住院期间脓毒症危重患者血清钾水平与死亡率的关系

IF 2.6 3区 综合性期刊 Q1 MULTIDISCIPLINARY SCIENCES
PLoS ONE Pub Date : 2024-12-09 eCollection Date: 2024-01-01 DOI:10.1371/journal.pone.0314872
Guang Zhao, Yuting Gu, Yuyang Chen, Xiaohua Xia
{"title":"住院期间脓毒症危重患者血清钾水平与死亡率的关系","authors":"Guang Zhao, Yuting Gu, Yuyang Chen, Xiaohua Xia","doi":"10.1371/journal.pone.0314872","DOIUrl":null,"url":null,"abstract":"<p><strong>Background: </strong>Electrolyte disturbances are prevalent complications in critically ill patients with sepsis, significantly impacting patient prognosis. However, the specific association between serum potassium levels and mortality risk in this population remains poorly understood. This study aimed to investigate the association between serum potassium levels during hospitalization and the risk of 28-day and 90-day mortality in critically ill patients with sepsis.</p><p><strong>Methods: </strong>Data were obtained from the Medical Information Mart for Intensive Care (MIMIC-IV) database, and patients with severe sepsis requiring ICU admission were stratified into quartiles based on their mean serum potassium levels. Outcomes assessed included 28-day and 90-day mortality. A multivariate Cox proportional hazards model was used to investigate the association between serum potassium levels and mortality, with restricted cubic splines to identify potential nonlinear correlations. A dichotomous Cox proportional hazards model was applied to analyze the association further, and Kaplan-Meier analysis assessed the mortality risk across different potassium ranges.</p><p><strong>Results: </strong>A total of 25,203 patients were included, with 28-day and 90-day mortality rates of 27.84% and 40.48%, respectively. Multivariate analysis showed a significant association between serum potassium levels and mortality. Restricted cubic splines identified an inflection point at 4.4 mmol/L, with potassium levels above this threshold associated with higher mortality (28-day mortality: HR 2.96, 95% CI = 2.43-3.60; 90-day mortality: HR 2.19, 95% CI = 1.81-2.64). Kaplan-Meier analysis confirmed a significantly higher risk of death for patients with serum potassium levels above 4.4 mmol/L compared to those within the 3.5-4.4 mmol/L range (P<0.001).</p><p><strong>Conclusion: </strong>In critically ill patients with sepsis, serum potassium levels exceeding 4.4 mmol/L are associated with an increased risk of death. Maintaining the average serum potassium level within the range of 3.5-4.4 mmol/L appears to be safe and may contribute to better outcomes in this patient population.</p>","PeriodicalId":20189,"journal":{"name":"PLoS ONE","volume":"19 12","pages":"e0314872"},"PeriodicalIF":2.6000,"publicationDate":"2024-12-09","publicationTypes":"Journal Article","fieldsOfStudy":null,"isOpenAccess":false,"openAccessPdf":"https://www.ncbi.nlm.nih.gov/pmc/articles/PMC11627424/pdf/","citationCount":"0","resultStr":"{\"title\":\"Association of serum potassium levels with mortality in critically ill patients with sepsis during hospitalization.\",\"authors\":\"Guang Zhao, Yuting Gu, Yuyang Chen, Xiaohua Xia\",\"doi\":\"10.1371/journal.pone.0314872\",\"DOIUrl\":null,\"url\":null,\"abstract\":\"<p><strong>Background: </strong>Electrolyte disturbances are prevalent complications in critically ill patients with sepsis, significantly impacting patient prognosis. However, the specific association between serum potassium levels and mortality risk in this population remains poorly understood. This study aimed to investigate the association between serum potassium levels during hospitalization and the risk of 28-day and 90-day mortality in critically ill patients with sepsis.</p><p><strong>Methods: </strong>Data were obtained from the Medical Information Mart for Intensive Care (MIMIC-IV) database, and patients with severe sepsis requiring ICU admission were stratified into quartiles based on their mean serum potassium levels. Outcomes assessed included 28-day and 90-day mortality. A multivariate Cox proportional hazards model was used to investigate the association between serum potassium levels and mortality, with restricted cubic splines to identify potential nonlinear correlations. A dichotomous Cox proportional hazards model was applied to analyze the association further, and Kaplan-Meier analysis assessed the mortality risk across different potassium ranges.</p><p><strong>Results: </strong>A total of 25,203 patients were included, with 28-day and 90-day mortality rates of 27.84% and 40.48%, respectively. Multivariate analysis showed a significant association between serum potassium levels and mortality. Restricted cubic splines identified an inflection point at 4.4 mmol/L, with potassium levels above this threshold associated with higher mortality (28-day mortality: HR 2.96, 95% CI = 2.43-3.60; 90-day mortality: HR 2.19, 95% CI = 1.81-2.64). Kaplan-Meier analysis confirmed a significantly higher risk of death for patients with serum potassium levels above 4.4 mmol/L compared to those within the 3.5-4.4 mmol/L range (P<0.001).</p><p><strong>Conclusion: </strong>In critically ill patients with sepsis, serum potassium levels exceeding 4.4 mmol/L are associated with an increased risk of death. Maintaining the average serum potassium level within the range of 3.5-4.4 mmol/L appears to be safe and may contribute to better outcomes in this patient population.</p>\",\"PeriodicalId\":20189,\"journal\":{\"name\":\"PLoS ONE\",\"volume\":\"19 12\",\"pages\":\"e0314872\"},\"PeriodicalIF\":2.6000,\"publicationDate\":\"2024-12-09\",\"publicationTypes\":\"Journal Article\",\"fieldsOfStudy\":null,\"isOpenAccess\":false,\"openAccessPdf\":\"https://www.ncbi.nlm.nih.gov/pmc/articles/PMC11627424/pdf/\",\"citationCount\":\"0\",\"resultStr\":null,\"platform\":\"Semanticscholar\",\"paperid\":null,\"PeriodicalName\":\"PLoS ONE\",\"FirstCategoryId\":\"103\",\"ListUrlMain\":\"https://doi.org/10.1371/journal.pone.0314872\",\"RegionNum\":3,\"RegionCategory\":\"综合性期刊\",\"ArticlePicture\":[],\"TitleCN\":null,\"AbstractTextCN\":null,\"PMCID\":null,\"EPubDate\":\"2024/1/1 0:00:00\",\"PubModel\":\"eCollection\",\"JCR\":\"Q1\",\"JCRName\":\"MULTIDISCIPLINARY SCIENCES\",\"Score\":null,\"Total\":0}","platform":"Semanticscholar","paperid":null,"PeriodicalName":"PLoS ONE","FirstCategoryId":"103","ListUrlMain":"https://doi.org/10.1371/journal.pone.0314872","RegionNum":3,"RegionCategory":"综合性期刊","ArticlePicture":[],"TitleCN":null,"AbstractTextCN":null,"PMCID":null,"EPubDate":"2024/1/1 0:00:00","PubModel":"eCollection","JCR":"Q1","JCRName":"MULTIDISCIPLINARY SCIENCES","Score":null,"Total":0}
引用次数: 0

