在重复的自行车测力器运动中味觉和气味敏感性的变化。

IF 3.9 2区 医学 Q1 NUTRITION & DIETETICS
Masataka Narukawa, Kensuke Nojiri, Rina Matsuda, Momo Murata, Seiji Sakate, Sachiko Kuga, Hidetoshi Ue
{"title":"在重复的自行车测力器运动中味觉和气味敏感性的变化。","authors":"Masataka Narukawa, Kensuke Nojiri, Rina Matsuda, Momo Murata, Seiji Sakate, Sachiko Kuga, Hidetoshi Ue","doi":"10.1080/15502783.2024.2441769","DOIUrl":null,"url":null,"abstract":"<p><strong>Background: </strong>Effective nutritional support is essential for maintaining good performance during exercise. Taste and olfaction are key senses for food intake, and understanding how their sensitivities change during exercise is important for effective nutritional support. However, the effects of exercise on taste and odor sensitivities remain unclear. This study aimed to investigate changes in taste and odor sensitivities during repeated endurance exercise using a bicycle ergometer.</p><p><strong>Methods: </strong>A total of 20 women (mean age; 21.6 ± 0.2 years) participated in the study, completing four 60-minute segments, each comprising 50 minutes of bicycle ergometer exercise at an exercise intensity of 60% heart rate reserve and a 10-minute sensory test. The sensory tests were conducted five times in total: after each exercise segment and once before exercise as a control. Four concentrations (×0.5, ×0.75, ×1, and × 1.25) of a commercially available isotonic beverage were used as taste samples, and the subjects evaluated the taste intensity, preference, and odor intensity. Four types of food odorants were used as odor samples, and the subjects rated their preference. The subjects also reported their perceived fatigue levels during the taste and odor tests. Fatigue levels and taste intensity were rated using a 100-mm visual analogue scale, and taste and odor preferences and odor intensity were evaluated using a scoring method.</p><p><strong>Results: </strong>The degree of physical fatigue significantly increased with each successive bicycle exercise segment. The taste intensity and preference for beverages with higher concentrations increased as the number of exercise segments increased, showing a significant increase in taste intensity for the × 1.25 solution in the final segment compared with before the tests. On the other hand, no significant effect was observed on the perceived odor intensity of the isotonic beverages. Similarly, there was no significant effect on the preference for odor samples due to repeated exercise.</p><p><strong>Conclusions: </strong>These results suggest that taste sensitivity may change with prolonged exercise. Additionally, since odor intensity and preference were not significantly affected by repeated exercise, odor sensitivity may be less impacted by exercise than taste sensitivity.</p>","PeriodicalId":17400,"journal":{"name":"Journal of the International Society of Sports Nutrition","volume":"22 1","pages":"2441769"},"PeriodicalIF":3.9000,"publicationDate":"2025-12-01","publicationTypes":"Journal Article","fieldsOfStudy":null,"isOpenAccess":false,"openAccessPdf":"https://www.ncbi.nlm.nih.gov/pmc/articles/PMC11654038/pdf/","citationCount":"0","resultStr":"{\"title\":\"Changes in taste and odor sensitivities during repeated bicycle ergometer exercises.\",\"authors\":\"Masataka Narukawa, Kensuke Nojiri, Rina Matsuda, Momo Murata, Seiji Sakate, Sachiko Kuga, Hidetoshi Ue\",\"doi\":\"10.1080/15502783.2024.2441769\",\"DOIUrl\":null,\"url\":null,\"abstract\":\"<p><strong>Background: </strong>Effective nutritional support is essential for maintaining good performance during exercise. Taste and olfaction are key senses for food intake, and understanding how their sensitivities change during exercise is important for effective nutritional support. However, the effects of exercise on taste and odor sensitivities remain unclear. This study aimed to investigate changes in taste and odor sensitivities during repeated endurance exercise using a bicycle ergometer.</p><p><strong>Methods: </strong>A total of 20 women (mean age; 21.6 ± 0.2 years) participated in the study, completing four 60-minute segments, each comprising 50 minutes of bicycle ergometer exercise at an exercise intensity of 60% heart rate reserve and a 10-minute sensory test. The sensory tests were conducted five times in total: after each exercise segment and once before exercise as a control. Four concentrations (×0.5, ×0.75, ×1, and × 1.25) of a commercially available isotonic beverage were used as taste samples, and the subjects evaluated the taste intensity, preference, and odor intensity. Four types of food odorants were used as odor samples, and the subjects rated their preference. The subjects also reported their perceived fatigue levels during the taste and odor tests. Fatigue levels and taste intensity were rated using a 100-mm visual analogue scale, and taste and odor preferences and odor intensity were evaluated using a scoring method.</p><p><strong>Results: </strong>The degree of physical fatigue significantly increased with each successive bicycle exercise segment. The taste intensity and preference for beverages with higher concentrations increased as the number of exercise segments increased, showing a significant increase in taste intensity for the × 1.25 solution in the final segment compared with before the tests. On the other hand, no significant effect was observed on the perceived odor intensity of the isotonic beverages. Similarly, there was no significant effect on the preference for odor samples due to repeated exercise.</p><p><strong>Conclusions: </strong>These results suggest that taste sensitivity may change with prolonged exercise. Additionally, since odor intensity and preference were not significantly affected by repeated exercise, odor sensitivity may be less impacted by exercise than taste sensitivity.</p>\",\"PeriodicalId\":17400,\"journal\":{\"name\":\"Journal of the International Society of Sports Nutrition\",\"volume\":\"22 1\",\"pages\":\"2441769\"},\"PeriodicalIF\":3.9000,\"publicationDate\":\"2025-12-01\",\"publicationTypes\":\"Journal Article\",\"fieldsOfStudy\":null,\"isOpenAccess\":false,\"openAccessPdf\":\"https://www.ncbi.nlm.nih.gov/pmc/articles/PMC11654038/pdf/\",\"citationCount\":\"0\",\"resultStr\":null,\"platform\":\"Semanticscholar\",\"paperid\":null,\"PeriodicalName\":\"Journal of the International Society of Sports Nutrition\",\"FirstCategoryId\":\"3\",\"ListUrlMain\":\"https://doi.org/10.1080/15502783.2024.2441769\",\"RegionNum\":2,\"RegionCategory\":\"医学\",\"ArticlePicture\":[],\"TitleCN\":null,\"AbstractTextCN\":null,\"PMCID\":null,\"EPubDate\":\"2024/12/16 0:00:00\",\"PubModel\":\"Epub\",\"JCR\":\"Q1\",\"JCRName\":\"NUTRITION & DIETETICS\",\"Score\":null,\"Total\":0}","platform":"Semanticscholar","paperid":null,"PeriodicalName":"Journal of the International Society of Sports Nutrition","FirstCategoryId":"3","ListUrlMain":"https://doi.org/10.1080/15502783.2024.2441769","RegionNum":2,"RegionCategory":"医学","ArticlePicture":[],"TitleCN":null,"AbstractTextCN":null,"PMCID":null,"EPubDate":"2024/12/16 0:00:00","PubModel":"Epub","JCR":"Q1","JCRName":"NUTRITION & DIETETICS","Score":null,"Total":0}
引用次数: 0

