创新的回声模型,以加强覆盖和网络建设成瘾临床医生在加拿大西部。

IF 3.2 2区 医学 Q1 SUBSTANCE ABUSE
Samantha Robinson, Isabella Brohman, Jenna van Draanen, Rivka Kushner, Nadia Fairbairn, Stephanie Glegg
{"title":"创新的回声模型,以加强覆盖和网络建设成瘾临床医生在加拿大西部。","authors":"Samantha Robinson, Isabella Brohman, Jenna van Draanen, Rivka Kushner, Nadia Fairbairn, Stephanie Glegg","doi":"10.1186/s13722-024-00524-z","DOIUrl":null,"url":null,"abstract":"<p><strong>Background: </strong>Building capacity for evidence-based treatment and support for people with substance use disorders (SUD) is an urgent priority in the context of the toxic drug poisoning crisis. We implemented the first substance use-focused Project Extension for Community Healthcare Outcomes (ECHO) in Western Canada for health care providers, to enhance their clinical addiction skills and knowledge, facilitate practice change, and foster a supportive community of practice. The aims of this article are to describe our innovations to the Project ECHO model in British Columbia (BC) and Yukon, and present key program outcomes.</p><p><strong>Methods: </strong>A pragmatic multi-methods program evaluation employed observational records of BC ECHO on Substance Use session attendance, cross-sectional and longitudinal participant surveys, and qualitative interviews with participants to assess satisfaction, relevance, and preparation to use evidence-based approaches, practice change intentions, and actual behaviours.</p><p><strong>Results: </strong>The 52 ECHO sessions (from June 2019 to July 2022) attracted 2134 unique registrants with 5089 attendances (mean 124/session), 2132 newsletter subscribers, and 5842 podcast downloads. The evaluation included 844 post-session survey respondents and 53 interview participants. The program included ECHO sessions with rolling attendance; widely accessed supplemental formats (e.g., newsletter, podcast, clinical tools, archived presentation recordings); variable, regional hub representation; and evidence-based content developed by medical writers. These features contributed to broad geographic and discipline reach, high-quality program content, and high mean session satisfaction ratings (4.2/5). Key qualitative themes emerged, related to knowledge and skill acquisition, gaining confidence in providing SUD care, facilitating shared decision-making, increasing compassion for patients, consolidating learning and applying it to practice, and reducing isolation through expanded networks.</p><p><strong>Conclusions: </strong>The ECHO model is an effective way to improve capacity in SUD care for physicians and nurse practitioners, while offering benefits for interprofessional attendees. Our findings can inform innovations in other ECHO programs to enhance reach, engagement, and impact.</p>","PeriodicalId":54223,"journal":{"name":"Addiction Science & Clinical Practice","volume":"19 1","pages":"93"},"PeriodicalIF":3.2000,"publicationDate":"2024-12-18","publicationTypes":"Journal Article","fieldsOfStudy":null,"isOpenAccess":false,"openAccessPdf":"https://www.ncbi.nlm.nih.gov/pmc/articles/PMC11654416/pdf/","citationCount":"0","resultStr":"{\"title\":\"Innovations to the ECHO model to enhance reach and network-building among addiction clinicians in Western Canada.\",\"authors\":\"Samantha Robinson, Isabella Brohman, Jenna van Draanen, Rivka Kushner, Nadia Fairbairn, Stephanie Glegg\",\"doi\":\"10.1186/s13722-024-00524-z\",\"DOIUrl\":null,\"url\":null,\"abstract\":\"<p><strong>Background: </strong>Building capacity for evidence-based treatment and support for people with substance use disorders (SUD) is an urgent priority in the context of the toxic drug poisoning crisis. We implemented the first substance use-focused Project Extension for Community Healthcare Outcomes (ECHO) in Western Canada for health care providers, to enhance their clinical addiction skills and knowledge, facilitate practice change, and foster a supportive community of practice. The aims of this article are to describe our innovations to the Project ECHO model in British Columbia (BC) and Yukon, and present key program outcomes.</p><p><strong>Methods: </strong>A pragmatic multi-methods program evaluation employed observational records of BC ECHO on Substance Use session attendance, cross-sectional and longitudinal participant surveys, and qualitative interviews with participants to assess satisfaction, relevance, and preparation to use evidence-based approaches, practice change intentions, and actual behaviours.</p><p><strong>Results: </strong>The 52 ECHO sessions (from June 2019 to July 2022) attracted 2134 unique registrants with 5089 attendances (mean 124/session), 2132 newsletter subscribers, and 5842 podcast downloads. The evaluation included 844 post-session survey respondents and 53 interview participants. The program included ECHO sessions with rolling attendance; widely accessed supplemental formats (e.g., newsletter, podcast, clinical tools, archived presentation recordings); variable, regional hub representation; and evidence-based content developed by medical writers. These features contributed to broad geographic and discipline reach, high-quality program content, and high mean session satisfaction ratings (4.2/5). Key qualitative themes emerged, related to knowledge and skill acquisition, gaining confidence in providing SUD care, facilitating shared decision-making, increasing compassion for patients, consolidating learning and applying it to practice, and reducing isolation through expanded networks.</p><p><strong>Conclusions: </strong>The ECHO model is an effective way to improve capacity in SUD care for physicians and nurse practitioners, while offering benefits for interprofessional attendees. Our findings can inform innovations in other ECHO programs to enhance reach, engagement, and impact.</p>\",\"PeriodicalId\":54223,\"journal\":{\"name\":\"Addiction Science & Clinical Practice\",\"volume\":\"19 1\",\"pages\":\"93\"},\"PeriodicalIF\":3.2000,\"publicationDate\":\"2024-12-18\",\"publicationTypes\":\"Journal Article\",\"fieldsOfStudy\":null,\"isOpenAccess\":false,\"openAccessPdf\":\"https://www.ncbi.nlm.nih.gov/pmc/articles/PMC11654416/pdf/\",\"citationCount\":\"0\",\"resultStr\":null,\"platform\":\"Semanticscholar\",\"paperid\":null,\"PeriodicalName\":\"Addiction Science & Clinical Practice\",\"FirstCategoryId\":\"3\",\"ListUrlMain\":\"https://doi.org/10.1186/s13722-024-00524-z\",\"RegionNum\":2,\"RegionCategory\":\"医学\",\"ArticlePicture\":[],\"TitleCN\":null,\"AbstractTextCN\":null,\"PMCID\":null,\"EPubDate\":\"\",\"PubModel\":\"\",\"JCR\":\"Q1\",\"JCRName\":\"SUBSTANCE ABUSE\",\"Score\":null,\"Total\":0}","platform":"Semanticscholar","paperid":null,"PeriodicalName":"Addiction Science & Clinical Practice","FirstCategoryId":"3","ListUrlMain":"https://doi.org/10.1186/s13722-024-00524-z","RegionNum":2,"RegionCategory":"医学","ArticlePicture":[],"TitleCN":null,"AbstractTextCN":null,"PMCID":null,"EPubDate":"","PubModel":"","JCR":"Q1","JCRName":"SUBSTANCE ABUSE","Score":null,"Total":0}
引用次数: 0

