在纵向随访中,达到低狼疮疾病活动状态、系统性红斑狼疮疾病控制或缓解的患者显示出较低的器官损害率:霍普金斯狼疮队列分析。

IF 3.5 2区 医学 Q1 RHEUMATOLOGY
Jacob Hunnicutt, Mary Elizabeth Georgiou, Anna Richards, Holly Quasny, Laurence Magder, Daniel Goldman, Michelle A Petri
{"title":"在纵向随访中,达到低狼疮疾病活动状态、系统性红斑狼疮疾病控制或缓解的患者显示出较低的器官损害率:霍普金斯狼疮队列分析。","authors":"Jacob Hunnicutt, Mary Elizabeth Georgiou, Anna Richards, Holly Quasny, Laurence Magder, Daniel Goldman, Michelle A Petri","doi":"10.1136/lupus-2024-001206","DOIUrl":null,"url":null,"abstract":"<p><strong>Objective: </strong>One key target of treating patients with systemic lupus erythematosus (SLE) is to prevent organ damage. This analysis quantified the association between time spent in four specific SLE low disease activity (LDA) states and organ damage rate.</p><p><strong>Methods: </strong>This retrospective real-world data analysis (GSK Study 207168), undertaken to help contextualise the BLISS-BELIEVE clinical trial, included adults with SLE enrolled for≥1 year in the Hopkins Lupus Cohort and treated with standard therapy in a specialist care centre between 1987 and 2019. LDA states (Lupus Low Disease Activity State (LLDAS), disease control, clinical and complete remissions) were defined using SLE Disease Activity Index (SLEDAI)/Physician Global Assessment scores, prednisone-equivalent dose and medication use criteria combinations. Time spent in each LDA state was expressed as a percentage of total follow-up (0%; >0-<25%; 25-49%; 50-74%; ≥75%). Pooled logistic models were used to estimate adjusted rate ratios (aRR) between time spent in LDA states and organ damage rate (assessed using the Systemic Lupus International Collaborating Clinics/American College of Rheumatology Damage Index (SDI)).</p><p><strong>Results: </strong>Overall, 1632 patients experienced 1246 organ damage events. Follow-up time (calculated from days of follow-up) totalled 9841.1 person-years. At baseline, the mean (SD) SLEDAI score was 2.8 (3.3) and the mean (SD) SDI score was 1.7 (1.9). Organ damage rates were lower in patients who achieved an LDA state versus those who did not. Rates decreased with increasing time spent in each LDA state. Even a small percentage of time (>0-<25% vs 0%) spent in an LDA state was associated with reduced damage (aRR (95% CI): LLDAS, 0.75 (0.61, 0.91); disease control, 0.80 (0.68, 0.93); clinical remission, 0.73 (0.60, 0.88); complete remission, 0.80 (0.68, 0.93)).</p><p><strong>Conclusions: </strong>Regardless of definition, achieving and maintaining a low disease activity state was associated with reduced organ damage in patients with SLE.</p>","PeriodicalId":18126,"journal":{"name":"Lupus Science & Medicine","volume":"11 2","pages":""},"PeriodicalIF":3.5000,"publicationDate":"2024-12-11","publicationTypes":"Journal Article","fieldsOfStudy":null,"isOpenAccess":false,"openAccessPdf":"https://www.ncbi.nlm.nih.gov/pmc/articles/PMC11647352/pdf/","citationCount":"0","resultStr":"{\"title\":\"Patients achieving low lupus disease activity state, systemic lupus erythematosus disease control or remission showed lower rates of organ damage during longitudinal follow-up: analysis of the Hopkins Lupus Cohort.\",\"authors\":\"Jacob Hunnicutt, Mary Elizabeth Georgiou, Anna Richards, Holly Quasny, Laurence Magder, Daniel Goldman, Michelle A Petri\",\"doi\":\"10.1136/lupus-2024-001206\",\"DOIUrl\":null,\"url\":null,\"abstract\":\"<p><strong>Objective: </strong>One key target of treating patients with systemic lupus erythematosus (SLE) is to prevent organ damage. This analysis quantified the association between time spent in four specific SLE low disease activity (LDA) states and organ damage rate.</p><p><strong>Methods: </strong>This retrospective real-world data analysis (GSK Study 207168), undertaken to help contextualise the BLISS-BELIEVE clinical trial, included adults with SLE enrolled for≥1 year in the Hopkins Lupus Cohort and treated with standard therapy in a specialist care centre between 1987 and 2019. LDA states (Lupus Low Disease Activity State (LLDAS), disease control, clinical and complete remissions) were defined using SLE Disease Activity Index (SLEDAI)/Physician Global Assessment scores, prednisone-equivalent dose and medication use criteria combinations. Time spent in each LDA state was expressed as a percentage of total follow-up (0%; >0-<25%; 25-49%; 50-74%; ≥75%). Pooled logistic models were used to estimate adjusted rate ratios (aRR) between time spent in LDA states and organ damage rate (assessed using the Systemic Lupus International Collaborating Clinics/American College of Rheumatology Damage Index (SDI)).</p><p><strong>Results: </strong>Overall, 1632 patients experienced 1246 organ damage events. Follow-up time (calculated from days of follow-up) totalled 9841.1 person-years. At baseline, the mean (SD) SLEDAI score was 2.8 (3.3) and the mean (SD) SDI score was 1.7 (1.9). Organ damage rates were lower in patients who achieved an LDA state versus those who did not. Rates decreased with increasing time spent in each LDA state. Even a small percentage of time (>0-<25% vs 0%) spent in an LDA state was associated with reduced damage (aRR (95% CI): LLDAS, 0.75 (0.61, 0.91); disease control, 0.80 (0.68, 0.93); clinical remission, 0.73 (0.60, 0.88); complete remission, 0.80 (0.68, 0.93)).</p><p><strong>Conclusions: </strong>Regardless of definition, achieving and maintaining a low disease activity state was associated with reduced organ damage in patients with SLE.</p>\",\"PeriodicalId\":18126,\"journal\":{\"name\":\"Lupus Science & Medicine\",\"volume\":\"11 2\",\"pages\":\"\"},\"PeriodicalIF\":3.5000,\"publicationDate\":\"2024-12-11\",\"publicationTypes\":\"Journal Article\",\"fieldsOfStudy\":null,\"isOpenAccess\":false,\"openAccessPdf\":\"https://www.ncbi.nlm.nih.gov/pmc/articles/PMC11647352/pdf/\",\"citationCount\":\"0\",\"resultStr\":null,\"platform\":\"Semanticscholar\",\"paperid\":null,\"PeriodicalName\":\"Lupus Science & Medicine\",\"FirstCategoryId\":\"3\",\"ListUrlMain\":\"https://doi.org/10.1136/lupus-2024-001206\",\"RegionNum\":2,\"RegionCategory\":\"医学\",\"ArticlePicture\":[],\"TitleCN\":null,\"AbstractTextCN\":null,\"PMCID\":null,\"EPubDate\":\"\",\"PubModel\":\"\",\"JCR\":\"Q1\",\"JCRName\":\"RHEUMATOLOGY\",\"Score\":null,\"Total\":0}","platform":"Semanticscholar","paperid":null,"PeriodicalName":"Lupus Science & Medicine","FirstCategoryId":"3","ListUrlMain":"https://doi.org/10.1136/lupus-2024-001206","RegionNum":2,"RegionCategory":"医学","ArticlePicture":[],"TitleCN":null,"AbstractTextCN":null,"PMCID":null,"EPubDate":"","PubModel":"","JCR":"Q1","JCRName":"RHEUMATOLOGY","Score":null,"Total":0}
引用次数: 0

