心理应激与乳腺癌术后急性淋巴水肿的关系。

IF 3.4 4区 医学 Q2 ONCOLOGY
Breast Cancer : Targets and Therapy Pub Date : 2024-12-06 eCollection Date: 2024-01-01 DOI:10.2147/BCTT.S485827
Li-Ping Ge, Lichen Tang, WenJia Zuo, Changmin Zhou, Tianhao Gao, Yun Li, Cuixia Fu, Jiajia Qiu, Ping Li, Rongrong Lu, Li Chen, Yunzi Xue, Zhou Shen, Zhimin Shao, Genhong Di, Wei Feng
{"title":"心理应激与乳腺癌术后急性淋巴水肿的关系。","authors":"Li-Ping Ge, Lichen Tang, WenJia Zuo, Changmin Zhou, Tianhao Gao, Yun Li, Cuixia Fu, Jiajia Qiu, Ping Li, Rongrong Lu, Li Chen, Yunzi Xue, Zhou Shen, Zhimin Shao, Genhong Di, Wei Feng","doi":"10.2147/BCTT.S485827","DOIUrl":null,"url":null,"abstract":"<p><strong>Background: </strong>Lymphedema and psychological distress, including anxiety and depression, are common in breast cancer patients post-surgery. This study aimed to assess the incidence and determinants of anxiety and depression in patients with acute lymphedema (ALE) following breast cancer surgery.</p><p><strong>Methods: </strong>A retrospective study was conducted on 1613 breast cancer patients who underwent surgery at Fudan University Shanghai Cancer Center in 2018. ALE was defined as lymphatic fluid accumulation causing limb swelling and was classified by the difference in arm circumference. Anxiety and depression were evaluated using the Hospital Anxiety and Depression Scale (HADS) at discharge. Descriptive statistics and logistic regression were used to identify psychological distress-related factors.</p><p><strong>Results: </strong>Among the 1613 patients, 363 (22.5%) had ALE. Anxiety was observed in 31% and depression in 21% of patients. ALE significantly impacted anxiety in the multivariate analysis (OR = 1.57, 95% CI: [1.04-2.38], P = 0.033). Multivariate analysis of ALE patients showed that longer hospital stays (OR = 0.51, 95% CI: [0.30-0.88], P = 0.017) and invasive disease (OR = 0.39, 95% CI: [0.19-0.78], P = 0.008) were associated with reduced anxiety; while lymph-vessel invasive disease was associated with increased anxiety (OR = 5.97, 95% CI: [1.15-30.97], P = 0.034). ALE had no significant impact on depression in the multivariate analysis. However, menopause (OR = 0.72, 95% CI: [0.56-0.94], P = 0.014) and longer hospitalization (OR = 1.30, 95% CI: [1.00-1.68], P = 0.047) influenced depression in all patients. In the ALE group, lymph node surgery was the only significant factor for depression (OR = 8.67, 95% CI: [1.56-48.23], P = 0.014) in the multivariate analysis.</p><p><strong>Conclusion: </strong>Psychological stress, influenced by both surgical factors and emotional states, is associated with ALE development. Addressing both psychological and surgical factors is crucial for improving outcomes and quality of life in post-surgery breast cancer patients.</p>","PeriodicalId":9106,"journal":{"name":"Breast Cancer : Targets and Therapy","volume":"16 ","pages":"867-876"},"PeriodicalIF":3.4000,"publicationDate":"2024-12-06","publicationTypes":"Journal Article","fieldsOfStudy":null,"isOpenAccess":false,"openAccessPdf":"https://www.ncbi.nlm.nih.gov/pmc/articles/PMC11630805/pdf/","citationCount":"0","resultStr":"{\"title\":\"Psychological Stress and Its Correlations to Patients with Acute Lymphedema After Breast Cancer Surgery.