亚利桑那年龄和种族对痴呆危险因素的了解和对痴呆预防项目的态度。

JAR life Pub Date : 2024-12-16 eCollection Date: 2024-01-01 DOI:10.14283/jarlife.2024.19
H Talkad, Y Chen, A P Bress, J B Langbaum, P N Tariot, J J Pruzin
{"title":"亚利桑那年龄和种族对痴呆危险因素的了解和对痴呆预防项目的态度。","authors":"H Talkad, Y Chen, A P Bress, J B Langbaum, P N Tariot, J J Pruzin","doi":"10.14283/jarlife.2024.19","DOIUrl":null,"url":null,"abstract":"<p><strong>Background: </strong>Dementia disproportionately affects Hispanic communities, which may be partially attributable to disparities in resources to address modifiable risk factors. Addressing risk factors at younger ages would likely confer greater benefit than at older ages. Interest among Hispanic and younger persons participating in a dementia prevention program is unknown.</p><p><strong>Objectives: </strong>To understand knowledge of dementia risk factors and attitudes toward prevention program participation among Arizona residents.</p><p><strong>Design: </strong>Cross-sectional study.</p><p><strong>Setting: </strong>Online survey conducted of Arizona residents in either English or Spanish between July 13, 2021 and August 2, 2021.</p><p><strong>Participants: </strong>1,303 persons age 35 and older; 332 (25.5%) were Hispanic.</p><p><strong>Measurements: </strong>Survey questions about knowledge of dementia risk factors and dementia prevention program interest. Comparisons between Hispanic and non-Hispanic White and younger and older respondents were made using chi-squared tests.</p><p><strong>Results: </strong>Overall, 30.7% of respondents were aware of any risk factors that increased risk for dementia with no differences between Hispanic and non-Hispanic White respondents. 76.4% of all respondents were \"very\" or \"somewhat\" interested in a dementia prevention program, interest was significantly higher in Hispanic (83.0% vs 73.3% \"very\" or \"somewhat interested,\" X2 (3, N=1226) = 14.8, p=0.002) and younger respondents (82.2% vs 72.1% \"very\" or \"somewhat\" interested X2 (1, N=1302) = 20.0, p<0.001).</p><p><strong>Conclusion: </strong>General knowledge of risk factors for dementia is low, contrasting with high interest in a prevention program. Interest is higher in Hispanic and younger persons compared with older or non-Hispanic White persons. A dementia prevention program accessible to younger and Hispanic populations could help narrow dementia outcome disparities.</p>","PeriodicalId":73537,"journal":{"name":"JAR life","volume":"13 ","pages":"126-134"},"PeriodicalIF":0.0000,"publicationDate":"2024-12-16","publicationTypes":"Journal Article","fieldsOfStudy":null,"isOpenAccess":false,"openAccessPdf":"https://www.ncbi.nlm.nih.gov/pmc/articles/PMC11653765/pdf/","citationCount":"0","resultStr":"{\"title\":\"Knowledge of Risk Factors for Dementia and Attitudes on a Dementia Prevention Program by Age and Ethnicity in Arizona.\",\"authors\":\"H Talkad, Y Chen, A P Bress, J B Langbaum, P N Tariot, J J Pruzin\",\"doi\":\"10.14283/jarlife.2024.19\",\"DOIUrl\":null,\"url\":null,\"abstract\":\"<p><strong>Background: </strong>Dementia disproportionately affects Hispanic communities, which may be partially attributable to disparities in resources to address modifiable risk factors. Addressing risk factors at younger ages would likely confer greater benefit than at older ages. Interest among Hispanic and younger persons participating in a dementia prevention program is unknown.</p><p><strong>Objectives: </strong>To understand knowledge of dementia risk factors and attitudes toward prevention program participation among Arizona residents.</p><p><strong>Design: </strong>Cross-sectional study.</p><p><strong>Setting: </strong>Online survey conducted of Arizona residents in either English or Spanish between July 13, 2021 and August 2, 2021.</p><p><strong>Participants: </strong>1,303 persons age 35 and older; 332 (25.5%) were Hispanic.</p><p><strong>Measurements: </strong>Survey questions about knowledge of dementia risk factors and dementia prevention program interest. Comparisons between Hispanic and non-Hispanic White and younger and older respondents were made using chi-squared tests.</p><p><strong>Results: </strong>Overall, 30.7% of respondents were aware of any risk factors that increased risk for dementia with no differences between Hispanic and non-Hispanic White respondents. 76.4% of all respondents were \\\"very\\\" or \\\"somewhat\\\" interested in a dementia prevention program, interest was significantly higher in Hispanic (83.0% vs 73.3% \\\"very\\\" or \\\"somewhat interested,\\\" X2 (3, N=1226) = 14.8, p=0.002) and younger respondents (82.2% vs 72.1% \\\"very\\\" or \\\"somewhat\\\" interested X2 (1, N=1302) = 20.0, p<0.001).</p><p><strong>Conclusion: </strong>General knowledge of risk factors for dementia is low, contrasting with high interest in a prevention program. Interest is higher in Hispanic and younger persons compared with older or non-Hispanic White persons. A dementia prevention program accessible to younger and Hispanic populations could help narrow dementia outcome disparities.</p>\",\"PeriodicalId\":73537,\"journal\":{\"name\":\"JAR life\",\"volume\":\"13 \",\"pages\":\"126-134\"},\"PeriodicalIF\":0.0000,\"publicationDate\":\"2024-12-16\",\"publicationTypes\":\"Journal Article\",\"fieldsOfStudy\":null,\"isOpenAccess\":false,\"openAccessPdf\":\"https://www.ncbi.nlm.nih.gov/pmc/articles/PMC11653765/pdf/\",\"citationCount\":\"0\",\"resultStr\":null,\"platform\":\"Semanticscholar\",\"paperid\":null,\"PeriodicalName\":\"JAR life\",\"FirstCategoryId\":\"1085\",\"ListUrlMain\":\"https://doi.org/10.14283/jarlife.2024.19\",\"RegionNum\":0,\"RegionCategory\":null,\"ArticlePicture\":[],\"TitleCN\":null,\"AbstractTextCN\":null,\"PMCID\":null,\"EPubDate\":\"2024/1/1 0:00:00\",\"PubModel\":\"eCollection\",\"JCR\":\"\",\"JCRName\":\"\",\"Score\":null,\"Total\":0}","platform":"Semanticscholar","paperid":null,"PeriodicalName":"JAR life","FirstCategoryId":"1085","ListUrlMain":"https://doi.org/10.14283/jarlife.2024.19","RegionNum":0,"RegionCategory":null,"ArticlePicture":[],"TitleCN":null,"AbstractTextCN":null,"PMCID":null,"EPubDate":"2024/1/1 0:00:00","PubModel":"eCollection","JCR":"","JCRName":"","Score":null,"Total":0}
引用次数: 0

