菟丝子提取物可预防肝性脑病大鼠模型的认知缺陷。

IF 0.9
Northern clinics of Istanbul Pub Date : 2024-11-14 eCollection Date: 2024-01-01 DOI:10.14744/nci.2023.95776
Omercan Albayrak, Bilge Nur Hatipoglu, Dilek Ozbeyli, Ali Sen, Turkan Koyuncuoglu, Ozge Cevik, Feriha Ercan, Fatma Kanpalta, Ahmet Dogan, Seren Ede Pazarbasi, Goksel Sener
{"title":"菟丝子提取物可预防肝性脑病大鼠模型的认知缺陷。","authors":"Omercan Albayrak, Bilge Nur Hatipoglu, Dilek Ozbeyli, Ali Sen, Turkan Koyuncuoglu, Ozge Cevik, Feriha Ercan, Fatma Kanpalta, Ahmet Dogan, Seren Ede Pazarbasi, Goksel Sener","doi":"10.14744/nci.2023.95776","DOIUrl":null,"url":null,"abstract":"<p><strong>Objective: </strong>In our study, the protective effect of dodder plant extract against encephalopathy induced by cholestatic liver disease model was investigated.</p><p><strong>Methods: </strong>Spraque Dawley rats were used in the study. For the cholestatic liver disease model, the bile duct ligation (BDL) was applied. The groups were determined as control, Cuscuta sp. (CUS), BDL and BDL + CUS. Double ligation was performed in the bile duct in the BDL groups. For the applications, saline (SF) was administered to the control and BDL groups for 28 days while 250 mg/kg of Cuscuta sp. extract was given by oral gavage to the CUS and BDL + CUS groups. At the end of the experiment, cognitive evaluations were made by applying new object recognition and Morris water maze tests. After these tests, blood-brain barrier (BBB) measurements were made in half of the groups. In the other half of the groups, brain tissue samples were taken by decapitation and transforming growth factor-beta (TGF-β), 8-hydroxydeoxyguanosine (8-OHdG) and sodium-potassium adenosine triphosphatase (Na<sup>+</sup>/K<sup>+</sup>-ATPase) measurements were made in the tissues. Histological examinations of the tissues were also performed.</p><p><strong>Results: </strong>Cognitive performance was low, and BBB permeability was found to be increased in the group with bile duct ligation. In addition, TGF-β and 8-OHdG levels were increased in tissues, while Na<sup>+</sup>/K<sup>+</sup>-ATPase enzyme activity was suppressed. Treatment with Cuscuta sp. increased cognitive performance and decreased BBB permeability. Other biochemical parameters examined were significantly (p<0.05-0.001) reversed and supported by histological findings.</p><p><strong>Conclusion: </strong>Our findings in the study suggest that dodder plant may be beneficial for the protection of cognitive performance and brain tissue in encephalopathy caused by cholestasis.</p>","PeriodicalId":94347,"journal":{"name":"Northern clinics of Istanbul","volume":"11 6","pages":"512-519"},"PeriodicalIF":0.9000,"publicationDate":"2024-11-14","publicationTypes":"Journal Article","fieldsOfStudy":null,"isOpenAccess":false,"openAccessPdf":"https://www.ncbi.nlm.nih.gov/pmc/articles/PMC11622753/pdf/","citationCount":"0","resultStr":"{\"title\":\"Dodder (<i>Cuscuta</i> sp.) extract prevents cognitive deficits in a rat model of hepatic encephalopathy.