摘要

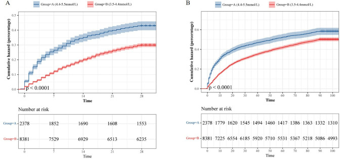
背景:电解质紊乱是重症脓毒症患者常见的并发症,严重影响患者预后。然而,在这一人群中,血清钾水平与死亡风险之间的具体联系仍然知之甚少。本研究旨在探讨重症脓毒症患者住院期间血清钾水平与28天和90天死亡风险之间的关系。方法:从重症监护医学信息市场(MIMIC-IV)数据库获取数据,根据平均血钾水平将需要ICU住院的严重脓毒症患者分为四分位数。评估的结果包括28天和90天死亡率。使用多变量Cox比例风险模型来研究血清钾水平与死亡率之间的关系,并使用限制三次样条来确定潜在的非线性相关性。采用二分类Cox比例风险模型进一步分析两者之间的相关性,并采用Kaplan-Meier分析评估不同钾含量范围的死亡风险。结果:共纳入25203例患者,28天和90天死亡率分别为27.84%和40.48%。多变量分析显示血清钾水平与死亡率之间存在显著相关性。限制三次样条曲线确定了4.4 mmol/L的拐点,高于该阈值的钾水平与较高的死亡率相关(28天死亡率:HR 2.96, 95% CI = 2.43-3.60;90天死亡率:HR 2.19, 95% CI = 1.81-2.64)。Kaplan-Meier分析证实,与3.5-4.4 mmol/L范围内的患者相比,血钾水平高于4.4 mmol/L的患者死亡风险明显更高(结论:在危重症脓毒症患者中,血钾水平超过4.4 mmol/L与死亡风险增加相关。将平均血清钾水平维持在3.5-4.4 mmol/L范围内似乎是安全的,并且可能有助于该患者群体获得更好的结果。
本文章由计算机程序翻译,如有差异,请以英文原文为准。

