在一组 CVI 患者中对 Teach-CVI 调查工具进行 Rasch 分析和目标评估。

IF 0.9
Frontiers in ophthalmology Pub Date : 2024-11-29 eCollection Date: 2024-01-01 DOI:10.3389/fopht.2024.1495000
Jem Martin, Chris Bradley, Barry S Kran, Nicole C Ross
{"title":"在一组 CVI 患者中对 Teach-CVI 调查工具进行 Rasch 分析和目标评估。","authors":"Jem Martin, Chris Bradley, Barry S Kran, Nicole C Ross","doi":"10.3389/fopht.2024.1495000","DOIUrl":null,"url":null,"abstract":"<p><strong>Purpose: </strong>Cerebral Visual Impairment (CVI) is the leading cause of pediatric visual impairment. Given the diversity of clinical presentations of CVI, we are interested in whether questionnaires appropriately target the spectrum CVI cases, specifically the Teach-CVI Screening Tool. Rasch analysis is a standard psychometric technique for assessing the targeting of questionnaire items, however this analysis technique has not yet been applied to this questionnaire.</p><p><strong>Methods: </strong>We performed a retrospective review of clinical CVI cases from the NECO Center for Eye Care at Perkins School for the Blind from January 2016 to December 2022. Electronic medical records were reviewed to identify patients with an ICD-9 or ICD-10 code of CVI or other neurological visual impairment. Age, gender, diagnoses, visual acuity, contrast sensitivity, visual fields, ocular alignment, and Teach-CVI responses were collected. We applied the method of successive dichotomizations, a polytomous Rasch model, to estimate item measures and person measures from the survey. Targeting of questionnaire items to the sample population was explored by comparing estimated item measures to person measures. Multiple linear regression was used to determine which factors influence patient visual ability (i.e., Teach-CVI person measure).</p><p><strong>Results: </strong>119 patient records were included, 54% of which were male. The mean age was 8.9 years (SD = 6.12) with a range of 0 to 33 years of age. Mean visual acuity was 0.46 logMAR (SD = 0.40), or 20/57. The majority of patients in the sample had a co-occurring visual disorder in addition to CVI (84%), the most frequent being strabismus (69.9%) or visual field loss (25.3%). Item measures ranged from -2.67 to 1.77 logits (SD = 0.76), with a mean of 0 logit by convention. Estimated person measures ranged from -2.19 to 3.08 logits (SD = 1.10) with a mean of -0.03 logit. The range of item measures covered 93.3% of the person measures, and all person measures, except one, were within one logit of an item measure. Visual measures were not statistically significantly associated with Teach-CVI person measures.</p><p><strong>Conclusion: </strong>The findings from this study suggest that the Teach-CVI survey is well targeted and an appropriate patient reported outcome measure for CVI.</p>","PeriodicalId":73096,"journal":{"name":"Frontiers in ophthalmology","volume":"4 ","pages":"1495000"},"PeriodicalIF":0.9000,"publicationDate":"2024-11-29","publicationTypes":"Journal Article","fieldsOfStudy":null,"isOpenAccess":false,"openAccessPdf":"https://www.ncbi.nlm.nih.gov/pmc/articles/PMC11638165/pdf/","citationCount":"0","resultStr":"{\"title\":\"Rasch analysis and targeting assessment of the teach-CVI survey tool in a cohort of CVI patients.\",\"authors\":\"Jem Martin, Chris Bradley, Barry S Kran, Nicole C Ross\",\"doi\":\"10.3389/fopht.2024.1495000\",\"DOIUrl\":null,\"url\":null,\"abstract\":\"<p><strong>Purpose: </strong>Cerebral Visual Impairment (CVI) is the leading cause of pediatric visual impairment. Given the diversity of clinical presentations of CVI, we are interested in whether questionnaires appropriately target the spectrum CVI cases, specifically the Teach-CVI Screening Tool. Rasch analysis is a standard psychometric technique for assessing the targeting of questionnaire items, however this analysis technique has not yet been applied to this questionnaire.</p><p><strong>Methods: </strong>We performed a retrospective review of clinical CVI cases from the NECO Center for Eye Care at Perkins School for the Blind from January 2016 to December 2022. Electronic medical records were reviewed to identify patients with an ICD-9 or ICD-10 code of CVI or other neurological visual impairment. Age, gender, diagnoses, visual acuity, contrast sensitivity, visual fields, ocular alignment, and Teach-CVI responses were collected. We applied the method of successive dichotomizations, a polytomous Rasch model, to estimate item measures and person measures from the survey. Targeting of questionnaire items to the sample population was explored by comparing estimated item measures to person measures. Multiple linear regression was used to determine which factors influence patient visual ability (i.e., Teach-CVI person measure).</p><p><strong>Results: </strong>119 patient records were included, 54% of which were male. The mean age was 8.9 years (SD = 6.12) with a range of 0 to 33 years of age. Mean visual acuity was 0.46 logMAR (SD = 0.40), or 20/57. The majority of patients in the sample had a co-occurring visual disorder in addition to CVI (84%), the most frequent being strabismus (69.9%) or visual field loss (25.3%). Item measures ranged from -2.67 to 1.77 logits (SD = 0.76), with a mean of 0 logit by convention. Estimated person measures ranged from -2.19 to 3.08 logits (SD = 1.10) with a mean of -0.03 logit. The range of item measures covered 93.3% of the person measures, and all person measures, except one, were within one logit of an item measure. Visual measures were not statistically significantly associated with Teach-CVI person measures.</p><p><strong>Conclusion: </strong>The findings from this study suggest that the Teach-CVI survey is well targeted and an appropriate patient reported outcome measure for CVI.</p>\",\"PeriodicalId\":73096,\"journal\":{\"name\":\"Frontiers in ophthalmology\",\"volume\":\"4 \",\"pages\":\"1495000\"},\"PeriodicalIF\":0.9000,\"publicationDate\":\"2024-11-29\",\"publicationTypes\":\"Journal Article\",\"fieldsOfStudy\":null,\"isOpenAccess\":false,\"openAccessPdf\":\"https://www.ncbi.nlm.nih.gov/pmc/articles/PMC11638165/pdf/\",\"citationCount\":\"0\",\"resultStr\":null,\"platform\":\"Semanticscholar\",\"paperid\":null,\"PeriodicalName\":\"Frontiers in ophthalmology\",\"FirstCategoryId\":\"1085\",\"ListUrlMain\":\"https://doi.org/10.3389/fopht.2024.1495000\",\"RegionNum\":0,\"RegionCategory\":null,\"ArticlePicture\":[],\"TitleCN\":null,\"AbstractTextCN\":null,\"PMCID\":null,\"EPubDate\":\"2024/1/1 0:00:00\",\"PubModel\":\"eCollection\",\"JCR\":\"\",\"JCRName\":\"\",\"Score\":null,\"Total\":0}","platform":"Semanticscholar","paperid":null,"PeriodicalName":"Frontiers in ophthalmology","FirstCategoryId":"1085","ListUrlMain":"https://doi.org/10.3389/fopht.2024.1495000","RegionNum":0,"RegionCategory":null,"ArticlePicture":[],"TitleCN":null,"AbstractTextCN":null,"PMCID":null,"EPubDate":"2024/1/1 0:00:00","PubModel":"eCollection","JCR":"","JCRName":"","Score":null,"Total":0}
引用次数: 0