摘要

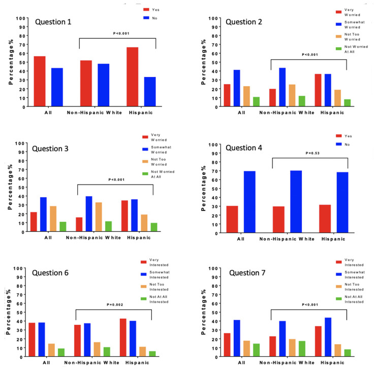
背景:痴呆症对西班牙裔社区的影响不成比例,这可能部分归因于应对可改变风险因素的资源差异。在年轻时解决风险因素可能会比在老年时带来更大的好处。西班牙裔和年轻人参与痴呆症预防项目的兴趣尚不清楚。目的:了解亚利桑那州居民对痴呆危险因素的认知和参与预防项目的态度。设计:横断面研究。背景:在2021年7月13日至2021年8月2日期间,以英语或西班牙语对亚利桑那州居民进行的在线调查。参与者:1303名年龄在35岁及以上的人;西班牙裔332人(25.5%)。测量方法:调查痴呆危险因素知识和痴呆预防项目兴趣的问题。西班牙裔和非西班牙裔白人以及年轻和老年受访者之间的比较使用卡方检验。结果:总体而言,30.7%的受访者意识到任何增加痴呆风险的风险因素,西班牙裔和非西班牙裔白人受访者之间没有差异。76.4%的受访者对痴呆症预防计划“非常”或“有点”感兴趣,西班牙裔(83.0%对73.3%“非常”或“有点”感兴趣,X2 (3, N=1226) = 14.8, p=0.002)和年轻受访者(82.2%对72.1%“非常”或“有点”感兴趣X2 (1, N=1302) = 20.0, p)的兴趣明显更高。结论:痴呆症危险因素的一般知识较低,与对预防计划的高兴趣形成对比。与年龄较大或非西班牙裔白人相比,西班牙裔和年轻人的兴趣更高。针对年轻人和西班牙裔人群的痴呆症预防项目可以帮助缩小痴呆症结果的差异。
本文章由计算机程序翻译,如有差异,请以英文原文为准。