摘要

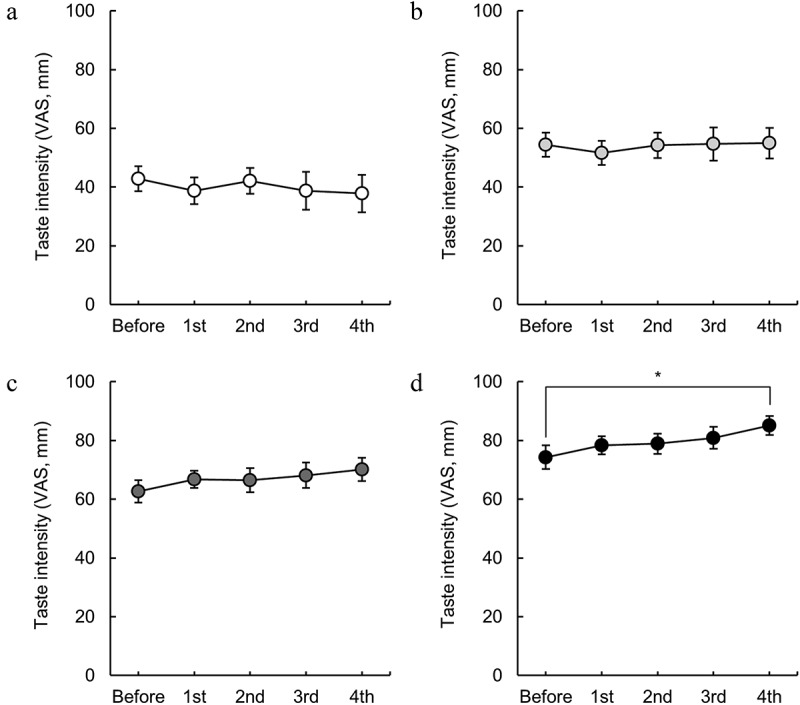
背景:有效的营养支持对于在运动中保持良好的表现是必不可少的。味觉和嗅觉是食物摄入的关键感官,了解它们的敏感性在运动过程中如何变化对有效的营养支持很重要。然而,运动对味觉和气味敏感性的影响尚不清楚。这项研究旨在调查在使用自行车测力器进行重复耐力运动时味觉和气味敏感性的变化。方法:共20例女性(平均年龄;(21.6±0.2岁)参加了这项研究,完成了四个60分钟的部分,每个部分包括50分钟的自行车计力器运动,运动强度为60%心率储备和10分钟的感官测试。感官测试共进行了五次:在每个运动部分之后和一次运动前作为对照。四种浓度(×0.5、×0.75、×1和× 1.25)的市售等渗饮料作为味觉样本,受试者评估味觉强度、偏好和气味强度。研究人员将四种食物气味作为气味样本,并让受试者对自己的偏好进行打分。受试者还报告了他们在味觉和气味测试中感受到的疲劳程度。使用100毫米视觉模拟量表对疲劳水平和味觉强度进行评分,并使用计分法对味觉和气味偏好以及气味强度进行评估。结果:随着自行车运动段的增加,身体疲劳程度显著增加。味觉强度和对高浓度饮料的偏好随着运动段数的增加而增加,最后一段对× 1.25溶液的味觉强度与测试前相比显著增加。另一方面,等渗饮料对感知气味强度没有显著影响。同样,由于反复的练习,对气味样本的偏好没有显著的影响。结论:这些结果表明味觉敏感性可能随着长时间运动而改变。此外,由于反复运动对气味强度和偏好没有显著影响,因此运动对气味敏感性的影响可能小于味觉敏感性。
本文章由计算机程序翻译,如有差异,请以英文原文为准。

