立体定向放射手术/立体定向全身放射治疗和全身治疗治疗颅内与颅外少转移患者的生存和复发模式

IF 2.1
BJR open Pub Date : 2024-11-27 eCollection Date: 2024-01-01 DOI:10.1093/bjro/tzae042
Anil Kumar Anand, Neha Kakkar, Vivek Immanuel, Jyoti Pannu, Amal Roy Chaudhoory, Heigrujam Malhotra, Tarun Kumar
{"title":"立体定向放射手术/立体定向全身放射治疗和全身治疗治疗颅内与颅外少转移患者的生存和复发模式","authors":"Anil Kumar Anand, Neha Kakkar, Vivek Immanuel, Jyoti Pannu, Amal Roy Chaudhoory, Heigrujam Malhotra, Tarun Kumar","doi":"10.1093/bjro/tzae042","DOIUrl":null,"url":null,"abstract":"<p><strong>Objectives: </strong>To evaluate the outcome of patients with cranial (C) and extra-cranial (EC) oligometastases treated with stereotactic radiosurgery (SRS)/stereotactic body radiotherapy (SBRT) and standard of care systemic therapy.</p><p><strong>Methods: </strong>During the period 2018-2022, patients who received SBRT or SRS for oligometastases (≤5 lesions) in addition to systemic therapy were evaluated. PET-CT was done to categorize them as C or EC oligometastases. Local control, distant progression, progression-free survival (PFS), overall survival (OS), and toxicity of the treatment were recorded.</p><p><strong>Results: </strong>43 patients received SBRT/SRS to 88 oligometastatic lesions. Eighteen patients had C metastases, 23 had EC metastases and 2 patients had both. 40/43 patients had received systemic therapy. At a median follow-up of 13 months, median PFS was 14 months and 1 and 2 years OS was 83.2% and 67.4%. Local control with SRS was 92.8% and with SBRT was 86.3%. Distant failure in C vs EC oligometastases was seen in 12/14 vs 7/20 patients (<i>P</i> = 0.03). Median PFS was 30 months for EC and 6 months for C oligometastases (<i>P</i> = 0.003). 1 and 2 years OS was 89.6% and 82.7% for EC and 77.6% and 48.5% for C oligometastases (<i>P</i> = 0.21). One patient had grade 3 and 3 patients had grade 1 toxicity.</p><p><strong>Conclusions: </strong>SRS and SBRT yielded high rates of local control with low toxicity. Compared to EC, patients with C oligometastases had higher distant relapses, poorer PFS, and a trend towards worse survival. More studies with separate enrolment of patients with C and EC oligometastases are needed.</p><p><strong>Advances in knowledge: </strong>Outcome of patients with C oligometastases is poorer than EC metastases and hence the studies should be separately done in these 2 groups to assess the benefit of SRS/SBRT.</p>","PeriodicalId":72419,"journal":{"name":"BJR open","volume":"6 1","pages":"tzae042"},"PeriodicalIF":2.1000,"publicationDate":"2024-11-27","publicationTypes":"Journal Article","fieldsOfStudy":null,"isOpenAccess":false,"openAccessPdf":"https://www.ncbi.nlm.nih.gov/pmc/articles/PMC11630083/pdf/","citationCount":"0","resultStr":"{\"title\":\"Survival and relapse patterns in patients of cranial vs extra-cranial oligometastases treated with stereotactic radiosurgery/stereotactic body radiation therapy and systemic therapy.\",\"authors\":\"Anil Kumar Anand, Neha Kakkar, Vivek Immanuel, Jyoti Pannu, Amal Roy Chaudhoory, Heigrujam Malhotra, Tarun Kumar\",\"doi\":\"10.1093/bjro/tzae042\",\"DOIUrl\":null,\"url\":null,\"abstract\":\"<p><strong>Objectives: </strong>To evaluate the outcome of patients with cranial (C) and extra-cranial (EC) oligometastases treated with stereotactic radiosurgery (SRS)/stereotactic body radiotherapy (SBRT) and standard of care systemic therapy.</p><p><strong>Methods: </strong>During the period 2018-2022, patients who received SBRT or SRS for oligometastases (≤5 lesions) in addition to systemic therapy were evaluated. PET-CT was done to categorize them as C or EC oligometastases. Local control, distant progression, progression-free survival (PFS), overall survival (OS), and toxicity of the treatment were recorded.</p><p><strong>Results: </strong>43 patients received SBRT/SRS to 88 oligometastatic lesions. Eighteen patients had C metastases, 23 had EC metastases and 2 patients had both. 40/43 patients had received systemic therapy. At a median follow-up of 13 months, median PFS was 14 months and 1 and 2 years OS was 83.2% and 67.4%. Local control with SRS was 92.8% and with SBRT was 86.3%. Distant failure in C vs EC oligometastases was seen in 12/14 vs 7/20 patients (<i>P</i> = 0.03). Median PFS was 30 months for EC and 6 months for C oligometastases (<i>P</i> = 0.003). 1 and 2 years OS was 89.6% and 82.7% for EC and 77.6% and 48.5% for C oligometastases (<i>P</i> = 0.21). One patient had grade 3 and 3 patients had grade 1 toxicity.</p><p><strong>Conclusions: </strong>SRS and SBRT yielded high rates of local control with low toxicity. Compared to EC, patients with C oligometastases had higher distant relapses, poorer PFS, and a trend towards worse survival. More studies with separate enrolment of patients with C and EC oligometastases are needed.</p><p><strong>Advances in knowledge: </strong>Outcome of patients with C oligometastases is poorer than EC metastases and hence the studies should be separately done in these 2 groups to assess the benefit of SRS/SBRT.</p>\",\"PeriodicalId\":72419,\"journal\":{\"name\":\"BJR open\",\"volume\":\"6 1\",\"pages\":\"tzae042\"},\"PeriodicalIF\":2.1000,\"publicationDate\":\"2024-11-27\",\"publicationTypes\":\"Journal Article\",\"fieldsOfStudy\":null,\"isOpenAccess\":false,\"openAccessPdf\":\"https://www.ncbi.nlm.nih.gov/pmc/articles/PMC11630083/pdf/\",\"citationCount\":\"0\",\"resultStr\":null,\"platform\":\"Semanticscholar\",\"paperid\":null,\"PeriodicalName\":\"BJR open\",\"FirstCategoryId\":\"1085\",\"ListUrlMain\":\"https://doi.org/10.1093/bjro/tzae042\",\"RegionNum\":0,\"RegionCategory\":null,\"ArticlePicture\":[],\"TitleCN\":null,\"AbstractTextCN\":null,\"PMCID\":null,\"EPubDate\":\"2024/1/1 0:00:00\",\"PubModel\":\"eCollection\",\"JCR\":\"\",\"JCRName\":\"\",\"Score\":null,\"Total\":0}","platform":"Semanticscholar","paperid":null,"PeriodicalName":"BJR open","FirstCategoryId":"1085","ListUrlMain":"https://doi.org/10.1093/bjro/tzae042","RegionNum":0,"RegionCategory":null,"ArticlePicture":[],"TitleCN":null,"AbstractTextCN":null,"PMCID":null,"EPubDate":"2024/1/1 0:00:00","PubModel":"eCollection","JCR":"","JCRName":"","Score":null,"Total":0}
引用次数: 0

