精神分裂症谱系障碍和情感性精神病的多基因和多环境相互作用EUGEI首发研究。

IF 4.8 1区 医学 Q1 PSYCHIATRY
Victoria Rodriguez, Luis Alameda, Monica Aas, Charlotte Gayer-Anderson, Giulia Trotta, Edoardo Spinazzola, Diego Quattrone, Giada Tripoli, Hannah E Jongsma, Simona Stilo, Caterina La Cascia, Laura Ferraro, Daniele La Barbera, Antonio Lasalvia, Sarah Tosato, Ilaria Tarricone, Elena Bonora, Stéphane Jamain, Jean-Paul Selten, Eva Velthorst, Lieuwe de Haan, Pierre-Michel Llorca, Manuel Arrojo, Julio Bobes, Miguel Bernardo, Celso Arango, James Kirkbride, Peter B Jones, Bart P Rutten, Alexander Richards, Pak C Sham, Michael O'Donovan, Jim Van Os, Craig Morgan, Marta Di Forti, Robin M Murray, Evangelos Vassos
{"title":"精神分裂症谱系障碍和情感性精神病的多基因和多环境相互作用EUGEI首发研究。","authors":"Victoria Rodriguez, Luis Alameda, Monica Aas, Charlotte Gayer-Anderson, Giulia Trotta, Edoardo Spinazzola, Diego Quattrone, Giada Tripoli, Hannah E Jongsma, Simona Stilo, Caterina La Cascia, Laura Ferraro, Daniele La Barbera, Antonio Lasalvia, Sarah Tosato, Ilaria Tarricone, Elena Bonora, Stéphane Jamain, Jean-Paul Selten, Eva Velthorst, Lieuwe de Haan, Pierre-Michel Llorca, Manuel Arrojo, Julio Bobes, Miguel Bernardo, Celso Arango, James Kirkbride, Peter B Jones, Bart P Rutten, Alexander Richards, Pak C Sham, Michael O'Donovan, Jim Van Os, Craig Morgan, Marta Di Forti, Robin M Murray, Evangelos Vassos","doi":"10.1093/schbul/sbae207","DOIUrl":null,"url":null,"abstract":"<p><strong>Background: </strong>Multiple genetic and environmental risk factors play a role in the development of both schizophrenia-spectrum disorders and affective psychoses. How they act in combination is yet to be clarified.</p><p><strong>Methods: </strong>We analyzed 573 first episode psychosis cases and 1005 controls, of European ancestry. Firstly, we tested whether the association of polygenic risk scores for schizophrenia, bipolar disorder, and depression (PRS-SZ, PRS-BD, and PRS-D) with schizophrenia-spectrum disorder and affective psychosis differed when participants were stratified by exposure to specific environmental factors. Secondly, regression models including each PRS and polyenvironmental measures, including migration, paternal age, childhood adversity and frequent cannabis use, were run to test potential polygenic by polyenvironment interactions.</p><p><strong>Results: </strong>In schizophrenia-spectrum disorder vs controls comparison, PRS-SZ was the strongest genetic predictor, having a nominally larger effect in nonexposed to strong environmental factors such as frequent cannabis use (unexposed vs exposed OR 2.43 and 1.35, respectively) and childhood adversity (3.04 vs 1.74). In affective psychosis vs controls, the relative contribution of PRS-D appeared to be stronger in those exposed to environmental risk. No evidence of interaction was found between any PRS with polyenvironmental score.</p><p><strong>Conclusions: </strong>Our study supports an independent role of genetic liability and polyenvironmental risk for psychosis, consistent with the liability threshold model. Whereas schizophrenia-spectrum disorders seem to be mostly associated with polygenic risk for schizophrenia, having an additive effect with well-replicated environmental factors, affective psychosis seems to be a product of cumulative environmental insults alongside a higher genetic liability for affective disorders.</p>","PeriodicalId":21530,"journal":{"name":"Schizophrenia Bulletin","volume":" ","pages":"1254-1265"},"PeriodicalIF":4.8000,"publicationDate":"2025-09-08","publicationTypes":"Journal Article","fieldsOfStudy":null,"isOpenAccess":false,"openAccessPdf":"https://www.ncbi.nlm.nih.gov/pmc/articles/PMC12414556/pdf/","citationCount":"0","resultStr":"{\"title\":\"Polygenic and Polyenvironment Interplay in Schizophrenia-Spectrum Disorder and Affective Psychosis; the EUGEI First Episode Study.