中度至重度ARDS轻度镇静患者通过头盔接口进行CPAP: ICU外成功的预测因素

IF 3 4区 医学 Q2 RESPIRATORY SYSTEM
Jornal Brasileiro De Pneumologia Pub Date : 2024-12-06 eCollection Date: 2024-01-01 DOI:10.36416/1806-3756/e20240299
Isabella de Melo Matos, Betina Santos Tomaz, Maria da Penha Uchoa Sales, Gabriela Carvalho Gomes, Antonio Brazil Viana Junior, Miguel R Gonçalves, Marcelo Alcantara Holanda, Eanes Delgado Barros Pereira
{"title":"中度至重度ARDS轻度镇静患者通过头盔接口进行CPAP: ICU外成功的预测因素","authors":"Isabella de Melo Matos, Betina Santos Tomaz, Maria da Penha Uchoa Sales, Gabriela Carvalho Gomes, Antonio Brazil Viana Junior, Miguel R Gonçalves, Marcelo Alcantara Holanda, Eanes Delgado Barros Pereira","doi":"10.36416/1806-3756/e20240299","DOIUrl":null,"url":null,"abstract":"<p><strong>Objective: </strong>This study aimed to describe the outcomes and explore predictors of intubation and mortality in patients with ARDS due to COVID-19 treated with CPAP delivered via a helmet interface and light sedation.</p><p><strong>Methods: </strong>This was a retrospective cohort study involving patients with COVID-19-related ARDS who received CPAP using a helmet developed in Brazil (ELMO™), associated with a light sedation protocol in a pulmonology ward. Demographic, clinical, imaging, and laboratory data, as well as the duration and response to the ELMO-CPAP sessions, were analyzed.</p><p><strong>Results: </strong>The sample comprised 180 patients. The intubation avoidance rate was 72.8%. The lack of necessity for intubation was positively correlated with younger age, > 24-h continuous HELMET-CPAP use in the first session, < 75% pulmonary involvement on CT, and ROX index > 4.88 in the second hour. The overall in-hospital mortality rate was 18.9%, whereas those in the nonintubated and intubated groups were 3.0% and 61.2%, respectively. Advanced age increased the mortality risk by 2.8 times, escalating to 13 times post-intubation.</p><p><strong>Conclusions: </strong>ELMO-CPAP with light sedation in a pulmonology ward was successful in > 70% of patients with moderate to severe ARDS due to COVID-19. Younger age, pulmonary involvement, ROX index, and prolonged first Helmet-CPAP session duration were associated with no need for intubation. Older age and intubation are associated with mortality.</p>","PeriodicalId":14845,"journal":{"name":"Jornal Brasileiro De Pneumologia","volume":"50 5","pages":"e20240299"},"PeriodicalIF":3.0000,"publicationDate":"2024-12-06","publicationTypes":"Journal Article","fieldsOfStudy":null,"isOpenAccess":false,"openAccessPdf":"https://www.ncbi.nlm.nih.gov/pmc/articles/PMC11601069/pdf/","citationCount":"0","resultStr":"{\"title\":\"CPAP delivered via a helmet interface in lightly sedated patients with moderate to severe ARDS: predictors of success outside the ICU.