摘要

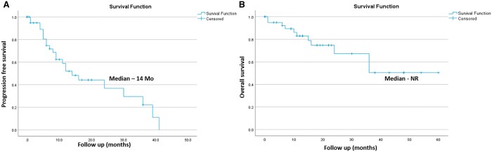
目的:评价立体定向放射手术(SRS)/立体定向全身放疗(SBRT)和标准护理系统治疗颅内(C)和颅外(EC)寡转移患者的疗效。方法:在2018-2022年期间,对接受SBRT或SRS治疗的低转移(≤5个病灶)患者进行全身治疗。PET-CT将其分类为C或EC寡转移。记录局部控制、远期进展、无进展生存期(PFS)、总生存期(OS)和治疗毒性。结果:88例少转移灶43例接受SBRT/SRS治疗。18例有C转移,23例有EC转移,2例两者都有。43例患者中有40例接受了全身治疗。在中位随访13个月时,中位PFS为14个月,1年和2年OS分别为83.2%和67.4%。SRS组局部控制率为92.8%,SBRT组为86.3%。C和EC低转移的远处失败分别见于12/14和7/20患者(P = 0.03)。EC的中位PFS为30个月,C低转移的中位PFS为6个月(P = 0.003)。EC的1年和2年OS分别为89.6%和82.7%,C寡转移的1年和2年OS分别为77.6%和48.5% (P = 0.21)。1例为3级毒性,3例为1级毒性。结论:SRS和SBRT局部控制率高,毒性低。与EC相比,C少转移患者有更高的远处复发,更差的PFS,以及更差的生存趋势。需要更多的研究,分别纳入C和EC低转移患者。知识进展:C少转移患者的预后比EC转移患者差,因此应在这两组中分别进行研究,以评估SRS/SBRT的益处。
本文章由计算机程序翻译,如有差异,请以英文原文为准。