\",\"authors\":\"Victoria Rodriguez, Luis Alameda, Monica Aas, Charlotte Gayer-Anderson, Giulia Trotta, Edoardo Spinazzola, Diego Quattrone, Giada Tripoli, Hannah E Jongsma, Simona Stilo, Caterina La Cascia, Laura Ferraro, Daniele La Barbera, Antonio Lasalvia, Sarah Tosato, Ilaria Tarricone, Elena Bonora, Stéphane Jamain, Jean-Paul Selten, Eva Velthorst, Lieuwe de Haan, Pierre-Michel Llorca, Manuel Arrojo, Julio Bobes, Miguel Bernardo, Celso Arango, James Kirkbride, Peter B Jones, Bart P Rutten, Alexander Richards, Pak C Sham, Michael O'Donovan, Jim Van Os, Craig Morgan, Marta Di Forti, Robin M Murray, Evangelos Vassos\",\"doi\":\"10.1093/schbul/sbae207\",\"DOIUrl\":null,\"url\":null,\"abstract\":\"<p><strong>Background: </strong>Multiple genetic and environmental risk factors play a role in the development of both schizophrenia-spectrum disorders and affective psychoses. How they act in combination is yet to be clarified.</p><p><strong>Methods: </strong>We analyzed 573 first episode psychosis cases and 1005 controls, of European ancestry. Firstly, we tested whether the association of polygenic risk scores for schizophrenia, bipolar disorder, and depression (PRS-SZ, PRS-BD, and PRS-D) with schizophrenia-spectrum disorder and affective psychosis differed when participants were stratified by exposure to specific environmental factors. Secondly, regression models including each PRS and polyenvironmental measures, including migration, paternal age, childhood adversity and frequent cannabis use, were run to test potential polygenic by polyenvironment interactions.</p><p><strong>Results: </strong>In schizophrenia-spectrum disorder vs controls comparison, PRS-SZ was the strongest genetic predictor, having a nominally larger effect in nonexposed to strong environmental factors such as frequent cannabis use (unexposed vs exposed OR 2.43 and 1.35, respectively) and childhood adversity (3.04 vs 1.74). In affective psychosis vs controls, the relative contribution of PRS-D appeared to be stronger in those exposed to environmental risk. No evidence of interaction was found between any PRS with polyenvironmental score.</p><p><strong>Conclusions: </strong>Our study supports an independent role of genetic liability and polyenvironmental risk for psychosis, consistent with the liability threshold model. Whereas schizophrenia-spectrum disorders seem to be mostly associated with polygenic risk for schizophrenia, having an additive effect with well-replicated environmental factors, affective psychosis seems to be a product of cumulative environmental insults alongside a higher genetic liability for affective disorders.</p>\",\"PeriodicalId\":21530,\"journal\":{\"name\":\"Schizophrenia Bulletin\",\"volume\":\" \",\"pages\":\"1254-1265\"},\"PeriodicalIF\":4.8000,\"publicationDate\":\"2025-09-08\",\"publicationTypes\":\"Journal Article\",\"fieldsOfStudy\":null,\"isOpenAccess\":false,\"openAccessPdf\":\"https://www.ncbi.nlm.nih.gov/pmc/articles/PMC12414556/pdf/\",\"citationCount\":\"0\",\"resultStr\":null,\"platform\":\"Semanticscholar\",\"paperid\":null,\"PeriodicalName\":\"Schizophrenia Bulletin\",\"FirstCategoryId\":\"3\",\"ListUrlMain\":\"https://doi.org/10.1093/schbul/sbae207\",\"RegionNum\":1,\"RegionCategory\":\"医学\",\"ArticlePicture\":[],\"TitleCN\":null,\"AbstractTextCN\":null,\"PMCID\":null,\"EPubDate\":\"\",\"PubModel\":\"\",\"JCR\":\"Q1\",\"JCRName\":\"PSYCHIATRY\",\"Score\":null,\"Total\":0}","platform":"Semanticscholar","paperid":null,"PeriodicalName":"Schizophrenia Bulletin","FirstCategoryId":"3","ListUrlMain":"https://doi.org/10.1093/schbul/sbae207","RegionNum":1,"RegionCategory":"医学","ArticlePicture":[],"TitleCN":null,"AbstractTextCN":null,"PMCID":null,"EPubDate":"","PubModel":"","JCR":"Q1","JCRName":"PSYCHIATRY","Score":null,"Total":0}
引用次数: 0

