动脉僵硬度与慢性肾脏疾病发病率关系的性别差异

IF 2.8 2区 医学 Q2 PERIPHERAL VASCULAR DISEASE
Journal of atherosclerosis and thrombosis Pub Date : 2025-06-01 Epub Date: 2024-12-06 DOI:10.5551/jat.65055
Chang Hee Kwon, Jeonggyu Kang, Ki-Chul Sung
{"title":"动脉僵硬度与慢性肾脏疾病发病率关系的性别差异","authors":"Chang Hee Kwon, Jeonggyu Kang, Ki-Chul Sung","doi":"10.5551/jat.65055","DOIUrl":null,"url":null,"abstract":"<p><strong>Aims: </strong>There is a lack of evidence regarding the sex-specific impact of arterial stiffness on the incidence of chronic kidney disease (CKD). This study assessed the relationship between arterial stiffness based on brachial-ankle pulse wave velocity (baPWV) and incident CKD in men and women.</p><p><strong>Methods: </strong>Individuals who participated in health checkups and underwent concomitant baPWV measurement between 2006 and 2019 were included. They were free of CKD at baseline. The participants were categorized into 4 groups based on their baPWV values (cm/s) as follows: <1,200 cm/s for normal, ≥ 1,200 and <1,400 for high normal, ≥ 1,400 and <1,800 for borderline, and ≥ 1,800 cm/s. The primary outcome was CKD development (estimated glomerular filtration rate <60 mL/min/1.73 m<sup>2</sup>).</p><p><strong>Results: </strong>A total of 130,100 participants were enrolled, with a mean age of 40.5±8.2 years old. During the mean of 5.6 years of follow-up, 906 (0.7%) participants developed incident CKD. The cumulative incidence of CKD was 0.3%, 0.5%, 1.4%, and 6.2% in the normal, high normal, borderline, and abnormal groups, respectively. In the multivariable-adjusted model including systolic blood pressure, compared with the normal baPWV group, abnormal baPWV group demonstrated a significantly increased risk of incident CKD in women. However, among men, any other baPWV groups were not associated with a significantly elevated risk of incident CKD.</p><p><strong>Conclusions: </strong>Increased arterial stiffness, as measured by baPWV, was associated with an increased risk of incident CKD, with notable sex-specific differences. These findings underscore the utility of baPWV for identifying CKD risk in women and offer valuable insights into sex-specific differences in arterial stiffness and CKD development.</p>","PeriodicalId":15128,"journal":{"name":"Journal of atherosclerosis and thrombosis","volume":" ","pages":"723-733"},"PeriodicalIF":2.8000,"publicationDate":"2025-06-01","publicationTypes":"Journal Article","fieldsOfStudy":null,"isOpenAccess":false,"openAccessPdf":"https://www.ncbi.nlm.nih.gov/pmc/articles/PMC12140844/pdf/","citationCount":"0","resultStr":"{\"title\":\"Sex Differences in the Relationship between Arterial Stiffness and Incidence of Chronic Kidney Disease.\",\"authors\":\"Chang Hee Kwon, Jeonggyu Kang, Ki-Chul Sung\",\"doi\":\"10.5551/jat.65055\",\"DOIUrl\":null,\"url\":null,\"abstract\":\"<p><strong>Aims: </strong>There is a lack of evidence regarding the sex-specific impact of arterial stiffness on the incidence of chronic kidney disease (CKD). This study assessed the relationship between arterial stiffness based on brachial-ankle pulse wave velocity (baPWV) and incident CKD in men and women.</p><p><strong>Methods: </strong>Individuals who participated in health checkups and underwent concomitant baPWV measurement between 2006 and 2019 were included. They were free of CKD at baseline. The participants were categorized into 4 groups based on their baPWV values (cm/s) as follows: <1,200 cm/s for normal, ≥ 1,200 and <1,400 for high normal, ≥ 1,400 and <1,800 for borderline, and ≥ 1,800 cm/s. The primary outcome was CKD development (estimated glomerular filtration rate <60 mL/min/1.73 m<sup>2</sup>).</p><p><strong>Results: </strong>A total of 130,100 participants were enrolled, with a mean age of 40.5±8.2 years old. During the mean of 5.6 years of follow-up, 906 (0.7%) participants developed incident CKD. The cumulative incidence of CKD was 0.3%, 0.5%, 1.4%, and 6.2% in the normal, high normal, borderline, and abnormal groups, respectively. In the multivariable-adjusted model including systolic blood pressure, compared with the normal baPWV group, abnormal baPWV group demonstrated a significantly increased risk of incident CKD in women. However, among men, any other baPWV groups were not associated with a significantly elevated risk of incident CKD.</p><p><strong>Conclusions: </strong>Increased arterial stiffness, as measured by baPWV, was associated with an increased risk of incident CKD, with notable sex-specific differences. These findings underscore the utility of baPWV for identifying CKD risk in women and offer valuable insights into sex-specific differences in arterial stiffness and CKD development.</p>\",\"PeriodicalId\":15128,\"journal\":{\"name\":\"Journal of atherosclerosis and thrombosis\",\"volume\":\" \",\"pages\":\"723-733\"},\"PeriodicalIF\":2.8000,\"publicationDate\":\"2025-06-01\",\"publicationTypes\":\"Journal Article\",\"fieldsOfStudy\":null,\"isOpenAccess\":false,\"openAccessPdf\":\"https://www.ncbi.nlm.nih.gov/pmc/articles/PMC12140844/pdf/\",\"citationCount\":\"0\",\"resultStr\":null,\"platform\":\"Semanticscholar\",\"paperid\":null,\"PeriodicalName\":\"Journal of atherosclerosis and thrombosis\",\"FirstCategoryId\":\"3\",\"ListUrlMain\":\"https://doi.org/10.5551/jat.65055\",\"RegionNum\":2,\"RegionCategory\":\"医学\",\"ArticlePicture\":[],\"TitleCN\":null,\"AbstractTextCN\":null,\"PMCID\":null,\"EPubDate\":\"2024/12/6 0:00:00\",\"PubModel\":\"Epub\",\"JCR\":\"Q2\",\"JCRName\":\"PERIPHERAL VASCULAR DISEASE\",\"Score\":null,\"Total\":0}","platform":"Semanticscholar","paperid":null,"PeriodicalName":"Journal of atherosclerosis and thrombosis","FirstCategoryId":"3","ListUrlMain":"https://doi.org/10.5551/jat.65055","RegionNum":2,"RegionCategory":"医学","ArticlePicture":[],"TitleCN":null,"AbstractTextCN":null,"PMCID":null,"EPubDate":"2024/12/6 0:00:00","PubModel":"Epub","JCR":"Q2","JCRName":"PERIPHERAL VASCULAR DISEASE","Score":null,"Total":0}
引用次数: 0

