炎性肠病患者的持续先进疗法:使用日本大型医疗索赔数据库的回顾性队列研究

IF 3.9 Q2 GASTROENTEROLOGY & HEPATOLOGY
Intestinal Research Pub Date : 2025-07-01 Epub Date: 2025-01-02 DOI:10.5217/ir.2024.00118
Katsuyoshi Matsuoka, Ko Nakajo, Shiho Kawamura, Yongjing Zhang, Hsingwen Chung, Bryan Wahking, Jin Yu Tan, Hong Qiu
{"title":"炎性肠病患者的持续先进疗法:使用日本大型医疗索赔数据库的回顾性队列研究","authors":"Katsuyoshi Matsuoka, Ko Nakajo, Shiho Kawamura, Yongjing Zhang, Hsingwen Chung, Bryan Wahking, Jin Yu Tan, Hong Qiu","doi":"10.5217/ir.2024.00118","DOIUrl":null,"url":null,"abstract":"<p><strong>Background/aims: </strong>There are few studies that comprehensively report real-world persistence for first-line advanced therapies used to treat inflammatory bowel disease. We aimed to describe persistence of first-line advanced therapies among incident biologic or Janus kinase inhibitor users with inflammatory bowel disease.</p><p><strong>Methods: </strong>Retrospective cohort study using the Japan Medical Data Center database from January 1, 2010, until September 30, 2022. Patients aged ≥15 years with relevant diagnostic and treatment codes were included. All eligible patients were observed until study end (September 30, 2022), death, or disenrollment, whichever occurred first.</p><p><strong>Results: </strong>Among 1,115 patients with Crohn's disease included in the analysis, 41.4% initiated adalimumab, 37.4% infliximab, 18.1% ustekinumab, and 3.0% vedolizumab. Median age was 31.2-34.8 years, 72.8% to 85.9% were male. Persistence at 12 months was 84.7% for adalimumab, 87.7% for infliximab, 91.3% for ustekinumab, and 53.1% for vedolizumab. Persistence at 24 months was 76.3%, 76.8%, 80.4%, and 28.6%, respectively. Among 1,942 patients with ulcerative colitis, 24.8% initiated adalimumab, 33.6% infliximab, 11.2% golimumab, 17.5% vedolizumab, 5.6% ustekinumab, and 7.3% tofacitinib. Mean age was 38.2-40.4 years, 57.4% to 65.8% were male. Persistence at 12 months was 57.6% for adalimumab, 87.7% for infliximab, 54.9% for golimumab, 69.7% for vedolizumab, and 84.0% for ustekinumab. At month 24, persistence for ustekinumab was 75.0%, versus 42.9%-59.4% for other treatments.</p><p><strong>Conclusions: </strong>Index treatment with ustekinumab resulted in high persistence through 24 months after initiation in patients with Crohn's disease or ulcerative colitis. Our study provides insights into the real-world usage of advanced treatments for patients with IBD in Japan.</p>","PeriodicalId":14481,"journal":{"name":"Intestinal Research","volume":" ","pages":"358-371"},"PeriodicalIF":3.9000,"publicationDate":"2025-07-01","publicationTypes":"Journal Article","fieldsOfStudy":null,"isOpenAccess":false,"openAccessPdf":"https://www.ncbi.nlm.nih.gov/pmc/articles/PMC12332283/pdf/","citationCount":"0","resultStr":"{\"title\":\"Persistence of advanced therapies in patients with inflammatory bowel disease: retrospective cohort study using a large healthcare claims database in Japan.