\",\"authors\":\"Omercan Albayrak, Bilge Nur Hatipoglu, Dilek Ozbeyli, Ali Sen, Turkan Koyuncuoglu, Ozge Cevik, Feriha Ercan, Fatma Kanpalta, Ahmet Dogan, Seren Ede Pazarbasi, Goksel Sener\",\"doi\":\"10.14744/nci.2023.95776\",\"DOIUrl\":null,\"url\":null,\"abstract\":\"<p><strong>Objective: </strong>In our study, the protective effect of dodder plant extract against encephalopathy induced by cholestatic liver disease model was investigated.</p><p><strong>Methods: </strong>Spraque Dawley rats were used in the study. For the cholestatic liver disease model, the bile duct ligation (BDL) was applied. The groups were determined as control, Cuscuta sp. (CUS), BDL and BDL + CUS. Double ligation was performed in the bile duct in the BDL groups. For the applications, saline (SF) was administered to the control and BDL groups for 28 days while 250 mg/kg of Cuscuta sp. extract was given by oral gavage to the CUS and BDL + CUS groups. At the end of the experiment, cognitive evaluations were made by applying new object recognition and Morris water maze tests. After these tests, blood-brain barrier (BBB) measurements were made in half of the groups. In the other half of the groups, brain tissue samples were taken by decapitation and transforming growth factor-beta (TGF-β), 8-hydroxydeoxyguanosine (8-OHdG) and sodium-potassium adenosine triphosphatase (Na<sup>+</sup>/K<sup>+</sup>-ATPase) measurements were made in the tissues. Histological examinations of the tissues were also performed.</p><p><strong>Results: </strong>Cognitive performance was low, and BBB permeability was found to be increased in the group with bile duct ligation. In addition, TGF-β and 8-OHdG levels were increased in tissues, while Na<sup>+</sup>/K<sup>+</sup>-ATPase enzyme activity was suppressed. Treatment with Cuscuta sp. increased cognitive performance and decreased BBB permeability. Other biochemical parameters examined were significantly (p<0.05-0.001) reversed and supported by histological findings.</p><p><strong>Conclusion: </strong>Our findings in the study suggest that dodder plant may be beneficial for the protection of cognitive performance and brain tissue in encephalopathy caused by cholestasis.</p>\",\"PeriodicalId\":94347,\"journal\":{\"name\":\"Northern clinics of Istanbul\",\"volume\":\"11 6\",\"pages\":\"512-519\"},\"PeriodicalIF\":0.9000,\"publicationDate\":\"2024-11-14\",\"publicationTypes\":\"Journal Article\",\"fieldsOfStudy\":null,\"isOpenAccess\":false,\"openAccessPdf\":\"https://www.ncbi.nlm.nih.gov/pmc/articles/PMC11622753/pdf/\",\"citationCount\":\"0\",\"resultStr\":null,\"platform\":\"Semanticscholar\",\"paperid\":null,\"PeriodicalName\":\"Northern clinics of Istanbul\",\"FirstCategoryId\":\"1085\",\"ListUrlMain\":\"https://doi.org/10.14744/nci.2023.95776\",\"RegionNum\":0,\"RegionCategory\":null,\"ArticlePicture\":[],\"TitleCN\":null,\"AbstractTextCN\":null,\"PMCID\":null,\"EPubDate\":\"2024/1/1 0:00:00\",\"PubModel\":\"eCollection\",\"JCR\":\"\",\"JCRName\":\"\",\"Score\":null,\"Total\":0}","platform":"Semanticscholar","paperid":null,"PeriodicalName":"Northern clinics of Istanbul","FirstCategoryId":"1085","ListUrlMain":"https://doi.org/10.14744/nci.2023.95776","RegionNum":0,"RegionCategory":null,"ArticlePicture":[],"TitleCN":null,"AbstractTextCN":null,"PMCID":null,"EPubDate":"2024/1/1 0:00:00","PubModel":"eCollection","JCR":"","JCRName":"","Score":null,"Total":0}
引用次数: 0