Association of serum potassium levels with mortality in critically ill patients with sepsis during hospitalization.

Association of serum potassium levels with mortality in critically ill patients with sepsis during hospitalization.

Association of serum potassium levels with mortality in critically ill patients with sepsis during hospitalization.

Association of serum potassium levels with mortality in critically ill patients with sepsis during hospitalization.

Background: Electrolyte disturbances are prevalent complications in critically ill patients with sepsis, significantly impacting patient prognosis. However, the specific association between serum potassium levels and mortality risk in this population remains poorly understood. This study aimed to investigate the association between serum potassium levels during hospitalization and the risk of 28-day and 90-day mortality in critically ill patients with sepsis.

Methods: Data were obtained from the Medical Information Mart for Intensive Care (MIMIC-IV) database, and patients with severe sepsis requiring ICU admission were stratified into quartiles based on their mean serum potassium levels. Outcomes assessed included 28-day and 90-day mortality. A multivariate Cox proportional hazards model was used to investigate the association between serum potassium levels and mortality, with restricted cubic splines to identify potential nonlinear correlations. A dichotomous Cox proportional hazards model was applied to analyze the association further, and Kaplan-Meier analysis assessed the mortality risk across different potassium ranges.

Results: A total of 25,203 patients were included, with 28-day and 90-day mortality rates of 27.84% and 40.48%, respectively. Multivariate analysis showed a significant association between serum potassium levels and mortality. Restricted cubic splines identified an inflection point at 4.4 mmol/L, with potassium levels above this threshold associated with higher mortality (28-day mortality: HR 2.96, 95% CI = 2.43-3.60; 90-day mortality: HR 2.19, 95% CI = 1.81-2.64). Kaplan-Meier analysis confirmed a significantly higher risk of death for patients with serum potassium levels above 4.4 mmol/L compared to those within the 3.5-4.4 mmol/L range (P<0.001).

Conclusion: In critically ill patients with sepsis, serum potassium levels exceeding 4.4 mmol/L are associated with an increased risk of death. Maintaining the average serum potassium level within the range of 3.5-4.4 mmol/L appears to be safe and may contribute to better outcomes in this patient population.

求助全文
通过发布文献求助,成功后即可免费获取论文全文。 去求助
来源期刊
PLoS ONE
PLoS ONE 生物-生物学
CiteScore
6.20
自引率
5.40%
发文量
14242
审稿时长
3.7 months
期刊介绍: PLOS ONE is an international, peer-reviewed, open-access, online publication. PLOS ONE welcomes reports on primary research from any scientific discipline. It provides: * Open-access—freely accessible online, authors retain copyright * Fast publication times * Peer review by expert, practicing researchers * Post-publication tools to indicate quality and impact * Community-based dialogue on articles * Worldwide media coverage
×
引用
GB/T 7714-2015
复制
MLA
复制
APA
复制
导出至
BibTeX EndNote RefMan NoteFirst NoteExpress
×
提示
您的信息不完整,为了账户安全,请先补充。
现在去补充
×
提示
您因"违规操作"
具体请查看互助需知
我知道了
×
提示
确定
请完成安全验证×
copy
已复制链接
快去分享给好友吧!
我知道了
右上角分享
点击右上角分享
0
联系我们:info@booksci.cn Book学术提供免费学术资源搜索服务,方便国内外学者检索中英文文献。致力于提供最便捷和优质的服务体验。 Copyright © 2023 布克学术 All rights reserved.
京ICP备2023020795号-1
ghs 京公网安备 11010802042870号
Book学术文献互助
Book学术文献互助群
群 号:604180095
Book学术官方微信