富油酸橄榄油对2型糖尿病患者餐后氧化应激指标的影响

IF 3.4 4区 医学 Q2 FOOD SCIENCE & TECHNOLOGY
Food & Nutrition Research Pub Date : 2024-11-11 eCollection Date: 2024-01-01 DOI:10.29219/fnr.v68.10882
Maria Efthymia Katsa, Andrea Paola Rojas Gil, Evangelia-Mantelena Makri, Spyridon Papadogiannis, Anastasios Ioannidis, Marianna Kalliostra, Kleopatra Ketselidi, Panagiotis Diamantakos, Eleni Melliou, Prokopios Magiatis, Tzortzis Nomikos
{"title":"富油酸橄榄油对2型糖尿病患者餐后氧化应激指标的影响","authors":"Maria Efthymia Katsa, Andrea Paola Rojas Gil, Evangelia-Mantelena Makri, Spyridon Papadogiannis, Anastasios Ioannidis, Marianna Kalliostra, Kleopatra Ketselidi, Panagiotis Diamantakos, Eleni Melliou, Prokopios Magiatis, Tzortzis Nomikos","doi":"10.29219/fnr.v68.10882","DOIUrl":null,"url":null,"abstract":"<p><strong>Background: </strong>Type 2 diabetes mellitus (T2DM) is characterized by postprandial dysmetabolism, which has been linked to post-meal redox disturbances. Oleocanthal (OO), one of the most potent bioactive phenols of extra virgin olive oil, has shown redox modulating properties in vitro. However, its acute, in vivo antioxidant properties have never been studied before.</p><p><strong>Objective: </strong>The aim of this study was to investigate the kinetics of five redox markers (Thiobarbituric acid-reactive substances [TBARS] and glutathione peroxidase activity in serum-GPx3 and erythrocytes (GPx1), protein carbonyls in serum) after the consumption different meals.</p><p><strong>Design: </strong>Five different isocaloric meals comprised of white bread and butter (BU) or butter plus ibuprofen (BU-IBU) or olive oil poor in OO or olive oils containing 250 and 500 mg/Kg of oleocanthal (OO250 and OO500, respectively). We hypothesized that OO-rich olive oil will reduce postprandial oxidative stress in T2DM patients compared to other lipid sources. This study involved 10 patients with T2DM and had a cross-over design.</p><p><strong>Results: </strong>The comparison of incremental Area Under Curves (iAUCs) has shown that OO-rich olive oils were able to alleviate the increments of thiobarbituric acid-reactive substances (TBARS) and GPx3 and induce a higher red blood cells (RBCs) GPx1 activity compared to OO (<i>P</i> < 0.05). The effect was dose and redox marker depended. Correlation analysis in the pooled sample demonstrated a positive association between postprandial ex vivo platelet sensitivity to ADP and iAUC TBARS. In conclusion, our study has shown that OO-rich olive oils can favorably modulate lipid peroxidation and RBC GPx activity in T2DM patients when consumed as part of a carbohydrate meal.</p><p><strong>Discussion: </strong>This study demonstrates for the first time that, apart from its anti-inflammatory and antiplatelet properties, OO can also exert acute antioxidant effects.</p><p><strong>Conclusion: </strong>This finding emphasizes the health benefits of extra virgin olive oil, particularly those with a high OO content, for T2DM patients.</p>","PeriodicalId":12119,"journal":{"name":"Food & Nutrition Research","volume":"68 ","pages":""},"PeriodicalIF":3.4000,"publicationDate":"2024-11-11","publicationTypes":"Journal Article","fieldsOfStudy":null,"isOpenAccess":false,"openAccessPdf":"https://www.ncbi.nlm.nih.gov/pmc/articles/PMC11650448/pdf/","citationCount":"0","resultStr":"{\"title\":\"Effect of oleocanthal-rich olive oil on postprandial oxidative stress markers of patients with type 2 diabetes mellitus.