\",\"authors\":\"Isabella de Melo Matos, Betina Santos Tomaz, Maria da Penha Uchoa Sales, Gabriela Carvalho Gomes, Antonio Brazil Viana Junior, Miguel R Gonçalves, Marcelo Alcantara Holanda, Eanes Delgado Barros Pereira\",\"doi\":\"10.36416/1806-3756/e20240299\",\"DOIUrl\":null,\"url\":null,\"abstract\":\"<p><strong>Objective: </strong>This study aimed to describe the outcomes and explore predictors of intubation and mortality in patients with ARDS due to COVID-19 treated with CPAP delivered via a helmet interface and light sedation.</p><p><strong>Methods: </strong>This was a retrospective cohort study involving patients with COVID-19-related ARDS who received CPAP using a helmet developed in Brazil (ELMO™), associated with a light sedation protocol in a pulmonology ward. Demographic, clinical, imaging, and laboratory data, as well as the duration and response to the ELMO-CPAP sessions, were analyzed.</p><p><strong>Results: </strong>The sample comprised 180 patients. The intubation avoidance rate was 72.8%. The lack of necessity for intubation was positively correlated with younger age, > 24-h continuous HELMET-CPAP use in the first session, < 75% pulmonary involvement on CT, and ROX index > 4.88 in the second hour. The overall in-hospital mortality rate was 18.9%, whereas those in the nonintubated and intubated groups were 3.0% and 61.2%, respectively. Advanced age increased the mortality risk by 2.8 times, escalating to 13 times post-intubation.</p><p><strong>Conclusions: </strong>ELMO-CPAP with light sedation in a pulmonology ward was successful in > 70% of patients with moderate to severe ARDS due to COVID-19. Younger age, pulmonary involvement, ROX index, and prolonged first Helmet-CPAP session duration were associated with no need for intubation. Older age and intubation are associated with mortality.</p>\",\"PeriodicalId\":14845,\"journal\":{\"name\":\"Jornal Brasileiro De Pneumologia\",\"volume\":\"50 5\",\"pages\":\"e20240299\"},\"PeriodicalIF\":3.0000,\"publicationDate\":\"2024-12-06\",\"publicationTypes\":\"Journal Article\",\"fieldsOfStudy\":null,\"isOpenAccess\":false,\"openAccessPdf\":\"https://www.ncbi.nlm.nih.gov/pmc/articles/PMC11601069/pdf/\",\"citationCount\":\"0\",\"resultStr\":null,\"platform\":\"Semanticscholar\",\"paperid\":null,\"PeriodicalName\":\"Jornal Brasileiro De Pneumologia\",\"FirstCategoryId\":\"3\",\"ListUrlMain\":\"https://doi.org/10.36416/1806-3756/e20240299\",\"RegionNum\":4,\"RegionCategory\":\"医学\",\"ArticlePicture\":[],\"TitleCN\":null,\"AbstractTextCN\":null,\"PMCID\":null,\"EPubDate\":\"2024/1/1 0:00:00\",\"PubModel\":\"eCollection\",\"JCR\":\"Q2\",\"JCRName\":\"RESPIRATORY SYSTEM\",\"Score\":null,\"Total\":0}","platform":"Semanticscholar","paperid":null,"PeriodicalName":"Jornal Brasileiro De Pneumologia","FirstCategoryId":"3","ListUrlMain":"https://doi.org/10.36416/1806-3756/e20240299","RegionNum":4,"RegionCategory":"医学","ArticlePicture":[],"TitleCN":null,"AbstractTextCN":null,"PMCID":null,"EPubDate":"2024/1/1 0:00:00","PubModel":"eCollection","JCR":"Q2","JCRName":"RESPIRATORY SYSTEM","Score":null,"Total":0}
引用次数: 0