摘要

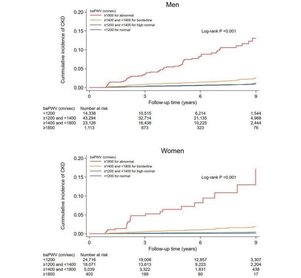
目的:缺乏关于动脉硬度对慢性肾脏疾病(CKD)发病率的性别特异性影响的证据。本研究评估了基于肱-踝脉波速度(baPWV)的动脉僵硬度与男性和女性CKD发生率之间的关系。方法:纳入2006年至2019年期间参加健康检查并同时进行baPWV测量的个体。他们在基线时没有CKD。根据受试者的baPWV值(cm/s)分为4组:正常组< 1200cm /s,高正常组≥1200cm /s,正常组≥1200cm /s,边缘组≥1400 cm/s,正常组< 1800 cm/s。主要结局是CKD的发展(估计肾小球滤过率<60 mL/min/1.73 m2)。结果:共纳入130,100名参与者,平均年龄为40.5±8.2岁。在平均5.6年的随访期间,906名(0.7%)参与者发展为CKD。正常组、高正常组、交界组和异常组CKD的累积发病率分别为0.3%、0.5%、1.4%和6.2%。在包括收缩压在内的多变量调整模型中,与正常baPWV组相比,异常baPWV组女性发生CKD的风险显著增加。然而,在男性中,任何其他baPWV组与CKD事件风险显著升高无关。结论:baPWV测量的动脉僵硬度增加与CKD发生风险增加相关,且存在显著的性别差异。这些发现强调了baPWV在识别女性CKD风险方面的效用,并为动脉僵硬度和CKD发展的性别特异性差异提供了有价值的见解。
本文章由计算机程序翻译,如有差异,请以英文原文为准。