\",\"authors\":\"Maria Efthymia Katsa, Andrea Paola Rojas Gil, Evangelia-Mantelena Makri, Spyridon Papadogiannis, Anastasios Ioannidis, Marianna Kalliostra, Kleopatra Ketselidi, Panagiotis Diamantakos, Eleni Melliou, Prokopios Magiatis, Tzortzis Nomikos\",\"doi\":\"10.29219/fnr.v68.10882\",\"DOIUrl\":null,\"url\":null,\"abstract\":\"<p><strong>Background: </strong>Type 2 diabetes mellitus (T2DM) is characterized by postprandial dysmetabolism, which has been linked to post-meal redox disturbances. Oleocanthal (OO), one of the most potent bioactive phenols of extra virgin olive oil, has shown redox modulating properties in vitro. However, its acute, in vivo antioxidant properties have never been studied before.</p><p><strong>Objective: </strong>The aim of this study was to investigate the kinetics of five redox markers (Thiobarbituric acid-reactive substances [TBARS] and glutathione peroxidase activity in serum-GPx3 and erythrocytes (GPx1), protein carbonyls in serum) after the consumption different meals.</p><p><strong>Design: </strong>Five different isocaloric meals comprised of white bread and butter (BU) or butter plus ibuprofen (BU-IBU) or olive oil poor in OO or olive oils containing 250 and 500 mg/Kg of oleocanthal (OO250 and OO500, respectively). We hypothesized that OO-rich olive oil will reduce postprandial oxidative stress in T2DM patients compared to other lipid sources. This study involved 10 patients with T2DM and had a cross-over design.</p><p><strong>Results: </strong>The comparison of incremental Area Under Curves (iAUCs) has shown that OO-rich olive oils were able to alleviate the increments of thiobarbituric acid-reactive substances (TBARS) and GPx3 and induce a higher red blood cells (RBCs) GPx1 activity compared to OO (<i>P</i> < 0.05). The effect was dose and redox marker depended. Correlation analysis in the pooled sample demonstrated a positive association between postprandial ex vivo platelet sensitivity to ADP and iAUC TBARS. In conclusion, our study has shown that OO-rich olive oils can favorably modulate lipid peroxidation and RBC GPx activity in T2DM patients when consumed as part of a carbohydrate meal.</p><p><strong>Discussion: </strong>This study demonstrates for the first time that, apart from its anti-inflammatory and antiplatelet properties, OO can also exert acute antioxidant effects.</p><p><strong>Conclusion: </strong>This finding emphasizes the health benefits of extra virgin olive oil, particularly those with a high OO content, for T2DM patients.</p>\",\"PeriodicalId\":12119,\"journal\":{\"name\":\"Food & Nutrition Research\",\"volume\":\"68 \",\"pages\":\"\"},\"PeriodicalIF\":3.4000,\"publicationDate\":\"2024-11-11\",\"publicationTypes\":\"Journal Article\",\"fieldsOfStudy\":null,\"isOpenAccess\":false,\"openAccessPdf\":\"https://www.ncbi.nlm.nih.gov/pmc/articles/PMC11650448/pdf/\",\"citationCount\":\"0\",\"resultStr\":null,\"platform\":\"Semanticscholar\",\"paperid\":null,\"PeriodicalName\":\"Food & Nutrition Research\",\"FirstCategoryId\":\"97\",\"ListUrlMain\":\"https://doi.org/10.29219/fnr.v68.10882\",\"RegionNum\":4,\"RegionCategory\":\"医学\",\"ArticlePicture\":[],\"TitleCN\":null,\"AbstractTextCN\":null,\"PMCID\":null,\"EPubDate\":\"2024/1/1 0:00:00\",\"PubModel\":\"eCollection\",\"JCR\":\"Q2\",\"JCRName\":\"FOOD SCIENCE & TECHNOLOGY\",\"Score\":null,\"Total\":0}","platform":"Semanticscholar","paperid":null,"PeriodicalName":"Food & Nutrition Research","FirstCategoryId":"97","ListUrlMain":"https://doi.org/10.29219/fnr.v68.10882","RegionNum":4,"RegionCategory":"医学","ArticlePicture":[],"TitleCN":null,"AbstractTextCN":null,"PMCID":null,"EPubDate":"2024/1/1 0:00:00","PubModel":"eCollection","JCR":"Q2","JCRName":"FOOD SCIENCE & TECHNOLOGY","Score":null,"Total":0}
引用次数: 0