摘要

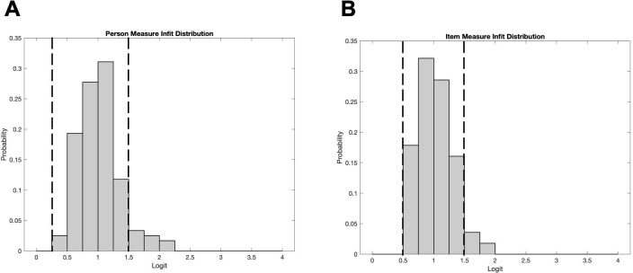
目的:脑性视力损伤(CVI)是导致儿童视力损伤的主要原因。鉴于 CVI 的临床表现多种多样,我们对问卷调查是否适当地针对 CVI 病例谱,特别是 Teach-CVI 筛查工具感兴趣。拉施分析是一种标准的心理测量技术,用于评估问卷项目的针对性,但这种分析技术尚未应用于该问卷:我们对帕金斯盲人学校 NECO 眼科护理中心 2016 年 1 月至 2022 年 12 月期间的临床 CVI 病例进行了回顾性审查。我们查阅了电子病历,以确定哪些患者的 ICD-9 或 ICD-10 编码为 CVI 或其他神经性视力损伤。我们收集了年龄、性别、诊断、视力、对比敏感度、视野、眼球排列和 Teach-CVI 反应。我们采用连续二分法,即多配对 Rasch 模型来估算调查中的项目测量值和个人测量值。通过比较估算出的项目测量值和个人测量值,探讨了问卷项目对样本人群的针对性。多元线性回归用于确定哪些因素会影响患者的视觉能力(即 Teach-CVI 人员测量):共纳入 119 份病历,其中 54% 为男性。平均年龄为 8.9 岁(SD = 6.12),年龄范围为 0 至 33 岁。平均视力为 0.46 logMAR(SD = 0.40),即 20/57。样本中的大多数患者除 CVI 外还合并有视觉障碍(84%),其中最常见的是斜视(69.9%)或视野缺损(25.3%)。项目测量值介于 -2.67 至 1.77 logit 之间(SD = 0.76),按惯例平均为 0 logit。估计的个人测量值介于 -2.19 至 3.08 logits 之间(标准差 = 1.10),平均值为 -0.03 logit。项目测量值的范围覆盖了 93.3% 的人的测量值,除一项外,所有的人的测量值都在项目测量值的 1 logit 范围内。视觉测量结果与 Teach-CVI 人员测量结果在统计学上没有明显关联:本研究结果表明,Teach-CVI 调查具有很强的针对性,是针对 CVI 的适当的患者报告结果测量方法。
本文章由计算机程序翻译,如有差异,请以英文原文为准。

