相位角作为维持性血液透析患者抑郁的指标。

IF 3.1 4区 医学 Q1 UROLOGY & NEPHROLOGY
Kidney Diseases Pub Date : 2024-09-23 eCollection Date: 2024-12-01 DOI:10.1159/000540683
Xin Li, Kun Zhang, Qi Guo, Wei Ding, Jianying Niu, Junli Zhao, Liming Zhang, Hualin Qi, Suhua Zhang, Chen Yu
{"title":"相位角作为维持性血液透析患者抑郁的指标。","authors":"Xin Li, Kun Zhang, Qi Guo, Wei Ding, Jianying Niu, Junli Zhao, Liming Zhang, Hualin Qi, Suhua Zhang, Chen Yu","doi":"10.1159/000540683","DOIUrl":null,"url":null,"abstract":"<p><strong>Introduction: </strong>Depression is a common psychiatric problem in maintenance hemodialysis (MHD) patients. Recent studies have begun to explore the relationship between body composition and depression. Phase angle (PhA), a core parameter for assessing body composition, has been observed to be associated with frailty and cognitive dysfunction. The aim of this study was to investigate the association between PhA and depression in MHD patients.</p><p><strong>Methods: </strong>This multicenter, cross-sectional study included 843 MHD patients from seven dialysis centers in Shanghai, China. Depressive symptoms were evaluated using the Patient Health Questionnaire (PHQ-9), with a score of ≥10 indicating depression. PhA was measured by bioelectrical impedance analysis. Nutritional status was assessed by malnutrition inflammation score (MIS). Multivariable logistic regression models were used to investigate the association between PhA and depression. Restricted cubic spline (RCS) analysis was utilized to examine the association. Receiver operating characteristic curve was used to identify the cut-off value of PhA for depression.</p><p><strong>Results: </strong>A total of 15.2% of patients (62.8% male, median age 66 years) had depression. Median PhA level (interquartile range) of depressed patients was 4.4° (3.9-4.9°) for males and 3.9° (3.2-4.7°) for females. There was a significant decrease in the prevalence of depression with increasing quartiles of PhA levels. In multivariable logistic regression analyses, after adjusting for age, sex, education level, spKt/V, dialysis vintage, Charlson comorbidity index, hemoglobin, and serum albumin, lower PhA levels (lowest quartile group) were significantly associated with depressive symptoms (adjusted odds ratio, 2.19; 95% confidence interval, 1.07 to 4.48), compared to higher PhA levels (highest quartile group). RCS analysis showed a relatively inverse linear association between PhA and depression. The optimal cut-off value of PhA for depression was 4.9° for males and 3.5° for females. Subgroup analyses validated the findings across patient characteristics, including age, sex, diabetes, education, and malnutrition.</p><p><strong>Conclusion: </strong>Our findings indicated an inverse association between PhA and depressive symptoms in Chinese MHD patients, suggesting that PhA could serve as a valuable indicator for assessing the risk of depression in this population. Further studies are needed to explore the potential of PhA as a prognostic tool and its implications for intervention strategies.</p>","PeriodicalId":17830,"journal":{"name":"Kidney Diseases","volume":"10 6","pages":"468-478"},"PeriodicalIF":3.1000,"publicationDate":"2024-09-23","publicationTypes":"Journal Article","fieldsOfStudy":null,"isOpenAccess":false,"openAccessPdf":"https://www.ncbi.nlm.nih.gov/pmc/articles/PMC11631039/pdf/","citationCount":"0","resultStr":"{\"title\":\"Phase Angle as an Indicator of Depression in Maintenance Hemodialysis Patients.\",\"authors\":\"Xin Li, Kun Zhang, Qi Guo, Wei Ding, Jianying Niu, Junli Zhao, Liming Zhang, Hualin Qi, Suhua Zhang, Chen Yu\",\"doi\":\"10.1159/000540683\",\"DOIUrl\":null,\"url\":null,\"abstract\":\"<p><strong>Introduction: </strong>Depression is a common psychiatric problem in maintenance hemodialysis (MHD) patients. Recent studies have begun to explore the relationship between body composition and depression. Phase angle (PhA), a core parameter for assessing body composition, has been observed to be associated with frailty and cognitive dysfunction. The aim of this study was to investigate the association between PhA and depression in MHD patients.</p><p><strong>Methods: </strong>This multicenter, cross-sectional study included 843 MHD patients from seven dialysis centers in Shanghai, China. Depressive symptoms were evaluated using the Patient Health Questionnaire (PHQ-9), with a score of ≥10 indicating depression. PhA was measured by bioelectrical impedance analysis. Nutritional status was assessed by malnutrition inflammation score (MIS). Multivariable logistic regression models were used to investigate the association between PhA and depression. Restricted cubic spline (RCS) analysis was utilized to examine the association. Receiver operating characteristic curve was used to identify the cut-off value of PhA for depression.</p><p><strong>Results: </strong>A total of 15.2% of patients (62.8% male, median age 66 years) had depression. Median PhA level (interquartile range) of depressed patients was 4.4° (3.9-4.9°) for males and 3.9° (3.2-4.7°) for females. There was a significant decrease in the prevalence of depression with increasing quartiles of PhA levels. In multivariable logistic regression analyses, after adjusting for age, sex, education level, spKt/V, dialysis vintage, Charlson comorbidity index, hemoglobin, and serum albumin, lower PhA levels (lowest quartile group) were significantly associated with depressive symptoms (adjusted odds ratio, 2.19; 95% confidence interval, 1.07 to 4.48), compared to higher PhA levels (highest quartile group). RCS analysis showed a relatively inverse linear association between PhA and depression. The optimal cut-off value of PhA for depression was 4.9° for males and 3.5° for females. Subgroup analyses validated the findings across patient characteristics, including age, sex, diabetes, education, and malnutrition.</p><p><strong>Conclusion: </strong>Our findings indicated an inverse association between PhA and depressive symptoms in Chinese MHD patients, suggesting that PhA could serve as a valuable indicator for assessing the risk of depression in this population. Further studies are needed to explore the potential of PhA as a prognostic tool and its implications for intervention strategies.</p>\",\"PeriodicalId\":17830,\"journal\":{\"name\":\"Kidney Diseases\",\"volume\":\"10 6\",\"pages\":\"468-478\"},\"PeriodicalIF\":3.1000,\"publicationDate\":\"2024-09-23\",\"publicationTypes\":\"Journal Article\",\"fieldsOfStudy\":null,\"isOpenAccess\":false,\"openAccessPdf\":\"https://www.ncbi.nlm.nih.gov/pmc/articles/PMC11631039/pdf/\",\"citationCount\":\"0\",\"resultStr\":null,\"platform\":\"Semanticscholar\",\"paperid\":null,\"PeriodicalName\":\"Kidney Diseases\",\"FirstCategoryId\":\"3\",\"ListUrlMain\":\"https://doi.org/10.1159/000540683\",\"RegionNum\":4,\"RegionCategory\":\"医学\",\"ArticlePicture\":[],\"TitleCN\":null,\"AbstractTextCN\":null,\"PMCID\":null,\"EPubDate\":\"2024/12/1 0:00:00\",\"PubModel\":\"eCollection\",\"JCR\":\"Q1\",\"JCRName\":\"UROLOGY & NEPHROLOGY\",\"Score\":null,\"Total\":0}","platform":"Semanticscholar","paperid":null,"PeriodicalName":"Kidney Diseases","FirstCategoryId":"3","ListUrlMain":"https://doi.org/10.1159/000540683","RegionNum":4,"RegionCategory":"医学","ArticlePicture":[],"TitleCN":null,"AbstractTextCN":null,"PMCID":null,"EPubDate":"2024/12/1 0:00:00","PubModel":"eCollection","JCR":"Q1","JCRName":"UROLOGY & NEPHROLOGY","Score":null,"Total":0}
引用次数: 0

