短期适量饮酒对脑容量的影响。

IF 2 Q3 NEUROSCIENCES
Neuropsychopharmacology Reports Pub Date : 2025-03-01 Epub Date: 2024-12-12 DOI:10.1002/npr2.12500
Sakiko Tsugawa, Fumihiko Ueno, Mutsuki Sakuma, Hideaki Tani, Ryo Ochi, Ariel Graff-Guerrero, Yoshihiro Noda, Hiroyuki Uchida, Masaru Mimura, Shunji Oshima, Sachio Matsushita, Shinichiro Nakajima
{"title":"短期适量饮酒对脑容量的影响。","authors":"Sakiko Tsugawa, Fumihiko Ueno, Mutsuki Sakuma, Hideaki Tani, Ryo Ochi, Ariel Graff-Guerrero, Yoshihiro Noda, Hiroyuki Uchida, Masaru Mimura, Shunji Oshima, Sachio Matsushita, Shinichiro Nakajima","doi":"10.1002/npr2.12500","DOIUrl":null,"url":null,"abstract":"<p><strong>Aim: </strong>Although numerous studies have reported that chronic alcohol consumption causes brain volume reduction and cerebrospinal fluid volume increase, few studies have examined the acute effects of alcohol on brain structure. This study aims to investigate the short-term brain volume changes following alcohol administration.</p><p><strong>Methods: </strong>Moderate doses of alcohol were administered intravenously to 18 healthy volunteers for a total of 90 min to achieve a blood alcohol concentration of 0.5 mg/mL. An alcohol clamp method combined with physiologically based pharmacokinetic modeling was used to achieve fine control over blood alcohol concentration. T1 images with 3T MRI were scanned at three time points: baseline, 0 min, and 90 min after the end of alcohol administration. Cortical, subcortical, and ventricular volumes were computed after segmentation with FreeSurfer. Repeated measures analysis of variance was used to evaluate longitudinal changes in brain volume at 96 regions.</p><p><strong>Results: </strong>Acute alcohol administration increased bilateral lateral ventricular volumes, which lasted until 90 min after the end of alcohol injection. On the other hand, the volumes of total gray matter, left precentral cortex, left caudal middle frontal cortex, and left superior frontal cortex decreased after alcohol administration, but these changes disappeared 90 min after the end of alcohol administration.</p><p><strong>Conclusion: </strong>Acute injection of moderate doses of alcohol may enlarge ventricle volumes and reduce gray matter volumes. The transient volume changes caused by acute administration of alcohol may be related to changes in CSF flow and water content of brain tissue, which warrants further study.</p>","PeriodicalId":19137,"journal":{"name":"Neuropsychopharmacology Reports","volume":" ","pages":"e12500"},"PeriodicalIF":2.0000,"publicationDate":"2025-03-01","publicationTypes":"Journal Article","fieldsOfStudy":null,"isOpenAccess":false,"openAccessPdf":"https://www.ncbi.nlm.nih.gov/pmc/articles/PMC11772103/pdf/","citationCount":"0","resultStr":"{\"title\":\"Effects of short-term exposure to moderate amounts of alcohol on brain volume.\",\"authors\":\"Sakiko Tsugawa, Fumihiko Ueno, Mutsuki Sakuma, Hideaki Tani, Ryo Ochi, Ariel Graff-Guerrero, Yoshihiro Noda, Hiroyuki Uchida, Masaru Mimura, Shunji Oshima, Sachio Matsushita, Shinichiro Nakajima\",\"doi\":\"10.1002/npr2.12500\",\"DOIUrl\":null,\"url\":null,\"abstract\":\"<p><strong>Aim: </strong>Although numerous studies have reported that chronic alcohol consumption causes brain volume reduction and cerebrospinal fluid volume increase, few studies have examined the acute effects of alcohol on brain structure. This study aims to investigate the short-term brain volume changes following alcohol administration.</p><p><strong>Methods: </strong>Moderate doses of alcohol were administered intravenously to 18 healthy volunteers for a total of 90 min to achieve a blood alcohol concentration of 0.5 mg/mL. An alcohol clamp method combined with physiologically based pharmacokinetic modeling was used to achieve fine control over blood alcohol concentration. T1 images with 3T MRI were scanned at three time points: baseline, 0 min, and 90 min after the end of alcohol administration. Cortical, subcortical, and ventricular volumes were computed after segmentation with FreeSurfer. Repeated measures analysis of variance was used to evaluate longitudinal changes in brain volume at 96 regions.</p><p><strong>Results: </strong>Acute alcohol administration increased bilateral lateral ventricular volumes, which lasted until 90 min after the end of alcohol injection. On the other hand, the volumes of total gray matter, left precentral cortex, left caudal middle frontal cortex, and left superior frontal cortex decreased after alcohol administration, but these changes disappeared 90 min after the end of alcohol administration.</p><p><strong>Conclusion: </strong>Acute injection of moderate doses of alcohol may enlarge ventricle volumes and reduce gray matter volumes. The transient volume changes caused by acute administration of alcohol may be related to changes in CSF flow and water content of brain tissue, which warrants further study.</p>\",\"PeriodicalId\":19137,\"journal\":{\"name\":\"Neuropsychopharmacology Reports\",\"volume\":\" \",\"pages\":\"e12500\"},\"PeriodicalIF\":2.0000,\"publicationDate\":\"2025-03-01\",\"publicationTypes\":\"Journal Article\",\"fieldsOfStudy\":null,\"isOpenAccess\":false,\"openAccessPdf\":\"https://www.ncbi.nlm.nih.gov/pmc/articles/PMC11772103/pdf/\",\"citationCount\":\"0\",\"resultStr\":null,\"platform\":\"Semanticscholar\",\"paperid\":null,\"PeriodicalName\":\"Neuropsychopharmacology Reports\",\"FirstCategoryId\":\"1085\",\"ListUrlMain\":\"https://doi.org/10.1002/npr2.12500\",\"RegionNum\":0,\"RegionCategory\":null,\"ArticlePicture\":[],\"TitleCN\":null,\"AbstractTextCN\":null,\"PMCID\":null,\"EPubDate\":\"2024/12/12 0:00:00\",\"PubModel\":\"Epub\",\"JCR\":\"Q3\",\"JCRName\":\"NEUROSCIENCES\",\"Score\":null,\"Total\":0}","platform":"Semanticscholar","paperid":null,"PeriodicalName":"Neuropsychopharmacology Reports","FirstCategoryId":"1085","ListUrlMain":"https://doi.org/10.1002/npr2.12500","RegionNum":0,"RegionCategory":null,"ArticlePicture":[],"TitleCN":null,"AbstractTextCN":null,"PMCID":null,"EPubDate":"2024/12/12 0:00:00","PubModel":"Epub","JCR":"Q3","JCRName":"NEUROSCIENCES","Score":null,"Total":0}
引用次数: 0