摘要

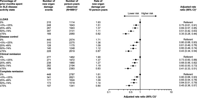
目的:预防系统性红斑狼疮(SLE)患者的器官损害是治疗的关键目标之一。该分析量化了四种特定SLE低疾病活动性(LDA)状态的时间与器官损害率之间的关系。方法:这项回顾性真实世界数据分析(GSK Study 207168)旨在帮助BLISS-BELIEVE临床试验的背景分析,纳入了1987年至2019年期间在霍普金斯狼疮队列中注册≥1年并在专科护理中心接受标准治疗的SLE成人患者。LDA状态(狼疮低疾病活动状态(LLDAS)、疾病控制、临床和完全缓解)通过SLE疾病活动指数(SLEDAI)/医师全球评估评分、泼尼松等效剂量和用药标准组合来定义。在每个LDA状态中花费的时间表示为总随访的百分比(0%;结果:总的来说,1632例患者经历了1246例器官损伤事件。随访时间(以随访天数计算)总计9841.1人年。基线时,平均(SD) SLEDAI评分为2.8(3.3),平均(SD) SDI评分为1.7(1.9)。与未达到LDA状态的患者相比,达到LDA状态的患者器官损伤率较低。在每个LDA状态中花费的时间越长,速率越低。结论:无论定义如何,达到并维持低疾病活动状态与SLE患者器官损害减少相关。
本文章由计算机程序翻译,如有差异,请以英文原文为准。

Patients achieving low lupus disease activity state, systemic lupus erythematosus disease control or remission showed lower rates of organ damage during longitudinal follow-up: analysis of the Hopkins Lupus Cohort.

