COVID-19术后患者运动康复:不同训练方式的随机对照试验

IF 3.4 3区 医学 Q1 REHABILITATION
Johanna Sick, Verena Steinbacher, Daniel Kotnik, Florian König, Tim Recking, Dominik Bengsch, Daniel König
{"title":"COVID-19术后患者运动康复:不同训练方式的随机对照试验","authors":"Johanna Sick, Verena Steinbacher, Daniel Kotnik, Florian König, Tim Recking, Dominik Bengsch, Daniel König","doi":"10.23736/S1973-9087.24.08487-9","DOIUrl":null,"url":null,"abstract":"<p><strong>Background: </strong>Long-lasting symptoms (>12 weeks) following a COVID-19 infection are defined as the post-COVID-19 syndrome (PCS), often manifesting as fatigue and reduced exercise capacity. Thus, exercise has been suggested as a non-pharmacological therapy.</p><p><strong>Aim: </strong>To investigate the effects of endurance vs. concurrent exercise on physical function, symptoms and quality of life in individuals with PCS, that did not need hospital admission during acute COVID-19.</p><p><strong>Design: </strong>Parallel-group, single-center, randomized controlled trial.</p><p><strong>Setting: </strong>This study was conducted at the University of Vienna.</p><p><strong>Population: </strong>Adult individuals with a SARS-CoV-2 infection at least 12 weeks prior to enrollment who reported at least one symptom specific to PCS and did not experience post-exertional malaise.</p><p><strong>Methods: </strong>Participants were randomized to either 12 weeks of supervised endurance training (ED) or concurrent training (CT), or a non-exercising control group (C). As the primary outcome, VO<inf>2</inf>peak was assessed pre and post intervention. Secondary outcomes were handgrip and lower body strength, heart rate variability, symptoms, health-related quality of life (HRQoL) and concentration performance. The main effects for time and group as well as the time*group interaction were assessed via a 2x2 analysis of variance. Additionally, within-group pre-post testing was performed.</p><p><strong>Results: </strong>Taking the study protocol into account, 42 subjects could be included in the analysis (N.=14 in each group). A significant time*group interaction favoring both exercise conditions was found for VO<inf>2</inf>peak (partial Eta<sup>2</sup>=0.267; ED: +3.9 mL/min/kg; CT: +3.2 mL/min/kg). The Fatigue Severity Score significantly decreased in ED (Hedges' g=0.63) and CT (Hedges' g=0.82) from pre to post, but not in C. Breathlessness and lower body strength improved most in CT. Significant within-group improvements in HRQoL and the number of PCS symptoms occurred in all groups.</p><p><strong>Conclusions: </strong>Both exercise regimes led to increases in VO<inf>2</inf>peak and lower fatigue scores in subjects with PCS. Improvements in HRQoL occurred in all groups, however more pronounced after the exercise interventions. No definite conclusion about the superiority of either training modality can be drawn.</p><p><strong>Clinical rehabilitation impact: </strong>The results show that in this population both exercise regimes are feasible and safe and lead to improvements in various health domains.</p>","PeriodicalId":12044,"journal":{"name":"European journal of physical and rehabilitation medicine","volume":" ","pages":"130-140"},"PeriodicalIF":3.4000,"publicationDate":"2025-02-01","publicationTypes":"Journal Article","fieldsOfStudy":null,"isOpenAccess":false,"openAccessPdf":"https://www.ncbi.nlm.nih.gov/pmc/articles/PMC11922198/pdf/","citationCount":"0","resultStr":"{\"title\":\"Exercise rehabilitation in post COVID-19 patients: a randomized controlled trial of different training modalities.\",\"authors\":\"Johanna Sick, Verena Steinbacher, Daniel Kotnik, Florian König, Tim Recking, Dominik Bengsch, Daniel König\",\"doi\":\"10.23736/S1973-9087.24.08487-9\",\"DOIUrl\":null,\"url\":null,\"abstract\":\"<p><strong>Background: </strong>Long-lasting symptoms (>12 weeks) following a COVID-19 infection are defined as the post-COVID-19 syndrome (PCS), often manifesting as fatigue and reduced exercise capacity. Thus, exercise has been suggested as a non-pharmacological therapy.</p><p><strong>Aim: </strong>To investigate the effects of endurance vs. concurrent exercise on physical function, symptoms and quality of life in individuals with PCS, that did not need hospital admission during acute COVID-19.</p><p><strong>Design: </strong>Parallel-group, single-center, randomized controlled trial.</p><p><strong>Setting: </strong>This study was conducted at the University of Vienna.</p><p><strong>Population: </strong>Adult individuals with a SARS-CoV-2 infection at least 12 weeks prior to enrollment who reported at least one symptom specific to PCS and did not experience post-exertional malaise.</p><p><strong>Methods: </strong>Participants were randomized to either 12 weeks of supervised endurance training (ED) or concurrent training (CT), or a non-exercising control group (C). As the primary outcome, VO<inf>2</inf>peak was assessed pre and post intervention. Secondary outcomes were handgrip and lower body strength, heart rate variability, symptoms, health-related quality of life (HRQoL) and concentration performance. The main effects for time and group as well as the time*group interaction were assessed via a 2x2 analysis of variance. Additionally, within-group pre-post testing was performed.</p><p><strong>Results: </strong>Taking the study protocol into account, 42 subjects could be included in the analysis (N.=14 in each group). A significant time*group interaction favoring both exercise conditions was found for VO<inf>2</inf>peak (partial Eta<sup>2</sup>=0.267; ED: +3.9 mL/min/kg; CT: +3.2 mL/min/kg). The Fatigue Severity Score significantly decreased in ED (Hedges' g=0.63) and CT (Hedges' g=0.82) from pre to post, but not in C. Breathlessness and lower body strength improved most in CT. Significant within-group improvements in HRQoL and the number of PCS symptoms occurred in all groups.</p><p><strong>Conclusions: </strong>Both exercise regimes led to increases in VO<inf>2</inf>peak and lower fatigue scores in subjects with PCS. Improvements in HRQoL occurred in all groups, however more pronounced after the exercise interventions. No definite conclusion about the superiority of either training modality can be drawn.</p><p><strong>Clinical rehabilitation impact: </strong>The results show that in this population both exercise regimes are feasible and safe and lead to improvements in various health domains.</p>\",\"PeriodicalId\":12044,\"journal\":{\"name\":\"European journal of physical and rehabilitation medicine\",\"volume\":\" \",\"pages\":\"130-140\"},\"PeriodicalIF\":3.4000,\"publicationDate\":\"2025-02-01\",\"publicationTypes\":\"Journal Article\",\"fieldsOfStudy\":null,\"isOpenAccess\":false,\"openAccessPdf\":\"https://www.ncbi.nlm.nih.gov/pmc/articles/PMC11922198/pdf/\",\"citationCount\":\"0\",\"resultStr\":null,\"platform\":\"Semanticscholar\",\"paperid\":null,\"PeriodicalName\":\"European journal of physical and rehabilitation medicine\",\"FirstCategoryId\":\"3\",\"ListUrlMain\":\"https://doi.org/10.23736/S1973-9087.24.08487-9\",\"RegionNum\":3,\"RegionCategory\":\"医学\",\"ArticlePicture\":[],\"TitleCN\":null,\"AbstractTextCN\":null,\"PMCID\":null,\"EPubDate\":\"2024/12/12 0:00:00\",\"PubModel\":\"Epub\",\"JCR\":\"Q1\",\"JCRName\":\"REHABILITATION\",\"Score\":null,\"Total\":0}","platform":"Semanticscholar","paperid":null,"PeriodicalName":"European journal of physical and rehabilitation medicine","FirstCategoryId":"3","ListUrlMain":"https://doi.org/10.23736/S1973-9087.24.08487-9","RegionNum":3,"RegionCategory":"医学","ArticlePicture":[],"TitleCN":null,"AbstractTextCN":null,"PMCID":null,"EPubDate":"2024/12/12 0:00:00","PubModel":"Epub","JCR":"Q1","JCRName":"REHABILITATION","Score":null,"Total":0}
引用次数: 0