摘要

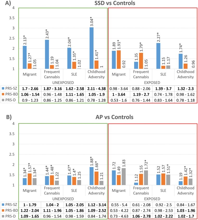
背景:多种遗传和环境风险因素在精神分裂症谱系障碍和情感性精神病的发展中起作用。它们如何结合在一起起作用还有待阐明。方法:我们分析了573例首发精神病患者和1005例欧洲血统的对照。首先,我们测试了精神分裂症、双相情感障碍和抑郁症的多基因风险评分(PRS-SZ、PRS-BD和PRS-D)与精神分裂症谱系障碍和情感性精神病的关联是否在参与者暴露于特定环境因素分层时有所不同。其次,采用回归模型,包括每个PRS和多环境措施,包括移民、父亲年龄、童年逆境和频繁使用大麻,以测试多环境相互作用的潜在多基因。结果:在精神分裂症谱系障碍与对照组的比较中,PRS-SZ是最强的遗传预测因子,在非暴露于强环境因素如频繁使用大麻(未暴露vs暴露OR分别为2.43和1.35)和童年逆境(3.04 vs 1.74)中具有名义上更大的影响。在情感性精神病与对照组中,PRS-D的相对贡献似乎在暴露于环境风险的人群中更强。没有证据表明任何PRS与多环境评分之间存在相互作用。结论:我们的研究支持遗传倾向和多环境风险对精神病的独立作用,与责任阈值模型一致。虽然精神分裂症谱系障碍似乎主要与精神分裂症的多基因风险相关,具有良好复制的环境因素的加性效应,但情感性精神病似乎是累积的环境侮辱和较高的情感性障碍遗传倾向的产物。
本文章由计算机程序翻译,如有差异,请以英文原文为准。

Polygenic and Polyenvironment Interplay in Schizophrenia-Spectrum Disorder and Affective Psychosis; the EUGEI First Episode Study.

Polygenic and Polyenvironment Interplay in Schizophrenia-Spectrum Disorder and Affective Psychosis; the EUGEI First Episode Study.

Background: Multiple genetic and environmental risk factors play a role in the development of both schizophrenia-spectrum disorders and affective psychoses. How they act in combination is yet to be clarified.

Methods: We analyzed 573 first episode psychosis cases and 1005 controls, of European ancestry. Firstly, we tested whether the association of polygenic risk scores for schizophrenia, bipolar disorder, and depression (PRS-SZ, PRS-BD, and PRS-D) with schizophrenia-spectrum disorder and affective psychosis differed when participants were stratified by exposure to specific environmental factors. Secondly, regression models including each PRS and polyenvironmental measures, including migration, paternal age, childhood adversity and frequent cannabis use, were run to test potential polygenic by polyenvironment interactions.

Results: In schizophrenia-spectrum disorder vs controls comparison, PRS-SZ was the strongest genetic predictor, having a nominally larger effect in nonexposed to strong environmental factors such as frequent cannabis use (unexposed vs exposed OR 2.43 and 1.35, respectively) and childhood adversity (3.04 vs 1.74). In affective psychosis vs controls, the relative contribution of PRS-D appeared to be stronger in those exposed to environmental risk. No evidence of interaction was found between any PRS with polyenvironmental score.

Conclusions: Our study supports an independent role of genetic liability and polyenvironmental risk for psychosis, consistent with the liability threshold model. Whereas schizophrenia-spectrum disorders seem to be mostly associated with polygenic risk for schizophrenia, having an additive effect with well-replicated environmental factors, affective psychosis seems to be a product of cumulative environmental insults alongside a higher genetic liability for affective disorders.

求助全文
通过发布文献求助,成功后即可免费获取论文全文。 去求助
来源期刊
Schizophrenia Bulletin
Schizophrenia Bulletin 医学-精神病学
CiteScore
11.40
自引率
6.10%
发文量
163
审稿时长
4-8 weeks
期刊介绍: Schizophrenia Bulletin seeks to review recent developments and empirically based hypotheses regarding the etiology and treatment of schizophrenia. We view the field as broad and deep, and will publish new knowledge ranging from the molecular basis to social and cultural factors. We will give new emphasis to translational reports which simultaneously highlight basic neurobiological mechanisms and clinical manifestations. Some of the Bulletin content is invited as special features or manuscripts organized as a theme by special guest editors. Most pages of the Bulletin are devoted to unsolicited manuscripts of high quality that report original data or where we can provide a special venue for a major study or workshop report. Supplement issues are sometimes provided for manuscripts reporting from a recent conference.
×
引用
GB/T 7714-2015
复制
MLA
复制
APA
复制
导出至
BibTeX EndNote RefMan NoteFirst NoteExpress
×
提示
您的信息不完整,为了账户安全,请先补充。
现在去补充
×
提示
您因"违规操作"
具体请查看互助需知
我知道了
×
提示
确定
请完成安全验证×
copy
已复制链接
快去分享给好友吧!
我知道了
右上角分享
点击右上角分享
0
联系我们:info@booksci.cn Book学术提供免费学术资源搜索服务,方便国内外学者检索中英文文献。致力于提供最便捷和优质的服务体验。 Copyright © 2023 布克学术 All rights reserved.
京ICP备2023020795号-1
ghs 京公网安备 11010802042870号
Book学术文献互助
Book学术文献互助群
群 号:604180095
Book学术官方微信