摘要

背景:在有毒药物中毒危机背景下,为物质使用障碍患者提供循证治疗和支持的能力建设是一个紧迫的优先事项。我们在加拿大西部为卫生保健提供者实施了第一个以药物使用为重点的社区卫生保健结果项目扩展(ECHO),以提高他们的临床成瘾技能和知识,促进实践变革,并培养一个支持性的实践社区。本文的目的是描述我们在不列颠哥伦比亚省(BC)和育空地区对ECHO项目模式的创新,并介绍主要的项目成果。方法:一项实用的多方法项目评估采用BC ECHO关于物质使用会议出席的观察记录,横断面和纵向参与者调查,以及对参与者的定性访谈来评估满意度,相关性,以及使用循证方法,实践改变意图和实际行为的准备。结果:从2019年6月到2022年7月,52次ECHO会议吸引了2134名独立注册者,出席人数为5089人(平均124人/次),2132名通讯订阅者,5842次播客下载。评估包括844名会后调查受访者和53名访谈参与者。该计划包括轮流出席的ECHO会议;广泛访问的补充格式(例如,通讯、播客、临床工具、存档的演示录音);变量,区域枢纽表示;以及医学作家开发的循证内容。这些特点有助于广泛的地理和学科覆盖,高质量的节目内容,和高平均会议满意度评级(4.2/5)。关键的定性主题出现了,涉及知识和技能的获取,获得提供SUD护理的信心,促进共同决策,增加对患者的同情,巩固学习并将其应用于实践,以及通过扩大网络减少隔离。结论:ECHO模式是提高医师和护理人员SUD护理能力的有效途径,同时也为跨专业参与者提供了好处。我们的研究结果可以为其他ECHO项目的创新提供参考,以提高覆盖面、参与度和影响力。
本文章由计算机程序翻译,如有差异,请以英文原文为准。

Innovations to the ECHO model to enhance reach and network-building among addiction clinicians in Western Canada.

Innovations to the ECHO model to enhance reach and network-building among addiction clinicians in Western Canada.

Innovations to the ECHO model to enhance reach and network-building among addiction clinicians in Western Canada.