摘要

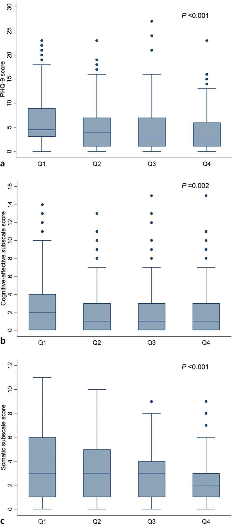
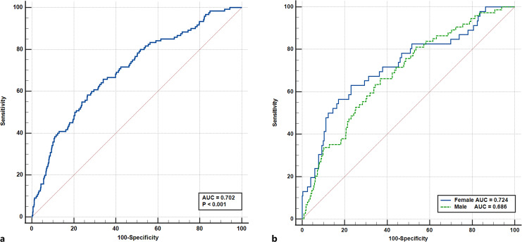
抑郁症是维持性血液透析(MHD)患者常见的精神问题。最近的研究已经开始探索身体成分和抑郁之间的关系。相位角(PhA)是评估身体成分的核心参数,已被观察到与虚弱和认知功能障碍有关。本研究的目的是探讨PhA与MHD患者抑郁之间的关系。方法:这项多中心横断面研究包括来自中国上海7个透析中心的843例MHD患者。采用患者健康问卷(PHQ-9)评估抑郁症状,得分≥10分为抑郁。采用生物电阻抗法测定PhA。采用营养不良炎症评分(MIS)评价营养状况。采用多变量logistic回归模型研究PhA与抑郁症之间的关系。采用限制性三次样条(RCS)分析来检验相关性。采用受试者工作特征曲线确定抑郁症PhA的临界值。结果:15.2%的患者(62.8%为男性,中位年龄66岁)存在抑郁症。抑郁症患者PhA水平中位数(四分位数范围)男性为4.4°(3.9-4.9°),女性为3.9°(3.2-4.7°)。随着PhA水平的增加,抑郁症的患病率显著降低。在多变量logistic回归分析中,在校正了年龄、性别、教育水平、spKt/V、透析时间、Charlson合病指数、血红蛋白和血清白蛋白后,PhA水平较低(最低四分位数组)与抑郁症状显著相关(校正优势比2.19;95%置信区间,1.07至4.48),与较高PhA水平(最高四分位数组)相比。RCS分析显示PhA与抑郁症呈相对负线性相关。抑郁症的PhA最佳临界值男性为4.9°,女性为3.5°。亚组分析验证了不同患者特征的结果,包括年龄、性别、糖尿病、教育程度和营养不良。结论:我们的研究结果表明,PhA与中国MHD患者抑郁症状呈负相关,提示PhA可以作为评估该人群抑郁风险的有价值指标。需要进一步的研究来探索PhA作为预后工具的潜力及其对干预策略的影响。
本文章由计算机程序翻译,如有差异,请以英文原文为准。