Knowledge of Risk Factors for Dementia and Attitudes on a Dementia Prevention Program by Age and Ethnicity in Arizona.

Knowledge of Risk Factors for Dementia and Attitudes on a Dementia Prevention Program by Age and Ethnicity in Arizona.

Knowledge of Risk Factors for Dementia and Attitudes on a Dementia Prevention Program by Age and Ethnicity in Arizona.

Knowledge of Risk Factors for Dementia and Attitudes on a Dementia Prevention Program by Age and Ethnicity in Arizona.

Background: Dementia disproportionately affects Hispanic communities, which may be partially attributable to disparities in resources to address modifiable risk factors. Addressing risk factors at younger ages would likely confer greater benefit than at older ages. Interest among Hispanic and younger persons participating in a dementia prevention program is unknown.

Objectives: To understand knowledge of dementia risk factors and attitudes toward prevention program participation among Arizona residents.

Design: Cross-sectional study.

Setting: Online survey conducted of Arizona residents in either English or Spanish between July 13, 2021 and August 2, 2021.

Participants: 1,303 persons age 35 and older; 332 (25.5%) were Hispanic.

Measurements: Survey questions about knowledge of dementia risk factors and dementia prevention program interest. Comparisons between Hispanic and non-Hispanic White and younger and older respondents were made using chi-squared tests.

Results: Overall, 30.7% of respondents were aware of any risk factors that increased risk for dementia with no differences between Hispanic and non-Hispanic White respondents. 76.4% of all respondents were "very" or "somewhat" interested in a dementia prevention program, interest was significantly higher in Hispanic (83.0% vs 73.3% "very" or "somewhat interested," X2 (3, N=1226) = 14.8, p=0.002) and younger respondents (82.2% vs 72.1% "very" or "somewhat" interested X2 (1, N=1302) = 20.0, p<0.001).

Conclusion: General knowledge of risk factors for dementia is low, contrasting with high interest in a prevention program. Interest is higher in Hispanic and younger persons compared with older or non-Hispanic White persons. A dementia prevention program accessible to younger and Hispanic populations could help narrow dementia outcome disparities.

求助全文
通过发布文献求助,成功后即可免费获取论文全文。 去求助
来源期刊
自引率
0.00%
发文量
0
×
引用
GB/T 7714-2015
复制
MLA
复制
APA
复制
导出至
BibTeX EndNote RefMan NoteFirst NoteExpress
×
提示
您的信息不完整,为了账户安全,请先补充。
现在去补充
×
提示
您因"违规操作"
具体请查看互助需知
我知道了
×
提示
确定
请完成安全验证×
copy
已复制链接
快去分享给好友吧!
我知道了
右上角分享
点击右上角分享
0
联系我们:info@booksci.cn Book学术提供免费学术资源搜索服务,方便国内外学者检索中英文文献。致力于提供最便捷和优质的服务体验。 Copyright © 2023 布克学术 All rights reserved.
京ICP备2023020795号-1
ghs 京公网安备 11010802042870号
Book学术文献互助
Book学术文献互助群
群 号:604180095
Book学术官方微信