Rasch analysis and targeting assessment of the teach-CVI survey tool in a cohort of CVI patients.

Rasch analysis and targeting assessment of the teach-CVI survey tool in a cohort of CVI patients.

Rasch analysis and targeting assessment of the teach-CVI survey tool in a cohort of CVI patients.

Rasch analysis and targeting assessment of the teach-CVI survey tool in a cohort of CVI patients.

Purpose: Cerebral Visual Impairment (CVI) is the leading cause of pediatric visual impairment. Given the diversity of clinical presentations of CVI, we are interested in whether questionnaires appropriately target the spectrum CVI cases, specifically the Teach-CVI Screening Tool. Rasch analysis is a standard psychometric technique for assessing the targeting of questionnaire items, however this analysis technique has not yet been applied to this questionnaire.

Methods: We performed a retrospective review of clinical CVI cases from the NECO Center for Eye Care at Perkins School for the Blind from January 2016 to December 2022. Electronic medical records were reviewed to identify patients with an ICD-9 or ICD-10 code of CVI or other neurological visual impairment. Age, gender, diagnoses, visual acuity, contrast sensitivity, visual fields, ocular alignment, and Teach-CVI responses were collected. We applied the method of successive dichotomizations, a polytomous Rasch model, to estimate item measures and person measures from the survey. Targeting of questionnaire items to the sample population was explored by comparing estimated item measures to person measures. Multiple linear regression was used to determine which factors influence patient visual ability (i.e., Teach-CVI person measure).

Results: 119 patient records were included, 54% of which were male. The mean age was 8.9 years (SD = 6.12) with a range of 0 to 33 years of age. Mean visual acuity was 0.46 logMAR (SD = 0.40), or 20/57. The majority of patients in the sample had a co-occurring visual disorder in addition to CVI (84%), the most frequent being strabismus (69.9%) or visual field loss (25.3%). Item measures ranged from -2.67 to 1.77 logits (SD = 0.76), with a mean of 0 logit by convention. Estimated person measures ranged from -2.19 to 3.08 logits (SD = 1.10) with a mean of -0.03 logit. The range of item measures covered 93.3% of the person measures, and all person measures, except one, were within one logit of an item measure. Visual measures were not statistically significantly associated with Teach-CVI person measures.

Conclusion: The findings from this study suggest that the Teach-CVI survey is well targeted and an appropriate patient reported outcome measure for CVI.

求助全文
通过发布文献求助,成功后即可免费获取论文全文。 去求助
来源期刊
CiteScore
0.50
自引率
0.00%
发文量
0
×
引用
GB/T 7714-2015
复制
MLA
复制
APA
复制
导出至
BibTeX EndNote RefMan NoteFirst NoteExpress
×
提示
您的信息不完整,为了账户安全,请先补充。
现在去补充
×
提示
您因"违规操作"
具体请查看互助需知
我知道了
×
提示
确定
请完成安全验证×
copy
已复制链接
快去分享给好友吧!
我知道了
右上角分享
点击右上角分享
0
联系我们:info@booksci.cn Book学术提供免费学术资源搜索服务,方便国内外学者检索中英文文献。致力于提供最便捷和优质的服务体验。 Copyright © 2023 布克学术 All rights reserved.
京ICP备2023020795号-1
ghs 京公网安备 11010802042870号
Book学术文献互助
Book学术文献互助群
群 号:604180095
Book学术官方微信