Phase Angle as an Indicator of Depression in Maintenance Hemodialysis Patients.

Phase Angle as an Indicator of Depression in Maintenance Hemodialysis Patients.

Phase Angle as an Indicator of Depression in Maintenance Hemodialysis Patients.

Phase Angle as an Indicator of Depression in Maintenance Hemodialysis Patients.

Introduction: Depression is a common psychiatric problem in maintenance hemodialysis (MHD) patients. Recent studies have begun to explore the relationship between body composition and depression. Phase angle (PhA), a core parameter for assessing body composition, has been observed to be associated with frailty and cognitive dysfunction. The aim of this study was to investigate the association between PhA and depression in MHD patients.

Methods: This multicenter, cross-sectional study included 843 MHD patients from seven dialysis centers in Shanghai, China. Depressive symptoms were evaluated using the Patient Health Questionnaire (PHQ-9), with a score of ≥10 indicating depression. PhA was measured by bioelectrical impedance analysis. Nutritional status was assessed by malnutrition inflammation score (MIS). Multivariable logistic regression models were used to investigate the association between PhA and depression. Restricted cubic spline (RCS) analysis was utilized to examine the association. Receiver operating characteristic curve was used to identify the cut-off value of PhA for depression.

Results: A total of 15.2% of patients (62.8% male, median age 66 years) had depression. Median PhA level (interquartile range) of depressed patients was 4.4° (3.9-4.9°) for males and 3.9° (3.2-4.7°) for females. There was a significant decrease in the prevalence of depression with increasing quartiles of PhA levels. In multivariable logistic regression analyses, after adjusting for age, sex, education level, spKt/V, dialysis vintage, Charlson comorbidity index, hemoglobin, and serum albumin, lower PhA levels (lowest quartile group) were significantly associated with depressive symptoms (adjusted odds ratio, 2.19; 95% confidence interval, 1.07 to 4.48), compared to higher PhA levels (highest quartile group). RCS analysis showed a relatively inverse linear association between PhA and depression. The optimal cut-off value of PhA for depression was 4.9° for males and 3.5° for females. Subgroup analyses validated the findings across patient characteristics, including age, sex, diabetes, education, and malnutrition.

Conclusion: Our findings indicated an inverse association between PhA and depressive symptoms in Chinese MHD patients, suggesting that PhA could serve as a valuable indicator for assessing the risk of depression in this population. Further studies are needed to explore the potential of PhA as a prognostic tool and its implications for intervention strategies.

求助全文
通过发布文献求助,成功后即可免费获取论文全文。 去求助
来源期刊
Kidney Diseases
Kidney Diseases UROLOGY & NEPHROLOGY-
CiteScore
6.00
自引率
2.70%
发文量
33
审稿时长
27 weeks
期刊介绍: ''Kidney Diseases'' aims to provide a platform for Asian and Western research to further and support communication and exchange of knowledge. Review articles cover the most recent clinical and basic science relevant to the entire field of nephrological disorders, including glomerular diseases, acute and chronic kidney injury, tubulo-interstitial disease, hypertension and metabolism-related disorders, end-stage renal disease, and genetic kidney disease. Special articles are prepared by two authors, one from East and one from West, which compare genetics, epidemiology, diagnosis methods, and treatment options of a disease.
×
引用
GB/T 7714-2015
复制
MLA
复制
APA
复制
导出至
BibTeX EndNote RefMan NoteFirst NoteExpress
×
提示
您的信息不完整,为了账户安全,请先补充。
现在去补充
×
提示
您因"违规操作"
具体请查看互助需知
我知道了
×
提示
确定
请完成安全验证×
copy
已复制链接
快去分享给好友吧!
我知道了
右上角分享
点击右上角分享
0
联系我们:info@booksci.cn Book学术提供免费学术资源搜索服务,方便国内外学者检索中英文文献。致力于提供最便捷和优质的服务体验。 Copyright © 2023 布克学术 All rights reserved.
京ICP备2023020795号-1
ghs 京公网安备 11010802042870号
Book学术文献互助
Book学术文献互助群
群 号:604180095
Book学术官方微信