Survival and relapse patterns in patients of cranial vs extra-cranial oligometastases treated with stereotactic radiosurgery/stereotactic body radiation therapy and systemic therapy.

Survival and relapse patterns in patients of cranial vs extra-cranial oligometastases treated with stereotactic radiosurgery/stereotactic body radiation therapy and systemic therapy.

Survival and relapse patterns in patients of cranial vs extra-cranial oligometastases treated with stereotactic radiosurgery/stereotactic body radiation therapy and systemic therapy.

Survival and relapse patterns in patients of cranial vs extra-cranial oligometastases treated with stereotactic radiosurgery/stereotactic body radiation therapy and systemic therapy.

Objectives: To evaluate the outcome of patients with cranial (C) and extra-cranial (EC) oligometastases treated with stereotactic radiosurgery (SRS)/stereotactic body radiotherapy (SBRT) and standard of care systemic therapy.

Methods: During the period 2018-2022, patients who received SBRT or SRS for oligometastases (≤5 lesions) in addition to systemic therapy were evaluated. PET-CT was done to categorize them as C or EC oligometastases. Local control, distant progression, progression-free survival (PFS), overall survival (OS), and toxicity of the treatment were recorded.

Results: 43 patients received SBRT/SRS to 88 oligometastatic lesions. Eighteen patients had C metastases, 23 had EC metastases and 2 patients had both. 40/43 patients had received systemic therapy. At a median follow-up of 13 months, median PFS was 14 months and 1 and 2 years OS was 83.2% and 67.4%. Local control with SRS was 92.8% and with SBRT was 86.3%. Distant failure in C vs EC oligometastases was seen in 12/14 vs 7/20 patients (P = 0.03). Median PFS was 30 months for EC and 6 months for C oligometastases (P = 0.003). 1 and 2 years OS was 89.6% and 82.7% for EC and 77.6% and 48.5% for C oligometastases (P = 0.21). One patient had grade 3 and 3 patients had grade 1 toxicity.

Conclusions: SRS and SBRT yielded high rates of local control with low toxicity. Compared to EC, patients with C oligometastases had higher distant relapses, poorer PFS, and a trend towards worse survival. More studies with separate enrolment of patients with C and EC oligometastases are needed.

Advances in knowledge: Outcome of patients with C oligometastases is poorer than EC metastases and hence the studies should be separately done in these 2 groups to assess the benefit of SRS/SBRT.

求助全文
通过发布文献求助,成功后即可免费获取论文全文。 去求助
来源期刊
自引率
0.00%
发文量
0
审稿时长
18 weeks
×
引用
GB/T 7714-2015
复制
MLA
复制
APA
复制
导出至
BibTeX EndNote RefMan NoteFirst NoteExpress
×
提示
您的信息不完整,为了账户安全,请先补充。
现在去补充
×
提示
您因"违规操作"
具体请查看互助需知
我知道了
×
提示
确定
请完成安全验证×
copy
已复制链接
快去分享给好友吧!
我知道了
右上角分享
点击右上角分享
0
联系我们:info@booksci.cn Book学术提供免费学术资源搜索服务,方便国内外学者检索中英文文献。致力于提供最便捷和优质的服务体验。 Copyright © 2023 布克学术 All rights reserved.
京ICP备2023020795号-1
ghs 京公网安备 11010802042870号
Book学术文献互助
Book学术文献互助群
群 号:604180095
Book学术官方微信