Sex Differences in the Relationship between Arterial Stiffness and Incidence of Chronic Kidney Disease.

Sex Differences in the Relationship between Arterial Stiffness and Incidence of Chronic Kidney Disease.

Sex Differences in the Relationship between Arterial Stiffness and Incidence of Chronic Kidney Disease.

Aims: There is a lack of evidence regarding the sex-specific impact of arterial stiffness on the incidence of chronic kidney disease (CKD). This study assessed the relationship between arterial stiffness based on brachial-ankle pulse wave velocity (baPWV) and incident CKD in men and women.

Methods: Individuals who participated in health checkups and underwent concomitant baPWV measurement between 2006 and 2019 were included. They were free of CKD at baseline. The participants were categorized into 4 groups based on their baPWV values (cm/s) as follows: <1,200 cm/s for normal, ≥ 1,200 and <1,400 for high normal, ≥ 1,400 and <1,800 for borderline, and ≥ 1,800 cm/s. The primary outcome was CKD development (estimated glomerular filtration rate <60 mL/min/1.73 m2).

Results: A total of 130,100 participants were enrolled, with a mean age of 40.5±8.2 years old. During the mean of 5.6 years of follow-up, 906 (0.7%) participants developed incident CKD. The cumulative incidence of CKD was 0.3%, 0.5%, 1.4%, and 6.2% in the normal, high normal, borderline, and abnormal groups, respectively. In the multivariable-adjusted model including systolic blood pressure, compared with the normal baPWV group, abnormal baPWV group demonstrated a significantly increased risk of incident CKD in women. However, among men, any other baPWV groups were not associated with a significantly elevated risk of incident CKD.

Conclusions: Increased arterial stiffness, as measured by baPWV, was associated with an increased risk of incident CKD, with notable sex-specific differences. These findings underscore the utility of baPWV for identifying CKD risk in women and offer valuable insights into sex-specific differences in arterial stiffness and CKD development.

求助全文
通过发布文献求助,成功后即可免费获取论文全文。 去求助
来源期刊
CiteScore
6.60
自引率
15.90%
发文量
271
审稿时长
1 months
期刊介绍: JAT publishes articles focused on all aspects of research on atherosclerosis, vascular biology, thrombosis, lipid and metabolism.
×
引用
GB/T 7714-2015
复制
MLA
复制
APA
复制
导出至
BibTeX EndNote RefMan NoteFirst NoteExpress
×
提示
您的信息不完整,为了账户安全,请先补充。
现在去补充
×
提示
您因"违规操作"
具体请查看互助需知
我知道了
×
提示
确定
请完成安全验证×
copy
已复制链接
快去分享给好友吧!
我知道了
右上角分享
点击右上角分享
0
联系我们:info@booksci.cn Book学术提供免费学术资源搜索服务,方便国内外学者检索中英文文献。致力于提供最便捷和优质的服务体验。 Copyright © 2023 布克学术 All rights reserved.
京ICP备2023020795号-1
ghs 京公网安备 11010802042870号
Book学术文献互助
Book学术文献互助群
群 号:604180095
Book学术官方微信