摘要

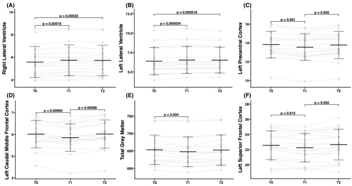
目的:尽管许多研究报告称,长期饮酒会导致脑容量减少和脑脊液容量增加,但很少有研究探讨酒精对大脑结构的急性影响。本研究旨在探讨饮酒后短期内脑容量的变化:方法:给 18 名健康志愿者静脉注射中等剂量的酒精共 90 分钟,使血液中酒精浓度达到 0.5 毫克/毫升。采用酒精钳夹法结合基于生理学的药代动力学模型来实现对血液酒精浓度的精细控制。在三个时间点扫描了 3T MRI 的 T1 图像:基线、0 分钟和给药结束后 90 分钟。使用 FreeSurfer 进行分割后,计算皮质、皮质下和脑室体积。重复测量方差分析用于评估96个区域脑容量的纵向变化:结果:急性酒精注射会增加双侧侧脑室体积,这种情况一直持续到酒精注射结束后 90 分钟。另一方面,总灰质、左前额叶皮质、左尾中额叶皮质和左上额叶皮质的体积在注射酒精后下降,但这些变化在注射酒精结束后 90 分钟消失:结论:急性注射中等剂量的酒精可扩大脑室体积,减少灰质体积。结论:急性注射中等剂量酒精可能会扩大脑室体积并缩小灰质体积,急性注射酒精引起的一过性体积变化可能与 CSF 流量和脑组织含水量的变化有关,值得进一步研究。
本文章由计算机程序翻译,如有差异,请以英文原文为准。

Effects of short-term exposure to moderate amounts of alcohol on brain volume.

Effects of short-term exposure to moderate amounts of alcohol on brain volume.

Effects of short-term exposure to moderate amounts of alcohol on brain volume.

Effects of short-term exposure to moderate amounts of alcohol on brain volume.

Aim: Although numerous studies have reported that chronic alcohol consumption causes brain volume reduction and cerebrospinal fluid volume increase, few studies have examined the acute effects of alcohol on brain structure. This study aims to investigate the short-term brain volume changes following alcohol administration.

Methods: Moderate doses of alcohol were administered intravenously to 18 healthy volunteers for a total of 90 min to achieve a blood alcohol concentration of 0.5 mg/mL. An alcohol clamp method combined with physiologically based pharmacokinetic modeling was used to achieve fine control over blood alcohol concentration. T1 images with 3T MRI were scanned at three time points: baseline, 0 min, and 90 min after the end of alcohol administration. Cortical, subcortical, and ventricular volumes were computed after segmentation with FreeSurfer. Repeated measures analysis of variance was used to evaluate longitudinal changes in brain volume at 96 regions.

Results: Acute alcohol administration increased bilateral lateral ventricular volumes, which lasted until 90 min after the end of alcohol injection. On the other hand, the volumes of total gray matter, left precentral cortex, left caudal middle frontal cortex, and left superior frontal cortex decreased after alcohol administration, but these changes disappeared 90 min after the end of alcohol administration.

Conclusion: Acute injection of moderate doses of alcohol may enlarge ventricle volumes and reduce gray matter volumes. The transient volume changes caused by acute administration of alcohol may be related to changes in CSF flow and water content of brain tissue, which warrants further study.

求助全文
通过发布文献求助,成功后即可免费获取论文全文。 去求助
来源期刊
Neuropsychopharmacology Reports
Neuropsychopharmacology Reports Psychology-Clinical Psychology
CiteScore
3.60
自引率
4.00%
发文量
75
审稿时长
14 weeks
×
引用
GB/T 7714-2015
复制
MLA
复制
APA
复制
导出至
BibTeX EndNote RefMan NoteFirst NoteExpress
×
提示
您的信息不完整,为了账户安全,请先补充。
现在去补充
×
提示
您因"违规操作"
具体请查看互助需知
我知道了
×
提示
确定
请完成安全验证×
copy
已复制链接
快去分享给好友吧!
我知道了
右上角分享
点击右上角分享
0
联系我们:info@booksci.cn Book学术提供免费学术资源搜索服务,方便国内外学者检索中英文文献。致力于提供最便捷和优质的服务体验。 Copyright © 2023 布克学术 All rights reserved.
京ICP备2023020795号-1
ghs 京公网安备 11010802042870号
Book学术文献互助
Book学术文献互助群
群 号:604180095
Book学术官方微信