摘要

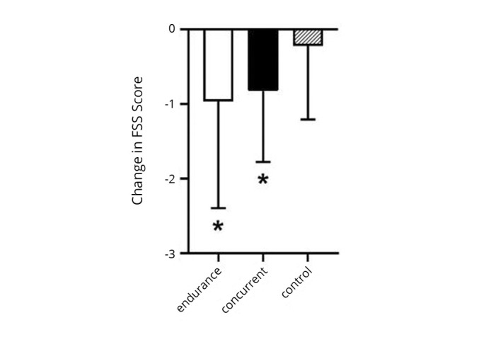
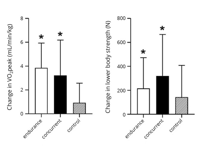
背景:COVID-19感染后的长期症状(12周以上)被定义为COVID-19后综合征(PCS),通常表现为疲劳和运动能力下降。因此,运动被认为是一种非药物治疗方法。目的:探讨耐力与同步运动对COVID-19急性期不需要住院的PCS患者身体功能、症状和生活质量的影响。设计:平行组、单中心、随机对照试验。背景:本研究在维也纳大学进行。人群:在入组前至少12周患有SARS-CoV-2感染的成年人,报告至少有一种PCS特有的症状,并且没有出现运动后不适。方法:参与者被随机分配到12周的监督耐力训练(ED)或并行训练(CT)组,或不运动对照组(C)。作为主要终点,在干预前后评估VO2peak。次要结局是握力和下肢力量、心率变异性、症状、健康相关生活质量(HRQoL)和注意力表现。通过2x2方差分析评估时间和组以及时间*组相互作用的主要影响。此外,还进行了组内前后测试。结果:考虑到研究方案,42名受试者被纳入分析,每组n =14人。两种运动条件下的vo2峰均存在显著的时间*组交互作用(偏Eta2=0.267;ED: +3.9 mL/min/kg;CT: +3.2 mL/min/kg)。ED组(Hedges' g=0.63)和CT组(Hedges' g=0.82)的疲劳严重程度评分从治疗前到治疗后显著降低,而c组则没有,CT组呼吸困难和下肢力量改善最多。所有组的HRQoL和PCS症状数量均有组内显著改善。结论:两种运动方式均能提高PCS患者的vo2峰值,降低疲劳评分。所有组的HRQoL均有改善,但在运动干预后更为明显。对于这两种训练方式孰优孰优,目前还没有明确的结论。临床康复影响:结果表明,在这一人群中,两种锻炼方案都是可行和安全的,并导致各个健康领域的改善。
本文章由计算机程序翻译,如有差异,请以英文原文为准。