Changes in taste and odor sensitivities during repeated bicycle ergometer exercises.

Changes in taste and odor sensitivities during repeated bicycle ergometer exercises.

Changes in taste and odor sensitivities during repeated bicycle ergometer exercises.

Changes in taste and odor sensitivities during repeated bicycle ergometer exercises.

Background: Effective nutritional support is essential for maintaining good performance during exercise. Taste and olfaction are key senses for food intake, and understanding how their sensitivities change during exercise is important for effective nutritional support. However, the effects of exercise on taste and odor sensitivities remain unclear. This study aimed to investigate changes in taste and odor sensitivities during repeated endurance exercise using a bicycle ergometer.

Methods: A total of 20 women (mean age; 21.6 ± 0.2 years) participated in the study, completing four 60-minute segments, each comprising 50 minutes of bicycle ergometer exercise at an exercise intensity of 60% heart rate reserve and a 10-minute sensory test. The sensory tests were conducted five times in total: after each exercise segment and once before exercise as a control. Four concentrations (×0.5, ×0.75, ×1, and × 1.25) of a commercially available isotonic beverage were used as taste samples, and the subjects evaluated the taste intensity, preference, and odor intensity. Four types of food odorants were used as odor samples, and the subjects rated their preference. The subjects also reported their perceived fatigue levels during the taste and odor tests. Fatigue levels and taste intensity were rated using a 100-mm visual analogue scale, and taste and odor preferences and odor intensity were evaluated using a scoring method.

Results: The degree of physical fatigue significantly increased with each successive bicycle exercise segment. The taste intensity and preference for beverages with higher concentrations increased as the number of exercise segments increased, showing a significant increase in taste intensity for the × 1.25 solution in the final segment compared with before the tests. On the other hand, no significant effect was observed on the perceived odor intensity of the isotonic beverages. Similarly, there was no significant effect on the preference for odor samples due to repeated exercise.

Conclusions: These results suggest that taste sensitivity may change with prolonged exercise. Additionally, since odor intensity and preference were not significantly affected by repeated exercise, odor sensitivity may be less impacted by exercise than taste sensitivity.

求助全文
通过发布文献求助,成功后即可免费获取论文全文。 去求助
来源期刊
Journal of the International Society of Sports Nutrition
Journal of the International Society of Sports Nutrition NUTRITION & DIETETICS-SPORT SCIENCES
CiteScore
8.80
自引率
3.90%
发文量
34
审稿时长
6-12 weeks
期刊介绍: Journal of the International Society of Sports Nutrition (JISSN) focuses on the acute and chronic effects of sports nutrition and supplementation strategies on body composition, physical performance and metabolism. JISSN is aimed at researchers and sport enthusiasts focused on delivering knowledge on exercise and nutrition on health, disease, rehabilitation, training, and performance. The journal provides a platform on which readers can determine nutritional strategies that may enhance exercise and/or training adaptations leading to improved health and performance.
×
引用
GB/T 7714-2015
复制
MLA
复制
APA
复制
导出至
BibTeX EndNote RefMan NoteFirst NoteExpress
×
提示
您的信息不完整,为了账户安全,请先补充。
现在去补充
×
提示
您因"违规操作"
具体请查看互助需知
我知道了
×
提示
确定
请完成安全验证×
copy
已复制链接
快去分享给好友吧!
我知道了
右上角分享
点击右上角分享
0
联系我们:info@booksci.cn Book学术提供免费学术资源搜索服务,方便国内外学者检索中英文文献。致力于提供最便捷和优质的服务体验。 Copyright © 2023 布克学术 All rights reserved.
京ICP备2023020795号-1
ghs 京公网安备 11010802042870号
Book学术文献互助
Book学术文献互助群
群 号:604180095
Book学术官方微信