\",\"authors\":\"Katsuyoshi Matsuoka, Ko Nakajo, Shiho Kawamura, Yongjing Zhang, Hsingwen Chung, Bryan Wahking, Jin Yu Tan, Hong Qiu\",\"doi\":\"10.5217/ir.2024.00118\",\"DOIUrl\":null,\"url\":null,\"abstract\":\"<p><strong>Background/aims: </strong>There are few studies that comprehensively report real-world persistence for first-line advanced therapies used to treat inflammatory bowel disease. We aimed to describe persistence of first-line advanced therapies among incident biologic or Janus kinase inhibitor users with inflammatory bowel disease.</p><p><strong>Methods: </strong>Retrospective cohort study using the Japan Medical Data Center database from January 1, 2010, until September 30, 2022. Patients aged ≥15 years with relevant diagnostic and treatment codes were included. All eligible patients were observed until study end (September 30, 2022), death, or disenrollment, whichever occurred first.</p><p><strong>Results: </strong>Among 1,115 patients with Crohn's disease included in the analysis, 41.4% initiated adalimumab, 37.4% infliximab, 18.1% ustekinumab, and 3.0% vedolizumab. Median age was 31.2-34.8 years, 72.8% to 85.9% were male. Persistence at 12 months was 84.7% for adalimumab, 87.7% for infliximab, 91.3% for ustekinumab, and 53.1% for vedolizumab. Persistence at 24 months was 76.3%, 76.8%, 80.4%, and 28.6%, respectively. Among 1,942 patients with ulcerative colitis, 24.8% initiated adalimumab, 33.6% infliximab, 11.2% golimumab, 17.5% vedolizumab, 5.6% ustekinumab, and 7.3% tofacitinib. Mean age was 38.2-40.4 years, 57.4% to 65.8% were male. Persistence at 12 months was 57.6% for adalimumab, 87.7% for infliximab, 54.9% for golimumab, 69.7% for vedolizumab, and 84.0% for ustekinumab. At month 24, persistence for ustekinumab was 75.0%, versus 42.9%-59.4% for other treatments.</p><p><strong>Conclusions: </strong>Index treatment with ustekinumab resulted in high persistence through 24 months after initiation in patients with Crohn's disease or ulcerative colitis. Our study provides insights into the real-world usage of advanced treatments for patients with IBD in Japan.</p>\",\"PeriodicalId\":14481,\"journal\":{\"name\":\"Intestinal Research\",\"volume\":\" \",\"pages\":\"358-371\"},\"PeriodicalIF\":3.9000,\"publicationDate\":\"2025-07-01\",\"publicationTypes\":\"Journal Article\",\"fieldsOfStudy\":null,\"isOpenAccess\":false,\"openAccessPdf\":\"https://www.ncbi.nlm.nih.gov/pmc/articles/PMC12332283/pdf/\",\"citationCount\":\"0\",\"resultStr\":null,\"platform\":\"Semanticscholar\",\"paperid\":null,\"PeriodicalName\":\"Intestinal Research\",\"FirstCategoryId\":\"1085\",\"ListUrlMain\":\"https://doi.org/10.5217/ir.2024.00118\",\"RegionNum\":0,\"RegionCategory\":null,\"ArticlePicture\":[],\"TitleCN\":null,\"AbstractTextCN\":null,\"PMCID\":null,\"EPubDate\":\"2025/1/2 0:00:00\",\"PubModel\":\"Epub\",\"JCR\":\"Q2\",\"JCRName\":\"GASTROENTEROLOGY & HEPATOLOGY\",\"Score\":null,\"Total\":0}","platform":"Semanticscholar","paperid":null,"PeriodicalName":"Intestinal Research","FirstCategoryId":"1085","ListUrlMain":"https://doi.org/10.5217/ir.2024.00118","RegionNum":0,"RegionCategory":null,"ArticlePicture":[],"TitleCN":null,"AbstractTextCN":null,"PMCID":null,"EPubDate":"2025/1/2 0:00:00","PubModel":"Epub","JCR":"Q2","JCRName":"GASTROENTEROLOGY & HEPATOLOGY","Score":null,"Total":0}
引用次数: 0