摘要

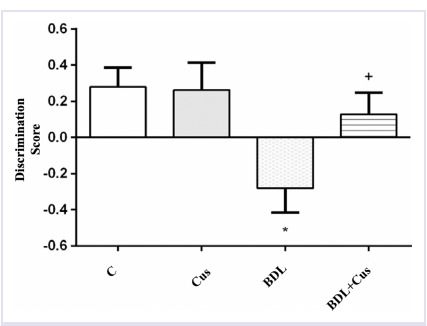
目的:研究菟丝子提取物对胆汁淤积性肝病模型脑病的保护作用。方法:采用Spraque Dawley大鼠进行研究。胆汁淤积性肝病模型采用胆管结扎法(BDL)。分为对照组、Cuscuta sp. (CUS)组、BDL组和BDL + CUS组。BDL组均行胆管双结扎。对照组和BDL组灌胃生理盐水(SF) 28 d, CUS组和BDL + CUS组灌胃菟丝子提取物250 mg/kg。实验结束后,采用新物体识别和Morris水迷宫测试对大鼠进行认知评价。在这些测试之后,对一半的组进行了血脑屏障(BBB)测量。在另外一半组中,通过斩首取脑组织样本,并在组织中测量转化生长因子-β (TGF-β), 8-羟基脱氧鸟苷(8-OHdG)和钠-钾腺苷三磷酸酶(Na+/K+- atp酶)。同时对组织进行组织学检查。结果:胆管结扎组认知能力低下,血脑屏障通透性增高。TGF-β和8-OHdG水平升高,Na+/K+- atp酶活性受到抑制。用Cuscuta sp.治疗可提高认知能力,降低血脑屏障通透性。结论:本研究提示菟丝子可能对胆汁淤积性脑病患者的认知功能和脑组织有保护作用。
本文章由计算机程序翻译,如有差异,请以英文原文为准。

Dodder (<i>Cuscuta</i> sp.) extract prevents cognitive deficits in a rat model of hepatic encephalopathy.

Dodder (<i>Cuscuta</i> sp.) extract prevents cognitive deficits in a rat model of hepatic encephalopathy.

Dodder (<i>Cuscuta</i> sp.) extract prevents cognitive deficits in a rat model of hepatic encephalopathy.

Dodder (Cuscuta sp.) extract prevents cognitive deficits in a rat model of hepatic encephalopathy.

Objective: In our study, the protective effect of dodder plant extract against encephalopathy induced by cholestatic liver disease model was investigated.

Methods: Spraque Dawley rats were used in the study. For the cholestatic liver disease model, the bile duct ligation (BDL) was applied. The groups were determined as control, Cuscuta sp. (CUS), BDL and BDL + CUS. Double ligation was performed in the bile duct in the BDL groups. For the applications, saline (SF) was administered to the control and BDL groups for 28 days while 250 mg/kg of Cuscuta sp. extract was given by oral gavage to the CUS and BDL + CUS groups. At the end of the experiment, cognitive evaluations were made by applying new object recognition and Morris water maze tests. After these tests, blood-brain barrier (BBB) measurements were made in half of the groups. In the other half of the groups, brain tissue samples were taken by decapitation and transforming growth factor-beta (TGF-β), 8-hydroxydeoxyguanosine (8-OHdG) and sodium-potassium adenosine triphosphatase (Na+/K+-ATPase) measurements were made in the tissues. Histological examinations of the tissues were also performed.

Results: Cognitive performance was low, and BBB permeability was found to be increased in the group with bile duct ligation. In addition, TGF-β and 8-OHdG levels were increased in tissues, while Na+/K+-ATPase enzyme activity was suppressed. Treatment with Cuscuta sp. increased cognitive performance and decreased BBB permeability. Other biochemical parameters examined were significantly (p<0.05-0.001) reversed and supported by histological findings.

Conclusion: Our findings in the study suggest that dodder plant may be beneficial for the protection of cognitive performance and brain tissue in encephalopathy caused by cholestasis.

求助全文
通过发布文献求助,成功后即可免费获取论文全文。 去求助
来源期刊
自引率
0.00%
发文量
0
×
引用
GB/T 7714-2015
复制
MLA
复制
APA
复制
导出至
BibTeX EndNote RefMan NoteFirst NoteExpress
×
提示
您的信息不完整,为了账户安全,请先补充。
现在去补充
×
提示
您因"违规操作"
具体请查看互助需知
我知道了
×
提示
确定
请完成安全验证×
copy
已复制链接
快去分享给好友吧!
我知道了
右上角分享
点击右上角分享
0
联系我们:info@booksci.cn Book学术提供免费学术资源搜索服务,方便国内外学者检索中英文文献。致力于提供最便捷和优质的服务体验。 Copyright © 2023 布克学术 All rights reserved.
京ICP备2023020795号-1
ghs 京公网安备 11010802042870号
Book学术文献互助
Book学术文献互助群
群 号:604180095
Book学术官方微信