effects following COVID-19 vaccination share some characteristics with oral symptoms in COVID-19 patients, it is speculated that the spike protein derived from COVID-19 vaccination and SARS-CoV-2 infection may be pathophysiologically responsible for taste and saliva secretory disorders. This is because such spike protein has the potential to interact with ACE2 expressed on the relevant cells, produce proinflammatory cytokines, and form antiphospholipid antibodies. Our results do not deny the advantages of COVID-19 vaccination, but attention should be paid to post-vaccination oral effects in addition to COVID-19 oral symptoms. Although coronavirus disease 2019 (COVID-19) vaccines exhibit diverse side effects, taste and saliva secretory disorders have remained poorly understood despite their negative impact on the overall quality of life. The present study aimed to characterize oral adverse effects following COVID-19 vaccination and assess their similarities with oral symptoms in COVID-19 patients. A literature search was conducted in databases, including PubMed, LitCovid, and Google Scholar, to retrieve relevant studies. The narrative review indicated that a certain number of vaccinated people develop ageusia, dysgeusia, hypogeusia, xerostomia, and dry mouth, while they are rare compared with COVID-19 oral symptoms. The prevalence of oral adverse effects varies by country/region and such geographical differences may be related to the type of vaccine used. Similar to severe acute respiratory syndrome coronavirus 2 (SARS-CoV-2) infection, COVID-19 vaccination adversely affects taste perception and salivary secretion in females and older subjects more frequently than in males and younger subjects. Their impairments mostly appear within 3 days of vaccination, and bitter taste is specifically impaired in some cases. Considering that oral adverse effects following COVID-19 vaccination share some characteristics with oral symptoms in COVID-19 patients, it is speculated that the spike protein derived from COVID-19 vaccination and SARS-CoV-2 infection may be pathophysiologically responsible for taste and saliva secretory disorders. This is because such spike protein has the potential to interact with ACE2 expressed on the relevant cells, produce proinflammatory cytokines, and form antiphospholipid antibodies. Our results do not deny the advantages of COVID-19 vaccination, but attention should be paid to post-vaccination oral effects in addition to COVID-19 oral symptoms.

求助全文
通过发布文献求助,成功后即可免费获取论文全文。 去求助
来源期刊
Medical Principles and Practice
Medical Principles and Practice 医学-医学:内科
CiteScore
6.10
自引率
0.00%
发文量
72
审稿时长
6-12 weeks
期刊介绍: ''Medical Principles and Practice'', as the journal of the Health Sciences Centre, Kuwait University, aims to be a publication of international repute that will be a medium for dissemination and exchange of scientific knowledge in the health sciences.
×
引用
GB/T 7714-2015
复制
MLA
复制
APA
复制
导出至
BibTeX EndNote RefMan NoteFirst NoteExpress
×
提示
您的信息不完整,为了账户安全,请先补充。
现在去补充
×
提示
您因"违规操作"
具体请查看互助需知
我知道了
×
提示
确定
请完成安全验证×
copy
已复制链接
快去分享给好友吧!
我知道了
右上角分享
点击右上角分享
0
联系我们:info@booksci.cn Book学术提供免费学术资源搜索服务,方便国内外学者检索中英文文献。致力于提供最便捷和优质的服务体验。 Copyright © 2023 布克学术 All rights reserved.
京ICP备2023020795号-1
ghs 京公网安备 11010802042870号
Book学术文献互助
Book学术文献互助群
群 号:604180095
Book学术官方微信