摘要

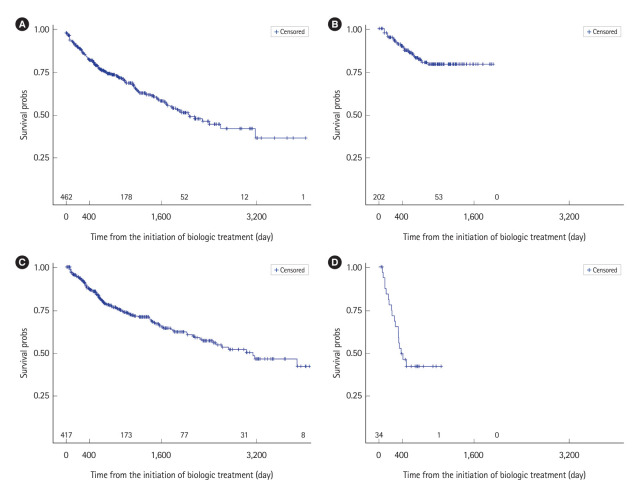
背景/目的:很少有研究全面报道用于治疗炎症性肠病的一线先进疗法在现实世界中的持久性。我们的目的是描述在炎症性肠病的突发生物或Janus激酶抑制剂使用者中一线先进治疗的持久性。方法:从2010年1月1日至2022年9月30日,使用日本医疗数据中心数据库进行回顾性队列研究。纳入年龄≥15岁且具有相关诊断和治疗代码的患者。所有符合条件的患者一直观察到研究结束(2022年9月30日)、死亡或退组,以先发生者为准。结果:在纳入分析的1115例克罗恩病患者中,41.4%的患者开始使用阿达木单抗,37.4%的患者使用英夫利昔单抗,18.1%的患者使用乌斯特金单抗,3.0%的患者使用维多单抗。中位年龄31.2 ~ 34.8岁,男性占72.8% ~ 85.9%。阿达木单抗12个月的持续时间为84.7%,英夫利昔单抗为87.7%,乌斯特金单抗为91.3%,韦多单抗为53.1%。24个月的持续时间分别为76.3%、76.8%、80.4%和28.6%。在1942例溃疡性结肠炎患者中,24.8%的患者开始使用阿达木单抗,33.6%的患者使用英夫利昔单抗,11.2%的患者使用戈利姆单抗,17.5%的患者使用维多单抗,5.6%的患者使用乌斯特金单抗,7.3%的患者使用托法替尼。平均年龄38.2 ~ 40.4岁,男性占57.4% ~ 65.8%。阿达木单抗12个月的持续时间为57.6%,英夫利昔单抗为87.7%,戈利木单抗为54.9%,维多单抗为69.7%,乌斯特金单抗为84.0%。在第24个月,ustekinumab的持续治疗率为75.0%,而其他治疗的持续治疗率为42.9%-59.4%。结论:在克罗恩病或溃疡性结肠炎患者开始治疗后,ustekinumab的指数治疗可在24个月后保持高持续性。我们的研究为日本IBD患者先进治疗的实际使用提供了见解。
本文章由计算机程序翻译,如有差异,请以英文原文为准。

Persistence of advanced therapies in patients with inflammatory bowel disease: retrospective cohort study using a large healthcare claims database in Japan.

Persistence of advanced therapies in patients with inflammatory bowel disease: retrospective cohort study using a large healthcare claims database in Japan.

Persistence of advanced therapies in patients with inflammatory bowel disease: retrospective cohort study using a large healthcare claims database in Japan.

Persistence of advanced therapies in patients with inflammatory bowel disease: retrospective cohort study using a large healthcare claims database in Japan.

Background/aims: There are few studies that comprehensively report real-world persistence for first-line advanced therapies used to treat inflammatory bowel disease. We aimed to describe persistence of first-line advanced therapies among incident biologic or Janus kinase inhibitor users with inflammatory bowel disease.

Methods: Retrospective cohort study using the Japan Medical Data Center database from January 1, 2010, until September 30, 2022. Patients aged ≥15 years with relevant diagnostic and treatment codes were included. All eligible patients were observed until study end (September 30, 2022), death, or disenrollment, whichever occurred first.