摘要

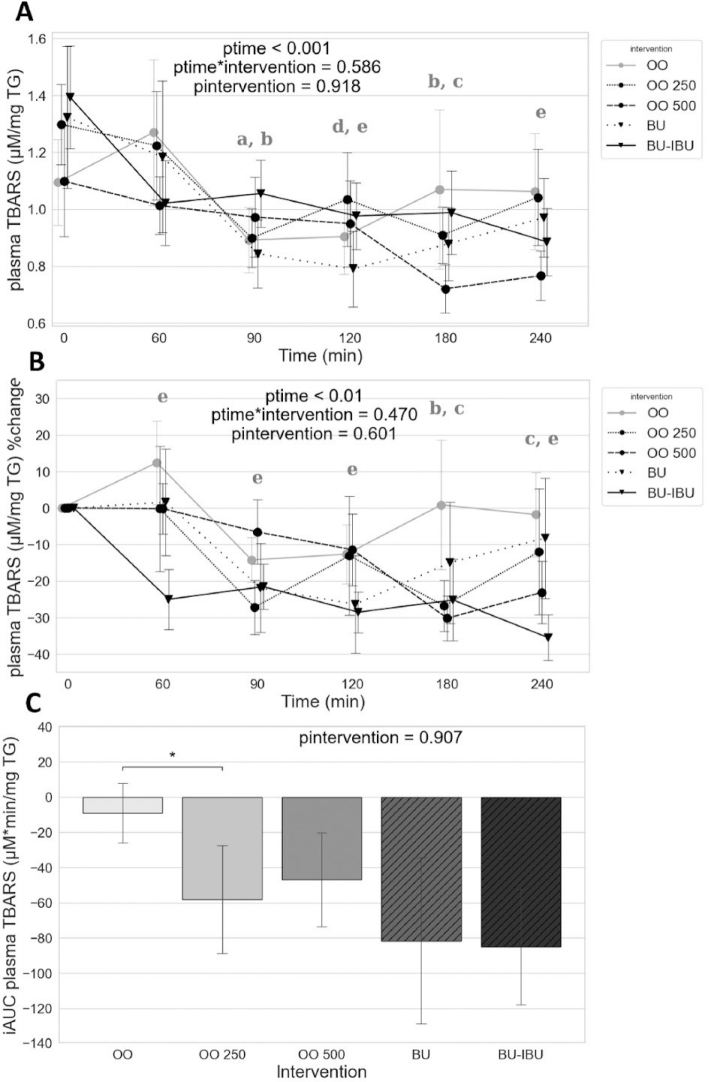
背景:2型糖尿病(T2DM)的特征是餐后代谢障碍,这与餐后氧化还原障碍有关。油烛醛(OO)是特级初榨橄榄油中最有效的生物活性酚之一,在体外显示出氧化还原调节特性。然而,其急性体内抗氧化性能从未被研究过。目的:研究不同膳食后5种氧化还原标志物(硫代巴比妥酸反应物质[TBARS]、血清gpx3和谷胱甘肽过氧化物酶活性(GPx1)、血清蛋白羰基)的动力学变化。设计:五种不同的等热量膳食,由白面包加黄油(BU)或黄油加布洛芬(BU- ibu)或不含OO的橄榄油或含有250和500毫克/公斤油籽酸(分别为OO250和OO500)的橄榄油组成。我们假设,与其他脂质来源相比,富含oo的橄榄油可以减少2型糖尿病患者餐后氧化应激。本研究纳入10例T2DM患者,采用交叉设计。结果:曲线下面积(iAUCs)的增量比较表明,与OO相比,富含OO的橄榄油能够缓解硫代巴比妥酸反应物质(TBARS)和GPx3的增量,并诱导红细胞(rbc) GPx1活性升高(P < 0.05)。效果与剂量和氧化还原标志物有关。合并样本的相关分析显示餐后离体血小板对ADP的敏感性与iAUC TBARS呈正相关。总之,我们的研究表明,当作为碳水化合物膳食的一部分食用时,富含ooo的橄榄油可以有利地调节2型糖尿病患者的脂质过氧化和RBC GPx活性。讨论:本研究首次证明,OO除了具有抗炎和抗血小板的特性外,还具有急性抗氧化作用。结论:这一发现强调了特级初榨橄榄油对2型糖尿病患者的健康益处,特别是那些含有高OO含量的橄榄油。
本文章由计算机程序翻译,如有差异,请以英文原文为准。

Effect of oleocanthal-rich olive oil on postprandial oxidative stress markers of patients with type 2 diabetes mellitus.

Effect of oleocanthal-rich olive oil on postprandial oxidative stress markers of patients with type 2 diabetes mellitus.