\",\"authors\":\"Li-Ping Ge, Lichen Tang, WenJia Zuo, Changmin Zhou, Tianhao Gao, Yun Li, Cuixia Fu, Jiajia Qiu, Ping Li, Rongrong Lu, Li Chen, Yunzi Xue, Zhou Shen, Zhimin Shao, Genhong Di, Wei Feng\",\"doi\":\"10.2147/BCTT.S485827\",\"DOIUrl\":null,\"url\":null,\"abstract\":\"<p><strong>Background: </strong>Lymphedema and psychological distress, including anxiety and depression, are common in breast cancer patients post-surgery. This study aimed to assess the incidence and determinants of anxiety and depression in patients with acute lymphedema (ALE) following breast cancer surgery.</p><p><strong>Methods: </strong>A retrospective study was conducted on 1613 breast cancer patients who underwent surgery at Fudan University Shanghai Cancer Center in 2018. ALE was defined as lymphatic fluid accumulation causing limb swelling and was classified by the difference in arm circumference. Anxiety and depression were evaluated using the Hospital Anxiety and Depression Scale (HADS) at discharge. Descriptive statistics and logistic regression were used to identify psychological distress-related factors.</p><p><strong>Results: </strong>Among the 1613 patients, 363 (22.5%) had ALE. Anxiety was observed in 31% and depression in 21% of patients. ALE significantly impacted anxiety in the multivariate analysis (OR = 1.57, 95% CI: [1.04-2.38], P = 0.033). Multivariate analysis of ALE patients showed that longer hospital stays (OR = 0.51, 95% CI: [0.30-0.88], P = 0.017) and invasive disease (OR = 0.39, 95% CI: [0.19-0.78], P = 0.008) were associated with reduced anxiety; while lymph-vessel invasive disease was associated with increased anxiety (OR = 5.97, 95% CI: [1.15-30.97], P = 0.034). ALE had no significant impact on depression in the multivariate analysis. However, menopause (OR = 0.72, 95% CI: [0.56-0.94], P = 0.014) and longer hospitalization (OR = 1.30, 95% CI: [1.00-1.68], P = 0.047) influenced depression in all patients. In the ALE group, lymph node surgery was the only significant factor for depression (OR = 8.67, 95% CI: [1.56-48.23], P = 0.014) in the multivariate analysis.</p><p><strong>Conclusion: </strong>Psychological stress, influenced by both surgical factors and emotional states, is associated with ALE development. Addressing both psychological and surgical factors is crucial for improving outcomes and quality of life in post-surgery breast cancer patients.</p>\",\"PeriodicalId\":9106,\"journal\":{\"name\":\"Breast Cancer : Targets and Therapy\",\"volume\":\"16 \",\"pages\":\"867-876\"},\"PeriodicalIF\":3.4000,\"publicationDate\":\"2024-12-06\",\"publicationTypes\":\"Journal Article\",\"fieldsOfStudy\":null,\"isOpenAccess\":false,\"openAccessPdf\":\"https://www.ncbi.nlm.nih.gov/pmc/articles/PMC11630805/pdf/\",\"citationCount\":\"0\",\"resultStr\":null,\"platform\":\"Semanticscholar\",\"paperid\":null,\"PeriodicalName\":\"Breast Cancer : Targets and Therapy\",\"FirstCategoryId\":\"3\",\"ListUrlMain\":\"https://doi.org/10.2147/BCTT.S485827\",\"RegionNum\":4,\"RegionCategory\":\"医学\",\"ArticlePicture\":[],\"TitleCN\":null,\"AbstractTextCN\":null,\"PMCID\":null,\"EPubDate\":\"2024/1/1 0:00:00\",\"PubModel\":\"eCollection\",\"JCR\":\"Q2\",\"JCRName\":\"ONCOLOGY\",\"Score\":null,\"Total\":0}","platform":"Semanticscholar","paperid":null,"PeriodicalName":"Breast Cancer : Targets and Therapy","FirstCategoryId":"3","ListUrlMain":"https://doi.org/10.2147/BCTT.S485827","RegionNum":4,"RegionCategory":"医学","ArticlePicture":[],"TitleCN":null,"AbstractTextCN":null,"PMCID":null,"EPubDate":"2024/1/1 0:00:00","PubModel":"eCollection","JCR":"Q2","JCRName":"ONCOLOGY","Score":null,"Total":0}
引用次数: 0