Results: Among 1,115 patients with Crohn's disease included in the analysis, 41.4% initiated adalimumab, 37.4% infliximab, 18.1% ustekinumab, and 3.0% vedolizumab. Median age was 31.2-34.8 years, 72.8% to 85.9% were male. Persistence at 12 months was 84.7% for adalimumab, 87.7% for infliximab, 91.3% for ustekinumab, and 53.1% for vedolizumab. Persistence at 24 months was 76.3%, 76.8%, 80.4%, and 28.6%, respectively. Among 1,942 patients with ulcerative colitis, 24.8% initiated adalimumab, 33.6% infliximab, 11.2% golimumab, 17.5% vedolizumab, 5.6% ustekinumab, and 7.3% tofacitinib. Mean age was 38.2-40.4 years, 57.4% to 65.8% were male. Persistence at 12 months was 57.6% for adalimumab, 87.7% for infliximab, 54.9% for golimumab, 69.7% for vedolizumab, and 84.0% for ustekinumab. At month 24, persistence for ustekinumab was 75.0%, versus 42.9%-59.4% for other treatments.

Conclusions: Index treatment with ustekinumab resulted in high persistence through 24 months after initiation in patients with Crohn's disease or ulcerative colitis. Our study provides insights into the real-world usage of advanced treatments for patients with IBD in Japan.

求助全文
通过发布文献求助,成功后即可免费获取论文全文。 去求助
来源期刊
Intestinal Research
Intestinal Research GASTROENTEROLOGY & HEPATOLOGY-
CiteScore
7.40
自引率
10.20%
发文量
69
审稿时长
38 weeks
期刊介绍: Intestinal Research (Intest Res) is the joint official publication of the Asian Organization for Crohn''s and Colitis (AOCC), Chinese Society of IBD (CSIBD), Japanese Society for IBD (JSIBD), Korean Association for the Study of Intestinal Diseases (KASID), Taiwan Society of IBD (TSIBD) and Colitis Crohn''s Foundation (India) (CCF, india). The aim of the Journal is to provide broad and in-depth analysis of intestinal diseases, especially inflammatory bowel disease, which shows increasing tendency and significance. As a Journal specialized in clinical and translational research in gastroenterology, it encompasses multiple aspects of diseases originated from the small and large intestines. The Journal also seeks to propagate and exchange useful innovations, both in ideas and in practice, within the research community. As a mode of scholarly communication, it encourages scientific investigation through the rigorous peer-review system and constitutes a qualified and continual platform for sharing studies of researchers and practitioners. Specifically, the Journal presents up-to-date coverage of medical researches on the physiology, epidemiology, pathophysiology, clinical presentations, and therapeutic interventions of the intestinal diseases. General topics of interest include inflammatory bowel disease, colon and small intestine cancer or polyp, endoscopy, irritable bowel syndrome and other motility disorders, infectious enterocolitis, intestinal tuberculosis, and so forth. The Journal publishes diverse types of academic materials such as editorials, clinical and basic reviews, original articles, case reports, letters to the editor, brief communications, perspective, statement or commentary, and images that are useful to clinicians and researchers.
×
引用
GB/T 7714-2015
复制
MLA
复制
APA
复制
导出至
BibTeX EndNote RefMan NoteFirst NoteExpress
×
提示
您的信息不完整,为了账户安全,请先补充。
现在去补充
×
提示
您因"违规操作"
具体请查看互助需知
我知道了
×
提示
确定
请完成安全验证×
copy
已复制链接
快去分享给好友吧!
我知道了
右上角分享
点击右上角分享
0
联系我们:info@booksci.cn Book学术提供免费学术资源搜索服务,方便国内外学者检索中英文文献。致力于提供最便捷和优质的服务体验。 Copyright © 2023 布克学术 All rights reserved.
京ICP备2023020795号-1
ghs 京公网安备 11010802042870号
Book学术文献互助
Book学术文献互助群
群 号:604180095
Book学术官方微信