Effect of oleocanthal-rich olive oil on postprandial oxidative stress markers of patients with type 2 diabetes mellitus.

Effect of oleocanthal-rich olive oil on postprandial oxidative stress markers of patients with type 2 diabetes mellitus.

Background: Type 2 diabetes mellitus (T2DM) is characterized by postprandial dysmetabolism, which has been linked to post-meal redox disturbances. Oleocanthal (OO), one of the most potent bioactive phenols of extra virgin olive oil, has shown redox modulating properties in vitro. However, its acute, in vivo antioxidant properties have never been studied before.

Objective: The aim of this study was to investigate the kinetics of five redox markers (Thiobarbituric acid-reactive substances [TBARS] and glutathione peroxidase activity in serum-GPx3 and erythrocytes (GPx1), protein carbonyls in serum) after the consumption different meals.

Design: Five different isocaloric meals comprised of white bread and butter (BU) or butter plus ibuprofen (BU-IBU) or olive oil poor in OO or olive oils containing 250 and 500 mg/Kg of oleocanthal (OO250 and OO500, respectively). We hypothesized that OO-rich olive oil will reduce postprandial oxidative stress in T2DM patients compared to other lipid sources. This study involved 10 patients with T2DM and had a cross-over design.

Results: The comparison of incremental Area Under Curves (iAUCs) has shown that OO-rich olive oils were able to alleviate the increments of thiobarbituric acid-reactive substances (TBARS) and GPx3 and induce a higher red blood cells (RBCs) GPx1 activity compared to OO (P < 0.05). The effect was dose and redox marker depended. Correlation analysis in the pooled sample demonstrated a positive association between postprandial ex vivo platelet sensitivity to ADP and iAUC TBARS. In conclusion, our study has shown that OO-rich olive oils can favorably modulate lipid peroxidation and RBC GPx activity in T2DM patients when consumed as part of a carbohydrate meal.

Discussion: This study demonstrates for the first time that, apart from its anti-inflammatory and antiplatelet properties, OO can also exert acute antioxidant effects.

Conclusion: This finding emphasizes the health benefits of extra virgin olive oil, particularly those with a high OO content, for T2DM patients.

求助全文
通过发布文献求助,成功后即可免费获取论文全文。 去求助
来源期刊
Food & Nutrition Research
Food & Nutrition Research FOOD SCIENCE & TECHNOLOGY-NUTRITION & DIETETICS
CiteScore
5.20
自引率
9.10%
发文量
47
审稿时长
14 weeks
期刊介绍: Food & Nutrition Research is a peer-reviewed journal that presents the latest scientific research in various fields focusing on human nutrition. The journal publishes both quantitative and qualitative research papers. Through an Open Access publishing model, Food & Nutrition Research opens an important forum for researchers from academic and private arenas to exchange the latest results from research on human nutrition in a broad sense, both original papers and reviews, including: * Associations and effects of foods and nutrients on health * Dietary patterns and health * Molecular nutrition * Health claims on foods * Nutrition and cognitive functions * Nutritional effects of food composition and processing * Nutrition in developing countries * Animal and in vitro models with clear relevance for human nutrition * Nutrition and the Environment * Food and Nutrition Education * Nutrition and Economics Research papers on food chemistry (focus on chemical composition and analysis of foods) are generally not considered eligible, unless the results have a clear impact on human nutrition. The journal focuses on the different aspects of nutrition for people involved in nutrition research such as Dentists, Dieticians, Medical doctors, Nutritionists, Teachers, Journalists and Manufacturers in the food and pharmaceutical industries.
×
引用
GB/T 7714-2015
复制
MLA
复制
APA
复制
导出至
BibTeX EndNote RefMan NoteFirst NoteExpress
×
提示
您的信息不完整,为了账户安全,请先补充。
现在去补充
×
提示
您因"违规操作"
具体请查看互助需知
我知道了
×
提示
确定
请完成安全验证×
copy
已复制链接
快去分享给好友吧!
我知道了
右上角分享
点击右上角分享
0
联系我们:info@booksci.cn Book学术提供免费学术资源搜索服务,方便国内外学者检索中英文文献。致力于提供最便捷和优质的服务体验。 Copyright © 2023 布克学术 All rights reserved.
京ICP备2023020795号-1
ghs 京公网安备 11010802042870号
Book学术文献互助
Book学术文献互助群
群 号:604180095
Book学术官方微信