摘要

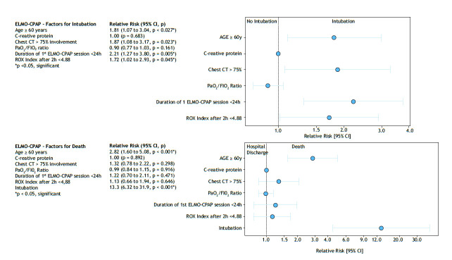
目的:本研究旨在描述经头盔接口和轻度镇静给予CPAP治疗的COVID-19所致ARDS患者的结局,并探讨插管和死亡率的预测因素。方法:这是一项回顾性队列研究,涉及使用巴西开发的头盔(ELMO™)接受CPAP治疗的covid -19相关ARDS患者,并在肺科病房进行轻度镇静治疗。分析了人口统计学、临床、影像学和实验室数据,以及ELMO-CPAP疗程的持续时间和反应。结果:共纳入180例患者。避免插管率为72.8%。不需要插管与年龄更小、第一次连续使用头盔- cpap 24小时、CT上肺部受累< 75%、第二小时ROX指数> 4.88呈正相关。总体住院死亡率为18.9%,而非插管组和插管组的住院死亡率分别为3.0%和61.2%。高龄患者的死亡风险增加2.8倍,插管后增加到13倍。结论:肺科病房ELMO-CPAP轻镇静治疗中~重度COVID-19急性呼吸窘迫综合征患者成功率为70%。年龄较小、肺部受累、ROX指数和首次头盔- cpap持续时间延长与不需要插管相关。老年和插管与死亡率有关。
本文章由计算机程序翻译,如有差异,请以英文原文为准。

CPAP delivered via a helmet interface in lightly sedated patients with moderate to severe ARDS: predictors of success outside the ICU.

CPAP delivered via a helmet interface in lightly sedated patients with moderate to severe ARDS: predictors of success outside the ICU.

CPAP delivered via a helmet interface in lightly sedated patients with moderate to severe ARDS: predictors of success outside the ICU.

Objective: This study aimed to describe the outcomes and explore predictors of intubation and mortality in patients with ARDS due to COVID-19 treated with CPAP delivered via a helmet interface and light sedation.

Methods: This was a retrospective cohort study involving patients with COVID-19-related ARDS who received CPAP using a helmet developed in Brazil (ELMO™), associated with a light sedation protocol in a pulmonology ward. Demographic, clinical, imaging, and laboratory data, as well as the duration and response to the ELMO-CPAP sessions, were analyzed.

Results: The sample comprised 180 patients. The intubation avoidance rate was 72.8%. The lack of necessity for intubation was positively correlated with younger age, > 24-h continuous HELMET-CPAP use in the first session, < 75% pulmonary involvement on CT, and ROX index > 4.88 in the second hour. The overall in-hospital mortality rate was 18.9%, whereas those in the nonintubated and intubated groups were 3.0% and 61.2%, respectively. Advanced age increased the mortality risk by 2.8 times, escalating to 13 times post-intubation.

Conclusions: ELMO-CPAP with light sedation in a pulmonology ward was successful in > 70% of patients with moderate to severe ARDS due to COVID-19. Younger age, pulmonary involvement, ROX index, and prolonged first Helmet-CPAP session duration were associated with no need for intubation. Older age and intubation are associated with mortality.

求助全文
通过发布文献求助,成功后即可免费获取论文全文。 去求助
来源期刊
Jornal Brasileiro De Pneumologia
Jornal Brasileiro De Pneumologia RESPIRATORY SYSTEM-
CiteScore
3.50
自引率
14.80%
发文量
118
审稿时长
20 weeks
期刊介绍: The Brazilian Journal of Pulmonology publishes scientific articles that contribute to the improvement of knowledge in the field of the lung diseases and related areas.
×
引用
GB/T 7714-2015
复制
MLA
复制
APA
复制
导出至
BibTeX EndNote RefMan NoteFirst NoteExpress
×
提示
您的信息不完整,为了账户安全,请先补充。
现在去补充
×
提示
您因"违规操作"
具体请查看互助需知
我知道了
×
提示
确定
请完成安全验证×
copy
已复制链接
快去分享给好友吧!
我知道了
右上角分享
点击右上角分享
0
联系我们:info@booksci.cn Book学术提供免费学术资源搜索服务,方便国内外学者检索中英文文献。致力于提供最便捷和优质的服务体验。 Copyright © 2023 布克学术 All rights reserved.
京ICP备2023020795号-1
ghs 京公网安备 11010802042870号
Book学术文献互助
Book学术文献互助群
群 号:604180095
Book学术官方微信