Exercise rehabilitation in post COVID-19 patients: a randomized controlled trial of different training modalities.

Exercise rehabilitation in post COVID-19 patients: a randomized controlled trial of different training modalities.

Exercise rehabilitation in post COVID-19 patients: a randomized controlled trial of different training modalities.

Exercise rehabilitation in post COVID-19 patients: a randomized controlled trial of different training modalities.

Background: Long-lasting symptoms (>12 weeks) following a COVID-19 infection are defined as the post-COVID-19 syndrome (PCS), often manifesting as fatigue and reduced exercise capacity. Thus, exercise has been suggested as a non-pharmacological therapy.

Aim: To investigate the effects of endurance vs. concurrent exercise on physical function, symptoms and quality of life in individuals with PCS, that did not need hospital admission during acute COVID-19.

Design: Parallel-group, single-center, randomized controlled trial.

Setting: This study was conducted at the University of Vienna.

Population: Adult individuals with a SARS-CoV-2 infection at least 12 weeks prior to enrollment who reported at least one symptom specific to PCS and did not experience post-exertional malaise.

Methods: Participants were randomized to either 12 weeks of supervised endurance training (ED) or concurrent training (CT), or a non-exercising control group (C). As the primary outcome, VO2peak was assessed pre and post intervention. Secondary outcomes were handgrip and lower body strength, heart rate variability, symptoms, health-related quality of life (HRQoL) and concentration performance. The main effects for time and group as well as the time*group interaction were assessed via a 2x2 analysis of variance. Additionally, within-group pre-post testing was performed.

Results: Taking the study protocol into account, 42 subjects could be included in the analysis (N.=14 in each group). A significant time*group interaction favoring both exercise conditions was found for VO2peak (partial Eta2=0.267; ED: +3.9 mL/min/kg; CT: +3.2 mL/min/kg). The Fatigue Severity Score significantly decreased in ED (Hedges' g=0.63) and CT (Hedges' g=0.82) from pre to post, but not in C. Breathlessness and lower body strength improved most in CT. Significant within-group improvements in HRQoL and the number of PCS symptoms occurred in all groups.

Conclusions: Both exercise regimes led to increases in VO2peak and lower fatigue scores in subjects with PCS. Improvements in HRQoL occurred in all groups, however more pronounced after the exercise interventions. No definite conclusion about the superiority of either training modality can be drawn.

Clinical rehabilitation impact: The results show that in this population both exercise regimes are feasible and safe and lead to improvements in various health domains.

求助全文
通过发布文献求助,成功后即可免费获取论文全文。 去求助
来源期刊
CiteScore
8.50
自引率
4.40%
发文量
162
审稿时长
6-12 weeks
期刊介绍: The European Journal of Physical and Rehabilitation Medicine publishes papers of clinical interest in physical and rehabilitation medicine.
×
引用
GB/T 7714-2015
复制
MLA
复制
APA
复制
导出至
BibTeX EndNote RefMan NoteFirst NoteExpress
×
提示
您的信息不完整,为了账户安全,请先补充。
现在去补充
×
提示
您因"违规操作"
具体请查看互助需知
我知道了
×
提示
确定
请完成安全验证×
copy
已复制链接
快去分享给好友吧!
我知道了
右上角分享
点击右上角分享
0
联系我们:info@booksci.cn Book学术提供免费学术资源搜索服务,方便国内外学者检索中英文文献。致力于提供最便捷和优质的服务体验。 Copyright © 2023 布克学术 All rights reserved.
京ICP备2023020795号-1
ghs 京公网安备 11010802042870号
Book学术文献互助
Book学术文献互助群
群 号:604180095
Book学术官方微信