摘要

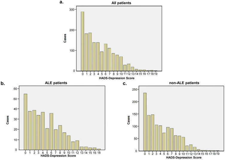
背景:淋巴水肿和心理困扰,包括焦虑和抑郁,是乳腺癌患者术后常见的症状。本研究旨在评估乳腺癌手术后急性淋巴水肿(ALE)患者焦虑和抑郁的发生率和决定因素。方法:对2018年在复旦大学上海肿瘤中心接受手术治疗的1613例乳腺癌患者进行回顾性研究。ALE定义为淋巴积液引起肢体肿胀,并根据臂围差异进行分类。出院时使用医院焦虑抑郁量表(HADS)评估焦虑和抑郁。使用描述性统计和逻辑回归来确定心理困扰的相关因素。结果:1613例患者中有363例(22.5%)发生ALE。31%的患者出现焦虑,21%的患者出现抑郁。在多变量分析中,ALE显著影响焦虑(OR = 1.57, 95% CI: [1.04-2.38], P = 0.033)。ALE患者的多因素分析显示,较长的住院时间(OR = 0.51, 95% CI: [0.30-0.88], P = 0.017)和侵袭性疾病(OR = 0.39, 95% CI: [0.19-0.78], P = 0.008)与焦虑减轻有关;而淋巴管侵袭性疾病与焦虑增加相关(OR = 5.97, 95% CI: [1.15-30.97], P = 0.034)。在多变量分析中,ALE对抑郁症无显著影响。然而,绝经(OR = 0.72, 95% CI: [0.56-0.94], P = 0.014)和住院时间较长(OR = 1.30, 95% CI: [1.00-1.68], P = 0.047)影响所有患者的抑郁。在多因素分析中,淋巴结手术是ALE组抑郁的唯一显著因素(OR = 8.67, 95% CI: [1.56-48.23], P = 0.014)。结论:受手术因素和情绪状态影响的心理应激与ALE的发生有关。解决心理和手术因素对于改善乳腺癌术后患者的预后和生活质量至关重要。
本文章由计算机程序翻译,如有差异,请以英文原文为准。

Psychological Stress and Its Correlations to Patients with Acute Lymphedema After Breast Cancer Surgery.

Psychological Stress and Its Correlations to Patients with Acute Lymphedema After Breast Cancer Surgery.

Psychological Stress and Its Correlations to Patients with Acute Lymphedema After Breast Cancer Surgery.

Background: Lymphedema and psychological distress, including anxiety and depression, are common in breast cancer patients post-surgery. This study aimed to assess the incidence and determinants of anxiety and depression in patients with acute lymphedema (ALE) following breast cancer surgery.

Methods: A retrospective study was conducted on 1613 breast cancer patients who underwent surgery at Fudan University Shanghai Cancer Center in 2018. ALE was defined as lymphatic fluid accumulation causing limb swelling and was classified by the difference in arm circumference. Anxiety and depression were evaluated using the Hospital Anxiety and Depression Scale (HADS) at discharge. Descriptive statistics and logistic regression were used to identify psychological distress-related factors.

Results: Among the 1613 patients, 363 (22.5%) had ALE. Anxiety was observed in 31% and depression in 21% of patients. ALE significantly impacted anxiety in the multivariate analysis (OR = 1.57, 95% CI: [1.04-2.38], P = 0.033). Multivariate analysis of ALE patients showed that longer hospital stays (OR = 0.51, 95% CI: [0.30-0.88], P = 0.017) and invasive disease (OR = 0.39, 95% CI: [0.19-0.78], P = 0.008) were associated with reduced anxiety; while lymph-vessel invasive disease was associated with increased anxiety (OR = 5.97, 95% CI: [1.15-30.97], P = 0.034). ALE had no significant impact on depression in the multivariate analysis. However, menopause (OR = 0.72, 95% CI: [0.56-0.94], P = 0.014) and longer hospitalization (OR = 1.30, 95% CI: [1.00-1.68], P = 0.047) influenced depression in all patients. In the ALE group, lymph node surgery was the only significant factor for depression (OR = 8.67, 95% CI: [1.56-48.23], P = 0.014) in the multivariate analysis.

Conclusion: Psychological stress, influenced by both surgical factors and emotional states, is associated with ALE development. Addressing both psychological and surgical factors is crucial for improving outcomes and quality of life in post-surgery breast cancer patients.

求助全文
通过发布文献求助,成功后即可免费获取论文全文。 去求助
来源期刊
CiteScore
4.10
自引率
0.00%
发文量
40
审稿时长
16 weeks
×
引用
GB/T 7714-2015
复制
MLA
复制
APA
复制
导出至
BibTeX EndNote RefMan NoteFirst NoteExpress
×
提示
您的信息不完整,为了账户安全,请先补充。
现在去补充
×
提示
您因"违规操作"
具体请查看互助需知
我知道了
×
提示
确定
请完成安全验证×
copy
已复制链接
快去分享给好友吧!
我知道了
右上角分享
点击右上角分享
0
联系我们:info@booksci.cn Book学术提供免费学术资源搜索服务,方便国内外学者检索中英文文献。致力于提供最便捷和优质的服务体验。 Copyright © 2023 布克学术 All rights reserved.
京ICP备2023020795号-1
ghs 京公网安备 11010802042870号
Book学术文献互助
Book学术文献互助群
群 号:604180095
Book学术官方微信