Patients achieving low lupus disease activity state, systemic lupus erythematosus disease control or remission showed lower rates of organ damage during longitudinal follow-up: analysis of the Hopkins Lupus Cohort.

Patients achieving low lupus disease activity state, systemic lupus erythematosus disease control or remission showed lower rates of organ damage during longitudinal follow-up: analysis of the Hopkins Lupus Cohort.

Objective: One key target of treating patients with systemic lupus erythematosus (SLE) is to prevent organ damage. This analysis quantified the association between time spent in four specific SLE low disease activity (LDA) states and organ damage rate.

Methods: This retrospective real-world data analysis (GSK Study 207168), undertaken to help contextualise the BLISS-BELIEVE clinical trial, included adults with SLE enrolled for≥1 year in the Hopkins Lupus Cohort and treated with standard therapy in a specialist care centre between 1987 and 2019. LDA states (Lupus Low Disease Activity State (LLDAS), disease control, clinical and complete remissions) were defined using SLE Disease Activity Index (SLEDAI)/Physician Global Assessment scores, prednisone-equivalent dose and medication use criteria combinations. Time spent in each LDA state was expressed as a percentage of total follow-up (0%; >0-<25%; 25-49%; 50-74%; ≥75%). Pooled logistic models were used to estimate adjusted rate ratios (aRR) between time spent in LDA states and organ damage rate (assessed using the Systemic Lupus International Collaborating Clinics/American College of Rheumatology Damage Index (SDI)).

Results: Overall, 1632 patients experienced 1246 organ damage events. Follow-up time (calculated from days of follow-up) totalled 9841.1 person-years. At baseline, the mean (SD) SLEDAI score was 2.8 (3.3) and the mean (SD) SDI score was 1.7 (1.9). Organ damage rates were lower in patients who achieved an LDA state versus those who did not. Rates decreased with increasing time spent in each LDA state. Even a small percentage of time (>0-<25% vs 0%) spent in an LDA state was associated with reduced damage (aRR (95% CI): LLDAS, 0.75 (0.61, 0.91); disease control, 0.80 (0.68, 0.93); clinical remission, 0.73 (0.60, 0.88); complete remission, 0.80 (0.68, 0.93)).

Conclusions: Regardless of definition, achieving and maintaining a low disease activity state was associated with reduced organ damage in patients with SLE.

求助全文
通过发布文献求助,成功后即可免费获取论文全文。 去求助
来源期刊
Lupus Science & Medicine
Lupus Science & Medicine RHEUMATOLOGY-
CiteScore
5.30
自引率
7.70%
发文量
88
审稿时长
15 weeks
期刊介绍: Lupus Science & Medicine is a global, peer reviewed, open access online journal that provides a central point for publication of basic, clinical, translational, and epidemiological studies of all aspects of lupus and related diseases. It is the first lupus-specific open access journal in the world and was developed in response to the need for a barrier-free forum for publication of groundbreaking studies in lupus. The journal publishes research on lupus from fields including, but not limited to: rheumatology, dermatology, nephrology, immunology, pediatrics, cardiology, hepatology, pulmonology, obstetrics and gynecology, and psychiatry.
×
引用
GB/T 7714-2015
复制
MLA
复制
APA
复制
导出至
BibTeX EndNote RefMan NoteFirst NoteExpress
×
提示
您的信息不完整,为了账户安全,请先补充。
现在去补充
×
提示
您因"违规操作"
具体请查看互助需知
我知道了
×
提示
确定
请完成安全验证×
copy
已复制链接
快去分享给好友吧!
我知道了
右上角分享
点击右上角分享
0
联系我们:info@booksci.cn Book学术提供免费学术资源搜索服务,方便国内外学者检索中英文文献。致力于提供最便捷和优质的服务体验。 Copyright © 2023 布克学术 All rights reserved.
京ICP备2023020795号-1
ghs 京公网安备 11010802042870号
Book学术文献互助
Book学术文献互助群
群 号:604180095
Book学术官方微信