Background: Building capacity for evidence-based treatment and support for people with substance use disorders (SUD) is an urgent priority in the context of the toxic drug poisoning crisis. We implemented the first substance use-focused Project Extension for Community Healthcare Outcomes (ECHO) in Western Canada for health care providers, to enhance their clinical addiction skills and knowledge, facilitate practice change, and foster a supportive community of practice. The aims of this article are to describe our innovations to the Project ECHO model in British Columbia (BC) and Yukon, and present key program outcomes.

Methods: A pragmatic multi-methods program evaluation employed observational records of BC ECHO on Substance Use session attendance, cross-sectional and longitudinal participant surveys, and qualitative interviews with participants to assess satisfaction, relevance, and preparation to use evidence-based approaches, practice change intentions, and actual behaviours.

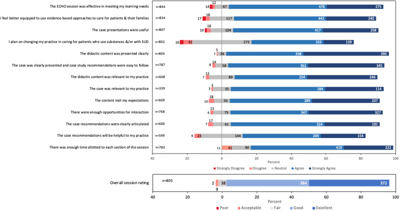
Results: The 52 ECHO sessions (from June 2019 to July 2022) attracted 2134 unique registrants with 5089 attendances (mean 124/session), 2132 newsletter subscribers, and 5842 podcast downloads. The evaluation included 844 post-session survey respondents and 53 interview participants. The program included ECHO sessions with rolling attendance; widely accessed supplemental formats (e.g., newsletter, podcast, clinical tools, archived presentation recordings); variable, regional hub representation; and evidence-based content developed by medical writers. These features contributed to broad geographic and discipline reach, high-quality program content, and high mean session satisfaction ratings (4.2/5). Key qualitative themes emerged, related to knowledge and skill acquisition, gaining confidence in providing SUD care, facilitating shared decision-making, increasing compassion for patients, consolidating learning and applying it to practice, and reducing isolation through expanded networks.

Conclusions: The ECHO model is an effective way to improve capacity in SUD care for physicians and nurse practitioners, while offering benefits for interprofessional attendees. Our findings can inform innovations in other ECHO programs to enhance reach, engagement, and impact.

求助全文
通过发布文献求助,成功后即可免费获取论文全文。 去求助
来源期刊
Addiction Science & Clinical Practice
Addiction Science & Clinical Practice Psychology-Clinical Psychology
CiteScore
3.90
自引率
10.80%
发文量
64
审稿时长
28 weeks
期刊介绍: Addiction Science & Clinical Practice provides a forum for clinically relevant research and perspectives that contribute to improving the quality of care for people with unhealthy alcohol, tobacco, or other drug use and addictive behaviours across a spectrum of clinical settings. Addiction Science & Clinical Practice accepts articles of clinical relevance related to the prevention and treatment of unhealthy alcohol, tobacco, and other drug use across the spectrum of clinical settings. Topics of interest address issues related to the following: the spectrum of unhealthy use of alcohol, tobacco, and other drugs among the range of affected persons (e.g., not limited by age, race/ethnicity, gender, or sexual orientation); the array of clinical prevention and treatment practices (from health messages, to identification and early intervention, to more extensive interventions including counseling and pharmacotherapy and other management strategies); and identification and management of medical, psychiatric, social, and other health consequences of substance use. Addiction Science & Clinical Practice is particularly interested in articles that address how to improve the quality of care for people with unhealthy substance use and related conditions as described in the (US) Institute of Medicine report, Improving the Quality of Healthcare for Mental Health and Substance Use Conditions (Washington, DC: National Academies Press, 2006). Such articles address the quality of care and of health services. Although the journal also welcomes submissions that address these conditions in addiction speciality-treatment settings, the journal is particularly interested in including articles that address unhealthy use outside these settings, including experience with novel models of care and outcomes, and outcomes of research-practice collaborations. Although Addiction Science & Clinical Practice is generally not an outlet for basic science research, we will accept basic science research manuscripts that have clearly described potential clinical relevance and are accessible to audiences outside a narrow laboratory research field.
×
引用
GB/T 7714-2015
复制
MLA
复制
APA
复制
导出至
BibTeX EndNote RefMan NoteFirst NoteExpress
×
提示
您的信息不完整,为了账户安全,请先补充。
现在去补充
×
提示
您因"违规操作"
具体请查看互助需知
我知道了
×
提示
确定
请完成安全验证×
copy
已复制链接
快去分享给好友吧!
我知道了
右上角分享
点击右上角分享
0
联系我们:info@booksci.cn Book学术提供免费学术资源搜索服务,方便国内外学者检索中英文文献。致力于提供最便捷和优质的服务体验。 Copyright © 2023 布克学术 All rights reserved.
京ICP备2023020795号-1
ghs 京公网安备 11010802042870号
Book学术文献互助
Book学术文献互助群
群 号:604180095
Book学术官方微信